| Oracle® Database SQL Reference 10g Release 1 (10.1) Part Number B10759-01 |
|
|
View PDF |
Purpose
Use the DROP JAVA statement to drop a Java source, class, or resource schema object.
|
See Also:
|
Prerequisites
The Java source, class, or resource must be in your own schema or you must have the DROP ANY PROCEDURE system privilege. You also must have the EXECUTE object privilege on Java classes to use this command.
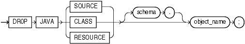
Syntax

Semantics
Specify SOURCE to drop a Java source schema object and all Java class schema objects derived from it.
Specify CLASS to drop a Java class schema object.
Specify RESOURCE to drop a Java resource schema object.
Specify the name of an existing Java class, source, or resource schema object. Enclose the object_name in double quotation marks to preserve lower- or mixed-case names.
Example
The following statement drops the Java class MyClass:
DROP JAVA CLASS "MyClass";