| Oracle® Database SQL Reference 10g Release 1 (10.1) Part Number B10759-01 |
|
|
View PDF |
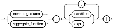
A model expression is used only in the model_clause of a SELECT statement and then only on the right-hand side of a model rule. It yields a value for a cell in a measure column previously defined in the model_clause. For additional information, please refer to model_clause .

When using an aggregate function in a model expression, the argument to the function is a measure column that has been previously defined in the model_clause. An aggregate function can be used only on the right-hand side of a model rule.
When expr is itself a model expression, it is referred to as a nested cell reference.
Only one level of nesting is allowed.
A nested cell reference must be a single-cell reference.
When AUTOMATIC ORDER is specified in the model_rules_clause, a nested cell reference can be used on the left-hand side of a model rule only if the measures used in the nested cell reference remain static.
The model expressions shown below are based on the following model_clause of the SELECT statement:
SELECT country,prod,year,s
FROM sales_view
MODEL
PARTITION BY (country)
DIMENSION BY (prod, year)
MEASURES (sale s)
IGNORE NAV
UNIQUE DIMENSION
RULES UPSERT SEQUENTIAL ORDER
(
s[prod='Mouse Pad', year=2000] =
s['Mouse Pad', 1998] + s['Mouse Pad', 1999],
s['Standard Mouse', 2001] = s['Standard Mouse', 2000]
)
ORDER BY country, prod, year;
The following model expression represents a single cell reference using symbolic notation. It represents the sales of the Mouse Pad for the year 2000.
s[prod='Mouse Pad',year=2000]
The following model expression represents a multiple cell reference using positional notation. It represents the sales of the current value of the dimension column prod for the year 2001.
s[cv(prod), 2001]
The following model expression represents an aggregate function. It represents the sum of sales of the Mouse Pad for the years between the current value of the dimension column year less two and the current value of the dimension column year less one.
sum(s)['Mouse Pad',year between cv()-2 and cv()-1]