| Oracle® Database SQL Reference 10g Release 1 (10.1) Part Number B10759-01 |
|
|
View PDF |
Use the INSERT statement to add rows to a table, the base table of a view, a partition of a partitioned table or a subpartition of a composite-partitioned table, or an object table or the base table of an object view.
Additional Topics
Prerequisites
For you to insert rows into a table, the table must be in your own schema or you must have the INSERT object privilege on the table.
For you to insert rows into the base table of a view, the owner of the schema containing the view must have the INSERT object privilege on the base table. Also, if the view is in a schema other than your own, then you must have the INSERT object privilege on the view.
If you have the INSERT ANY TABLE system privilege, then you can also insert rows into any table or the base table of any view.
You can use the INSERT statement to insert data into a table, partition, or view in two ways: conventional INSERT and direct-path INSERT. When you issue a conventional INSERT statement, Oracle Database reuses free space in the table into which you are inserting and maintains referential integrity constraints. With direct-path INSERT, the database appends the inserted data after existing data in the table. Data is written directly into datafiles, bypassing the buffer cache. Free space in the existing data is not reused. This alternative enhances performance during insert operations and is similar to the functionality of the Oracle direct-path loader utility, SQL*Loader.
Direct-path INSERT is subject to a number of restrictions. If any of these restrictions is violated, then Oracle Database executes conventional INSERT serially without returning any message, unless otherwise noted:
You can have multiple direct-path INSERT statements in a single transaction, with or without other DML statements. However, after one DML statement alters a particular table, partition, or index, no other DML statement in the transaction can access that table, partition, or index.
Queries that access the same table, partition, or index are allowed before the direct-path INSERT statement, but not after it.
If any serial or parallel statement attempts to access a table that has already been modified by a direct-path INSERT in the same transaction, then the database returns an error and rejects the statement.
The target table cannot be index organized or part of a cluster.
The target table cannot contain object type or LOB columns.
The target table cannot have any triggers or referential integrity constraints defined on it.
The target table cannot be replicated.
A transaction containing a direct-path INSERT statement cannot be or become distributed.
|
See Also:
|
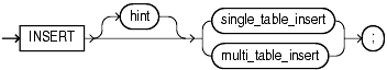
Syntax

(single_table_insert ::=, multi_table_insert ::=)

(insert_into_clause ::=, values_clause ::=, returning_clause ::=, subquery::=)

(DML_table_expression_clause::=)



(insert_into_clause ::=, values_clause ::=, conditional_insert_clause ::=, subquery::=)

(insert_into_clause ::=, values_clause ::=)

(subquery::=—part of SELECT, subquery_restriction_clause::=, table_collection_expression ::=)


Semantics
Specify a comment that passes instructions to the optimizer on choosing an execution plan for the statement.
For a multitable insert, if you specify the PARALLEL hint for any target table, then the entire multitable insert statement is parallelized even if the target tables have not been created or altered with PARALLEL specified. If you do not specify the PARALLEL hint, then the insert operation will not be parallelized unless all target tables were created or altered with PARALLEL specified.
|
See Also:
|
In a single-table insert, you insert values into one row of a table, view, or materialized view by specifying values explicitly or by retrieving the values through a subquery.
You can use the flashback_query_clause in subquery to insert past data into table. Please refer to the flashback_query_clause of SELECT for more information on this clause.
If you retrieve values through a subquery, then the select list of the subquery must have the same number of columns as the column list of the INSERT statement. If you omit the column list, then the subquery must provide values for every column in the table.
Use the INSERT INTO clause to specify the target object or objects into which the database is to insert data.
Use the INTO DML_table_expression_clause to specify the objects into which data is being inserted.
DISTINCT operatorGROUP BY, ORDER BY, MODEL, CONNECT BY, or START WITH clauseSELECT listSELECT listWITH READ ONLYIf you specify an index, index partition, or index subpartition that has been marked UNUSABLE, then the INSERT statement will fail unless the SKIP_UNUSABLE_INDEXES session parameter has been set to TRUE. Please refer to ALTER SESSION for information on the SKIP_UNUSABLE_INDEXES session parameter.
Specify the schema containing the table, view, or materialized view. If you omit schema, then the database assumes the object is in your own schema.
Specify the name of the table or object table, view or object view, materialized view, or the column or columns returned by a subquery, into which rows are to be inserted. If you specify a view or object view, then the database inserts rows into the base table of the view.
You cannot insert rows into a read-only materialized view. If you insert rows into a writable materialized view, then the database inserts the rows into the underlying container table. However, the insertions are overwritten at the next refresh operation.If you insert rows into an updatable materialized view that is part of a materialized view group, then the database also inserts the corresponding rows into the master table.
If any value to be inserted is a REF to an object table, and if the object table has a primary key object identifier, then the column into which you insert the REF must be a REF column with a referential integrity or SCOPE constraint to the object table.
If table, or the base table of view, contains one or more domain index columns, then this statement executes the appropriate indextype insert routine.
Issuing an INSERT statement against a table fires any INSERT triggers defined on the table.
Specify the name of the partition or subpartition within table, or the base table of view, targeted for inserts.
If a row to be inserted does not map into a specified partition or subpartition, then the database returns an error.
This clause is not valid for object tables or object views.
Specify a complete or partial name of a database link to a remote database where the table or view is located. You can insert rows into a remote table or view only if you are using Oracle Database distributed functionality.
If you omit dblink, then Oracle Database assumes that the table or view is on the local database.
|
See Also:
|
Use the subquery_restriction_clause to restrict the subquery in one of the following ways:
Specify WITH READ ONLY to indicate that the table or view cannot be updated.
Specify WITH CHECK OPTION to indicate that Oracle Database prohibits any changes to the table or view that would produce rows that are not included in the subquery. When used in the subquery of a DML statement, you can specify this clause in a subquery in the FROM clause but not in subquery in the WHERE clause.
Specify the name of the CHECK OPTION constraint. If you omit this identifier, then Oracle automatically assigns the constraint a name of the form SYS_Cn, where n is an integer that makes the constraint name unique within the database.
The table_collection_expression lets you inform Oracle that the value of collection_expression should be treated as a table for purposes of query and DML operations. The collection_expression can be a subquery, a column, a function, or a collection constructor. Regardless of its form, it must return a collection value—that is, a value whose type is nested table or varray. This process of extracting the elements of a collection is called collection unnesting.
|
Note: In earlier releases of Oracle, whencollection_expression was a subquery, table_collection_expression was expressed as THE subquery. That usage is now deprecated. |
Specify a correlation name, which is an alias for the table, view, materialized view, or subquery to be referenced elsewhere in the statement.
You cannot specify t_alias during a multitable insert.
Specify a column of the table, view, or materialized view. In the inserted row, each column in this list is assigned a value from the values_clause or the subquery.
If you omit one or more of the table's columns from this list, then the column value of that column for the inserted row is the column default value as specified when the table was created or last altered. If any omitted column has a NOT NULL constraint and no default value, then the database returns an error indicating that the constraint has been violated and rolls back the INSERT statement. Please refer to CREATE TABLE for more information on default column values.
If you omit the column list altogether, then the values_clause or query must specify values for all columns in the table.
For a single-table insert operation, specify a row of values to be inserted into the table or view. You must specify a value in the values_clause for each column in the column list. If you omit the column list, then the values_clause must provide values for every column in the table.
For a multitable insert operation, each expression in the values_clause must refer to columns returned by the select list of the subquery. If you omit the values_clause, then the select list of the subquery determines the values to be inserted, so it must have the same number of columns as the column list of the corresponding insert_into_clause. If you do not specify a column list in the insert_into_clause, then the computed row must provide values for all columns in the target table.
For both types of insert operations, if you specify a column list in the insert_into_clause, then the database assigns to each column in the list a corresponding value from the values clause or the subquery. You can specify DEFAULT for any value in the values_clause. If you have specified a default value for the corresponding column of the table or view, then that value is inserted. If no default value for the corresponding column has been specified, then the database inserts null. Please refer to "About SQL Expressions " and SELECT for syntax of valid expressions.
|
Note: Parallel direct-pathINSERT supports only the subquery syntax of the INSERT statement, not the values_clause. Please refer to Oracle Database Concepts for information on serial and parallel direct-path INSERT. |
You cannot initialize an internal LOB attribute in an object with a value other than empty or null. That is, you cannot use a literal.
You cannot insert a BFILE value until you have initialized the BFILE locator to null or to a directory name and filename.
|
See Also:
|
When inserting into a list-partitioned table, you cannot insert a value into the partitioning key column that does not already exist in the partition_value list of one of the partitions.
You cannot specify DEFAULT when inserting into a view.
If you insert string literals into a RAW column, then during subsequent queries Oracle Database will perform a full table scan rather than using any index that might exist on the RAW column.
|
See Also:
|
The returning clause retrieves the rows affected by a DML statement. You can specify this clause for tables and materialized views and for views with a single base table.
When operating on a single row, a DML statement with a returning_clause can retrieve column expressions using the affected row, rowid, and REFs to the affected row and store them in host variables or PL/SQL variables.
When operating on multiple rows, a DML statement with the returning_clause stores values from expressions, rowids, and REFs involving the affected rows in bind arrays.
Each item in the expr list must be a valid expression syntax.
The INTO clause indicates that the values of the changed rows are to be stored in the variable(s) specified in data_item list.
Each data_item is a host variable or PL/SQL variable that stores the retrieved expr value.
For each expression in the RETURNING list, you must specify a corresponding type-compatible PL/SQL variable or host variable in the INTO list.
The following restrictions apply to the RETURNING clause:
The expr is restricted as follows:
Each expr must be a simple expression or a single-set aggregate function expression. You cannot combine simple expressions and single-set aggregate function expressions in the same returning_clause.
Single-set aggregate function expressions cannot include the DISTINCT keyword.
You cannot specify the returning_clause for a multitable insert.
You cannot use this clause with parallel DML or with remote objects.
You cannot retrieve LONG types with this clause.
You cannot specify this clause for a view on which an INSTEAD OF trigger has been defined.
|
See Also: PL/SQL User's Guide and Reference for information on using theBULK COLLECT clause to return multiple values to collection variables |
In a multitable insert, you insert computed rows derived from the rows returned from the evaluation of a subquery into one or more tables.
Table aliases are not defined by the select list of the subquery. Therefore, they are not visible in the clauses dependent on the select list. For example, this can happen when trying to refer to an object column in an expression. To use an expression with a table alias, you must put the expression into the select list with a column alias, and then refer to the column alias in the VALUES clause or WHEN condition of the multitable insert
Specify ALL followed by multiple insert_into_clauses to perform an unconditional multitable insert. Oracle Database executes each insert_into_clause once for each row returned by the subquery.
Specify the conditional_insert_clause to perform a conditional multitable insert. Oracle Database filters each insert_into_clause through the corresponding WHEN condition, which determines whether that insert_into_clause is executed. Each expression in the WHEN condition must refer to columns returned by the select list of the subquery. A single multitable insert statement can contain up to 127 WHEN clauses.
If you specify ALL, then the database evaluates each WHEN clause regardless of the results of the evaluation of any other WHEN clause. For each WHEN clause whose condition evaluates to true, the database executes the corresponding INTO clause list.
If you specify FIRST, then the database evaluates each WHEN clause in the order in which it appears in the statement. For the first WHEN clause that evaluates to true, the database executes the corresponding INTO clause and skips subsequent WHEN clauses for the given row.
For a given row, if no WHEN clause evaluates to true, then:
If you have specified an ELSE clause, then the database executes the INTO clause list associated with the ELSE clause.
If you did not specify an else clause, then the database takes no action for that row.
You can perform multitable inserts only on tables, not on views or materialized views.
You cannot perform a multitable insert into a remote table.
You cannot specify a table collection expression when performing a multitable insert.
In a multitable insert, all of the insert_into_clauses cannot combine to specify more than 999 target columns.
Multitable inserts are not parallelized in a Real Application Clusters environment, or if any target table is index organized, or if any target table has a bitmap index defined on it.
Plan stability is not supported for multitable insert statements.
The subquery of the multitable insert statement cannot use a sequence.
Specify a subquery that returns rows that are inserted into the table. The subquery can refer to any table, view, or materialized view, including the target tables of the INSERT statement. If the subquery selects no rows, then the database inserts no rows into the table.
You can use subquery in combination with the TO_LOB function to convert the values in a LONG column to LOB values in another column in the same or another table. To migrate LONGs to LOBs in a view, you must perform the migration on the base table and then add the LOB to the view.
If subquery returns the partial or total equivalent of a materialized view, then the database may use the materialized view for query rewrite in place of one or more tables specified in subquery.
|
See Also: Oracle Data Warehousing Guide for more information on materialized views and query rewrite |
If subquery refers to remote objects, then the INSERT operation can run in parallel as long as the reference does not loop back to an object on the local database. However, if the subquery in the DML_table_expression_clause refers to any remote objects, then the INSERT operation will run serially without notification. See parallel_clause for more information
|
See Also:
|
Examples
The following statement inserts a row into the sample table departments:
INSERT INTO departments VALUES (280, 'Recreation', 121, 1700);
If the departments table had been created with a default value of 121 for the manager_id column, then you could issue the same statement as follows:
INSERT INTO departments VALUES (280, 'Recreation', DEFAULT, 1700);
The following statement inserts a row with six columns into the employees table. One of these columns is assigned NULL and another is assigned a number in scientific notation:
INSERT INTO employees (employee_id, last_name, email,
hire_date, job_id, salary, commission_pct)
VALUES (207, 'Gregory', 'pgregory@oracle.com',
sysdate, 'PU_CLERK', 1.2E3, NULL);
The following statement has the same effect as the preceding example, but uses a subquery in the DML_table_expression_clause:
INSERT INTO
(SELECT employee_id, last_name, email, hire_date, job_id,
salary, commission_pct FROM employees)
VALUES (207, 'Gregory', 'pgregory@oracle.com',
sysdate, 'PU_CLERK', 1.2E3, NULL);
The following statement copies employees whose commission exceeds 25% of their salary into the bonuses table, which was created in "Merging into a Table: Example":
INSERT INTO bonuses SELECT employee_id, salary*1.1 FROM employees WHERE commission_pct > 0.25 * salary;
The following statement inserts a row into the employees table owned by the user hr on the database accessible by the database link remote:
INSERT INTO employees@remote
VALUES (8002, 'Juan', 'Fernandez', 'juanf@hr.com', NULL,
TO_DATE('04-OCT-1992', 'DD-MON-YYYY'), 'SH_CLERK', 3000,
NULL, 121, 20);
The following statement inserts a new row containing the next value of the departments_seq sequence into the departments table:
INSERT INTO departments VALUES (departments_seq.nextval, 'Entertainment', 162, 1400);
The following example returns the values of the inserted rows into output bind variables :bnd1 and :bnd2. The bind variables must first be declared.
INSERT INTO employees
(employee_id, last_name, email, hire_date, job_id, salary)
VALUES
(employees_seq.nextval, 'Doe', 'john.doe@oracle.com',
SYSDATE, 'SH_CLERK', 2400)
RETURNING salary*12, job_id INTO :bnd1, :bnd2;
The following example inserts into the persons table, which is created in "Substitutable Table and Column Examples". The first statement uses the root type person_t. The second insert uses the employee_t subtype of person_t, and the third insert uses the part_time_emp_t subtype of employee_t:
INSERT INTO persons VALUES (person_t('Bob', 1234));
INSERT INTO persons VALUES (employee_t('Joe', 32456, 12, 100000));
INSERT INTO persons VALUES (
part_time_emp_t('Tim', 5678, 13, 1000, 20));
The following example inserts into the books table, which was created in "Substitutable Table and Column Examples". Notice that specification of the attribute values is identical to that for the substitutable table example:
INSERT INTO books VALUES (
'An Autobiography', person_t('Bob', 1234));
INSERT INTO books VALUES (
'Business Rules', employee_t('Joe', 3456, 12, 10000));
INSERT INTO books VALUES (
'Mixing School and Work',
part_time_emp_t('Tim', 5678, 13, 1000, 20));
You can extract data from substitutable tables and columns using built-in functions and conditions. For examples, see the functions TREAT and SYS_TYPEID , and "IS OF type ".
The following example copies LONG data to a LOB column in the following long_tab table:
CREATE TABLE long_tab (pic_id NUMBER, long_pics LONG RAW);
First you must create a table with a LOB.
CREATE TABLE lob_tab (pic_id NUMBER, lob_pics BLOB);
Next, use an INSERT ... SELECT statement to copy the data in all rows for the LONG column into the newly created LOB column:
INSERT INTO lob_tab SELECT pic_id, TO_LOB(long_pics) FROM long_tab;
Once you are confident that the migration has been successful, you can drop the long_pics table. Alternatively, if the table contains other columns, then you can simply drop the LONG column from the table as follows:
ALTER TABLE long_tab DROP COLUMN long_pics;
The following example uses the multitable insert syntax to insert into the sample table sh.sales some data from an input table with a different structure.
|
Note: A number of constraints on the sales table have been disabled for purposes of this example, because the example ignores a number of table columns for the sake of brevity. |
The input table looks like this:
SELECT * FROM sales_input_table;
PRODUCT_ID CUSTOMER_ID WEEKLY_ST SALES_SUN SALES_MON SALES_TUE SALES_WED SALES_THU SALES_FRI SALES_SAT
---------- ----------- --------- ---------- ---------- ---------- -------------------- ---------- ----------
111 222 01-OCT-00 100 200 300 400 500 600 700
222 333 08-OCT-00 200 300 400 500 600 700 800
333 444 15-OCT-00 300 400 500 600 700 800 900
The multitable insert statement looks like this:
INSERT ALL
INTO sales (prod_id, cust_id, time_id, amount)
VALUES (product_id, customer_id, weekly_start_date, sales_sun)
INTO sales (prod_id, cust_id, time_id, amount)
VALUES (product_id, customer_id, weekly_start_date+1, sales_mon)
INTO sales (prod_id, cust_id, time_id, amount)
VALUES (product_id, customer_id, weekly_start_date+2, sales_tue)
INTO sales (prod_id, cust_id, time_id, amount)
VALUES (product_id, customer_id, weekly_start_date+3, sales_wed)
INTO sales (prod_id, cust_id, time_id, amount)
VALUES (product_id, customer_id, weekly_start_date+4, sales_thu)
INTO sales (prod_id, cust_id, time_id, amount)
VALUES (product_id, customer_id, weekly_start_date+5, sales_fri)
INTO sales (prod_id, cust_id, time_id, amount)
VALUES (product_id, customer_id, weekly_start_date+6, sales_sat)
SELECT product_id, customer_id, weekly_start_date, sales_sun,
sales_mon, sales_tue, sales_wed, sales_thu, sales_fri, sales_sat
FROM sales_input_table;
Assuming these are the only rows in the sales table, the contents now look like this:
SELECT * FROM sales;
PROD_ID CUST_ID TIME_ID C PROMO_ID QUANTITY_SOLD AMOUNT COST
---------- ---------- --------- - ---------- ------------- ---------- ----------
111 222 01-OCT-00 100
111 222 02-OCT-00 200
111 222 03-OCT-00 300
111 222 04-OCT-00 400
111 222 05-OCT-00 500
111 222 06-OCT-00 600
111 222 07-OCT-00 700
222 333 08-OCT-00 200
222 333 09-OCT-00 300
222 333 10-OCT-00 400
222 333 11-OCT-00 500
222 333 12-OCT-00 600
222 333 13-OCT-00 700
222 333 14-OCT-00 800
333 444 15-OCT-00 300
333 444 16-OCT-00 400
333 444 17-OCT-00 500
333 444 18-OCT-00 600
333 444 19-OCT-00 700
333 444 20-OCT-00 800
333 444 21-OCT-00 900
The next examples insert into multiple tables. Suppose you want to provide to sales representatives some information on orders of various sizes. The following example creates tables for small, medium, large, and special orders and populates those tables with data from the sample table oe.orders:
CREATE TABLE small_orders
(order_id NUMBER(12) NOT NULL,
customer_id NUMBER(6) NOT NULL,
order_total NUMBER(8,2),
sales_rep_id NUMBER(6)
);
CREATE TABLE medium_orders AS SELECT * FROM small_orders;
CREATE TABLE large_orders AS SELECT * FROM small_orders;
CREATE TABLE special_orders
(order_id NUMBER(12) NOT NULL,
customer_id NUMBER(6) NOT NULL,
order_total NUMBER(8,2),
sales_rep_id NUMBER(6),
credit_limit NUMBER(9,2),
cust_email VARCHAR2(30)
);
The first multitable insert populates only the tables for small, medium, and large orders:
INSERT ALL
WHEN order_total < 1000000 THEN
INTO small_orders
WHEN order_total > 1000000 AND order_total < 2000000 THEN
INTO medium_orders
WHEN order_total > 2000000 THEN
INTO large_orders
SELECT order_id, order_total, sales_rep_id, customer_id
FROM orders;
You can accomplish the same thing using the ELSE clause in place of the insert into the large_orders table:
INSERT ALL
WHEN order_total < 100000 THEN
INTO small_orders
WHEN order_total > 100000 AND order_total < 200000 THEN
INTO medium_orders
ELSE
INTO large_orders
SELECT order_id, order_total, sales_rep_id, customer_id
FROM orders;
The next example inserts into the small, medium, and large tables, as in the preceding example, and also puts orders greater than 2,900,000 into the special_orders table. This table also shows how to use column aliases to simplify the statement:
INSERT ALL
WHEN ottl < 100000 THEN
INTO small_orders
VALUES(oid, ottl, sid, cid)
WHEN ottl > 100000 and ottl < 200000 THEN
INTO medium_orders
VALUES(oid, ottl, sid, cid)
WHEN ottl > 200000 THEN
into large_orders
VALUES(oid, ottl, sid, cid)
WHEN ottl > 290000 THEN
INTO special_orders
SELECT o.order_id oid, o.customer_id cid, o.order_total ottl,
o.sales_rep_id sid, c.credit_limit cl, c.cust_email cem
FROM orders o, customers c
WHERE o.customer_id = c.customer_id;
Finally, the next example uses the FIRST clause to put orders greater than 2,900,000 into the special_orders table and exclude those orders from the large_orders table:
INSERT FIRST
WHEN ottl < 100000 THEN
INTO small_orders
VALUES(oid, ottl, sid, cid)
WHEN ottl > 100000 and ottl < 200000 THEN
INTO medium_orders
VALUES(oid, ottl, sid, cid)
WHEN ottl > 290000 THEN
INTO special_orders
WHEN ottl > 200000 THEN
INTO large_orders
VALUES(oid, ottl, sid, cid)
SELECT o.order_id oid, o.customer_id cid, o.order_total ottl,
o.sales_rep_id sid, c.credit_limit cl, c.cust_email cem
FROM orders o, customers c
WHERE o.customer_id = c.customer_id;