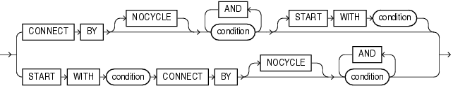
If a table contains hierarchical data, then you can select rows in a hierarchical order using the hierarchical query clause:

START WITH specifies the root row(s) of the hierarchy.
CONNECT BY specifies the relationship between parent rows and child rows of the hierarchy.
The NOCYCLE parameter instructs Oracle Database to return rows from a query even if a CONNECT BY loop exists in the data. Use this parameter along with the CONNECT_BY_ISCYCLE pseudocolumn to see which rows contain the loop. Refer to CONNECT_BY_ISCYCLE Pseudocolumn for more information.
In a hierarchical query, one expression in condition must be qualified with the PRIOR operator to refer to the parent row. For example,
... PRIOR expr = expr or ... expr = PRIOR expr
If the CONNECT BY condition is compound, then only one condition requires the PRIOR operator, although you can have multiple PRIOR conditions. For example:
CONNECT BY last_name != 'King' AND PRIOR employee_id = manager_id ...
CONNECT BY PRIOR employee_id = manager_id and
PRIOR account_mgr_id = customer_id ...
PRIOR is a unary operator and has the same precedence as the unary + and - arithmetic operators. It evaluates the immediately following expression for the parent row of the current row in a hierarchical query.
PRIOR is most commonly used when comparing column values with the equality operator. (The PRIOR keyword can be on either side of the operator.) PRIOR causes Oracle to use the value of the parent row in the column. Operators other than the equal sign (=) are theoretically possible in CONNECT BY clauses. However, the conditions created by these other operators can result in an infinite loop through the possible combinations. In this case Oracle detects the loop at run time and returns an error.
Both the CONNECT BY condition and the PRIOR expression can take the form of an uncorrelated subquery. However, CURRVAL and NEXTVAL are not valid PRIOR expressions, so the PRIOR expression cannot refer to a sequence.
You can further refine a hierarchical query by using the CONNECT_BY_ROOT operator to qualify a column in the select list. This operator extends the functionality of the CONNECT BY [PRIOR] condition of hierarchical queries by returning not only the immediate parent row but all ancestor rows in the hierarchy.
See Also:
CONNECT_BY_ROOT for more information about this operator and "Hierarchical Query Examples"Oracle processes hierarchical queries as follows:
A join, if present, is evaluated first, whether the join is specified in the FROM clause or with WHERE clause predicates.
The CONNECT BY condition is evaluated.
Any remaining WHERE clause predicates are evaluated.
Oracle then uses the information from these evaluations to form the hierarchy using the following steps:
Oracle selects the root row(s) of the hierarchy—those rows that satisfy the START WITH condition.
Oracle selects the child rows of each root row. Each child row must satisfy the condition of the CONNECT BY condition with respect to one of the root rows.
Oracle selects successive generations of child rows. Oracle first selects the children of the rows returned in step 2, and then the children of those children, and so on. Oracle always selects children by evaluating the CONNECT BY condition with respect to a current parent row.
If the query contains a WHERE clause without a join, then Oracle eliminates all rows from the hierarchy that do not satisfy the condition of the WHERE clause. Oracle evaluates this condition for each row individually, rather than removing all the children of a row that does not satisfy the condition.
Oracle returns the rows in the order shown in Figure 9-1. In the diagram, children appear below their parents. For an explanation of hierarchical trees, see Figure 3-1, "Hierarchical Tree".
To find the children of a parent row, Oracle evaluates the PRIOR expression of the CONNECT BY condition for the parent row and the other expression for each row in the table. Rows for which the condition is true are the children of the parent. The CONNECT BY condition can contain other conditions to further filter the rows selected by the query.
If the CONNECT BY condition results in a loop in the hierarchy, then Oracle returns an error. A loop occurs if one row is both the parent (or grandparent or direct ancestor) and a child (or a grandchild or a direct descendent) of another row.
Note:
In a hierarchical query, do not specify eitherORDER BY or GROUP BY, as they will override the hierarchical order of the CONNECT BY results. If you want to order rows of siblings of the same parent, then use the ORDER SIBLINGS BY clause. See order_by_clause .CONNECT BY Example The following hierarchical query uses the CONNECT BY clause to define the relationship between employees and managers:
SELECT employee_id, last_name, manager_id
FROM employees
CONNECT BY PRIOR employee_id = manager_id;
EMPLOYEE_ID LAST_NAME MANAGER_ID
----------- ------------------------- ----------
101 Kochhar 100
108 Greenberg 101
109 Faviet 108
110 Chen 108
111 Sciarra 108
112 Urman 108
113 Popp 108
200 Whalen 101
203 Mavris 101
204 Baer 101
. . .
LEVEL Example The next example is similar to the preceding example, but uses the LEVEL pseudocolumn to show parent and child rows:
SELECT employee_id, last_name, manager_id, LEVEL
FROM employees
CONNECT BY PRIOR employee_id = manager_id;
EMPLOYEE_ID LAST_NAME MANAGER_ID LEVEL
----------- ------------------------- ---------- ----------
101 Kochhar 100 1
108 Greenberg 101 2
109 Faviet 108 3
110 Chen 108 3
111 Sciarra 108 3
112 Urman 108 3
113 Popp 108 3
200 Whalen 101 2
203 Mavris 101 2
204 Baer 101 2
205 Higgins 101 2
206 Gietz 205 3
102 De Haan 100 1
...
START WITH Examples The next example adds a START WITH clause to specify a root row for the hierarchy and an ORDER BY clause using the SIBLINGS keyword to preserve ordering within the hierarchy:
SELECT last_name, employee_id, manager_id, LEVEL
FROM employees
START WITH employee_id = 100
CONNECT BY PRIOR employee_id = manager_id
ORDER SIBLINGS BY last_name;
LAST_NAME EMPLOYEE_ID MANAGER_ID LEVEL
------------------------- ----------- ---------- ----------
King 100 1
Cambrault 148 100 2
Bates 172 148 3
Bloom 169 148 3
Fox 170 148 3
Kumar 173 148 3
Ozer 168 148 3
Smith 171 148 3
De Haan 102 100 2
Hunold 103 102 3
Austin 105 103 4
Ernst 104 103 4
Lorentz 107 103 4
Pataballa 106 103 4
Errazuriz 147 100 2
Ande 166 147 3
Banda 167 147 3
...
In the hr.employees table, the employee Steven King is the head of the company and has no manager. Among his employees is John Russell, who is the manager of department 80. If you update the employees table to set Russell as King's manager, you create a loop in the data:
UPDATE employees SET manager_id = 145 WHERE employee_id = 100; SELECT last_name "Employee", LEVEL, SYS_CONNECT_BY_PATH(last_name, '/') "Path" FROM employees WHERE level <= 3 AND department_id = 80 START WITH last_name = 'King' CONNECT BY PRIOR employee_id = manager_id AND LEVEL <= 4; ERROR: ORA-01436: CONNECT BY loop in user data
The NOCYCLE parameter in the CONNECT BY condition causes Oracle to return the rows in spite of the loop. The CONNECT_BY_ISCYCLE pseudocolumn shows you which rows contain the cycle:
SELECT last_name "Employee", CONNECT_BY_ISCYCLE "Cycle", LEVEL, SYS_CONNECT_BY_PATH(last_name, '/') "Path" FROM employees WHERE level <= 3 AND department_id = 80 START WITH last_name = 'King' CONNECT BY NOCYCLE PRIOR employee_id = manager_id AND LEVEL <= 4 ORDER BY "Employee", "Cycle", LEVEL, "Path"; Employee Cycle LEVEL Path ------------------------- ---------- ---------- ------------------------- Abel 0 3 /King/Zlotkey/Abel Ande 0 3 /King/Errazuriz/Ande Banda 0 3 /King/Errazuriz/Banda Bates 0 3 /King/Cambrault/Bates Bernstein 0 3 /King/Russell/Bernstein Bloom 0 3 /King/Cambrault/Bloom Cambrault 0 2 /King/Cambrault Cambrault 0 3 /King/Russell/Cambrault Doran 0 3 /King/Partners/Doran Errazuriz 0 2 /King/Errazuriz Fox 0 3 /King/Cambrault/Fox ...
CONNECT_BY_ROOT Examples The following example returns the last name of each employee in department 110, each manager above that employee in the hierarchy, the number of levels between manager and employee, and the path between the two:
SELECT last_name "Employee", CONNECT_BY_ROOT last_name "Manager", LEVEL-1 "Pathlen", SYS_CONNECT_BY_PATH(last_name, '/') "Path" FROM employees WHERE LEVEL > 1 and department_id = 110 CONNECT BY PRIOR employee_id = manager_id ORDER BY "Employee", "Manager", "Pathlen", "Path"; Employee Manager Pathlen Path --------------- --------------- ---------- ------------------------------ Gietz Higgins 1 /Higgins/Gietz Gietz King 3 /King/Kochhar/Higgins/Gietz Gietz Kochhar 2 /Kochhar/Higgins/Gietz Higgins King 2 /King/Kochhar/Higgins Higgins Kochhar 1 /Kochhar/Higgins
The following example uses a GROUP BY clause to return the total salary of each employee in department 110 and all employees below that employee in the hierarchy:
SELECT name, SUM(salary) "Total_Salary" FROM (
SELECT CONNECT_BY_ROOT last_name as name, Salary
FROM employees
WHERE department_id = 110
CONNECT BY PRIOR employee_id = manager_id)
GROUP BY name
ORDER BY name, "Total_Salary";
NAME Total_Salary
------------------------- ------------
Gietz 8300
Higgins 20300
King 20300
Kochhar 20300
See Also:
LEVEL Pseudocolumn and CONNECT_BY_ISCYCLE Pseudocolumn for a discussion of how these pseudocolumns operate in a hierarchical query
SYS_CONNECT_BY_PATH for information on retrieving the path of column values from root to node
order_by_clause for more information on the SIBLINGS keyword of ORDER BY clauses