10 Colt Single-Row Functions

Oracle CQL provides a variety of built-in single-row functions based on the Colt open source libraries for high performance scientific and technical computing.

For more information, see Section 1.1.11, "Functions".

10.1 Introduction to Oracle CQLBuilt-In Single-Row Colt Functions

Table 10-1 lists the built-in single-row Colt functions that Oracle CQL provides.

Table 10-1 Oracle CQL Built-in Single-Row Colt-Based Functions

Colt Package Function

cern.jet.math.Arithmetic

A set of basic polynomials, rounding, and calculus functions.

cern.jet.math.Bessel

A set of Bessel functions.

cern.jet.random.engine.RandomSeedTable

A table with good seeds for pseudo-random number generators. Each sequence in this table has a period of 10**9 numbers.

cern.jet.stat.Gamma

A set of Gamma and Beta functions.

cern.jet.stat.Probability

A set of probability distributions.

cern.colt.bitvector.QuickBitVector

A set of non polymorphic, non bounds checking, low level bit-vector functions.

cern.colt.map.HashFunctions

A set of hash functions.


Note:

Built-in function names are case sensitive and you must use them in the case shown (in lower case).

Note:

In stream input examples, lines beginning with h (such as h 3800) are heartbeat input tuples. These inform Oracle CEP that no further input will have a timestamp lesser than the heartbeat value.

For more information, see:


beta

Syntax

Surrounding text describes beta.png.

Purpose

beta is based on cern.jet.stat.Gamma. It returns the beta function (see Figure 10-1) of the input arguments as a double.

Figure 10-1 cern.jet.stat.Gamma beta

Surrounding text describes Figure 10-1 .

This function takes the following arguments:

  • double1: the x value.

  • double2: the y value.

For more information, see http://dsd.lbl.gov/~hoschek/colt/api/cern/jet/stat/Gamma.html#beta(double,%20double).

Examples

Consider the query qColt28 in Example 10-1. Given the data stream SColtFunc with schema (c1 integer, c2 double, c3 bigint) in Example 10-2, the query returns the relation in Example 10-3.

Example 10-1 beta Function Query

<query id="qColt28"><![CDATA[ 
    select beta(c2,c2) from SColtFunc
]]></query>

Example 10-2 beta Function Stream Input

Timestamp   Tuple
  10        1,0.5,8
1000        4,0.7,6
1200        3,0.89,12
2000        8,0.4,4

Example 10-3 beta Function Relation Output

Timestamp   Tuple Kind  Tuple
  10:       +           3.1415927
1000:       +           1.899038
1200:       +           1.251922
2000:       +           4.226169

beta1

Syntax

Surrounding text describes beta1.png.

Purpose

beta1 is based on cern.jet.stat.Probability. It returns the area P(x) from 0 to x under the beta density function (see Figure 10-2) as a double.

Figure 10-2 cern.jet.stat.Probability beta1

Surrounding text describes Figure 10-2 .

This function takes the following arguments:

  • double1: the alpha parameter of the beta distribution a.

  • double2: the beta parameter of the beta distribution b.

  • double3: the integration end point x.

For more information, see http://dsd.lbl.gov/~hoschek/colt/api/cern/jet/stat/Probability.html#beta(double,%20double,%20double).

Examples

Consider the query qColt35 in Example 10-4. Given the data stream SColtFunc with schema (c1 integer, c2 double, c3 bigint) in Example 10-5, the query returns the relation in Example 10-6.

Example 10-4 beta1 Function Query

<query id="qColt35"><![CDATA[ 
    select beta1(c2,c2,c2) from SColtFunc
]]></query>

Example 10-5 beta1 Function Stream Input

Timestamp   Tuple
  10        1,0.5,8
1000        4,0.7,6
1200        3,0.89,12
2000        8,0.4,4

Example 10-6 beta1 Function Relation Output

Timestamp   Tuple Kind  Tuple
  10:       +           0.5       
1000:       +           0.66235894
1200:       +           0.873397  
2000:       +           0.44519535

betaComplemented

Syntax

Surrounding text describes betacomplemented.png.

Purpose

betaComplemented is based on cern.jet.stat.Probability. It returns the area under the right hand tail (from x to infinity) of the beta density function (see Figure 10-2) as a double.

This function takes the following arguments:

  • double1: the alpha parameter of the beta distribution a.

  • double2: the beta parameter of the beta distribution b.

  • double3: the integration end point x.

For more information, see:

Examples

Consider the query qColt37 in Example 10-7. Given the data stream SColtFunc with schema (c1 integer, c2 double, c3 bigint) in Example 10-8, the query returns the relation in Example 10-9.

Example 10-7 betaComplemented Function Query

<query id="qColt37"><![CDATA[ 
    select betaComplemented(c2,c2,c2) from SColtFunc
]]></query>

Example 10-8 betaComplemented Function Stream Input

Timestamp   Tuple
  10        1,0.5,8
1000        4,0.7,6
1200        3,0.89,12
2000        8,0.4,4

Example 10-9 betaComplemented Function Relation Output

Timestamp   Tuple Kind  Tuple
  10:       +           0.5       
1000:       +           0.66235894
1200:       +           0.873397  
2000:       +           0.44519535

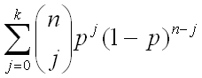
binomial

Syntax

Surrounding text describes binomial.png.

Purpose

binomial is based on cern.jet.math.Arithmetic. It returns the binomial coefficient n over k (see Figure 10-3) as a double.

Figure 10-3 Definition of binomial coefficient

Surrounding text describes Figure 10-3 .

This function takes the following arguments:

  • double1: the n value.

  • long2: the k value.

Table 10-2 lists the binomial function return values for various values of k.

Table 10-2 cern.jet.math.Arithmetic binomial Return Values

Arguments Return Value

k < 0

0

k = 0

1

k = 1

n

Any other value of k

Computed binomial coefficient as given in Figure 10-3.


For more information, see http://dsd.lbl.gov/~hoschek/colt/api/cern/jet/math/Arithmetic.html#binomial(double,%20long).

Examples

Consider the query qColt6 in Example 10-10. Given the data stream SColtFunc with schema (c1 integer, c2 double, c3 long) in Example 10-11, the query returns the relation in Example 10-12.

Example 10-10 binomial Function Query

<query id="qColt6"><![CDATA[ 
    select binomial(c2,c3) from SColtFunc
]]></query>

Example 10-11 binomial Function Stream Input

Timestamp   Tuple
  10        1,0.5,8
1000        4,0.7,6
1200        3,0.89,12
2000        8,0.4,4

Example 10-12 binomial Function Relation Output

Timestamp   Tuple Kind  Tuple
  10:       +           -0.013092041 
1000:       +           -0.012374863 
1200:       +           -0.0010145549
2000:       +           -0.0416      

binomial1

Syntax

Surrounding text describes binomial1.png.

Purpose

binomial1 is based on cern.jet.math.Arithmetic. It returns the binomial coefficient n over k (see Figure 10-3) as a double.

This function takes the following arguments:

  • long1: the n value.

  • long2: the k value.

Table 10-3 lists the BINOMIAL function return values for various values of k.

Table 10-3 cern.jet.math.Arithmetic Binomial1 Return Values

Arguments Return Value

k < 0

0

k = 0 || k = n

1

k = 1 || k = n-1

n

Any other value of k

Computed binomial coefficient as given in Figure 10-3.


For more information, see http://dsd.lbl.gov/~hoschek/colt/api/cern/jet/math/Arithmetic.html#binomial(long,%20long).

Examples

Consider the query qColt7 in Example 10-13. Given the data stream SColtFunc with schema (c1 integer, c2 float, c3 long) in Example 10-14, the query returns the relation in Example 10-15.

Example 10-13 binomial1 Function Query

<query id="qColt7"><![CDATA[ 
    select binomial1(c3,c3) from SColtFunc
]]></query>

Example 10-14 binomial1 Function Stream Input

Timestamp   Tuple
  10        1,0.5,8
1000        4,0.7,6
1200        3,0.89,12
2000        8,0.4,4

Example 10-15 binomial1 Function Relation Output

Timestamp   Tuple Kind  Tuple
  10:       +           1.0
1000:       +           1.0
1200:       +           1.0
2000:       +           1.0

binomial2

Syntax

Surrounding text describes binomial2.png.

Purpose

binomial2 is based on cern.jet.stat.Probability. It returns the sum of the terms 0 through k of the binomial probability density (see Figure 10-4) as a double.

Figure 10-4 cern.jet.stat.Probability binomial2

Surrounding text describes Figure 10-4 .

This function takes the following arguments (all arguments must be positive):

  • integer1: the end term k.

  • integer2: the number of trials n.

  • double3: the probability of success p in (0.0, 1.0)

For more information, see http://dsd.lbl.gov/~hoschek/colt/api/cern/jet/stat/Probability.html#binomial(int,%20int,%20double).

Examples

Consider the query qColt34 in Example 10-16. Given the data stream SColtFunc with schema (c1 integer, c2 double, c3 bigint) in Example 10-17, the query returns the relation in Example 10-18.

Example 10-16 binomial2 Function Query

<query id="qColt34"><![CDATA[ 
    select binomial2(c1,c1,c2) from SColtFunc
]]></query>

Example 10-17 binomial2 Function Stream Input

Timestamp   Tuple
  10        1,0.5,8
1000        4,0.7,6
1200        3,0.89,12
2000        8,0.4,4

Example 10-18 binomial2 Function Relation Output

Timestamp   Tuple Kind  Tuple
  10:       +           1.0
1000:       +           1.0
1200:       +           1.0
2000:       +           1.0

binomialComplemented

Syntax

Surrounding text describes binomialcomplemented.png.

Purpose

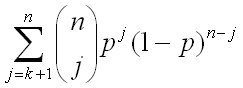
binomialComplemented is based on cern.jet.stat.Probability. It returns the sum of the terms k+1 through n of the binomial probability density (see Figure 10-5) as a double.

Figure 10-5 cern.jet.stat.Probability binomialComplemented

Surrounding text describes Figure 10-5 .

This function takes the following arguments (all arguments must be positive):

  • integer1: the end term k.

  • integer2: the number of trials n.

  • double3: the probability of success p in (0.0, 1.0)

For more information, see http://dsd.lbl.gov/~hoschek/colt/api/cern/jet/stat/Probability.html#binomialComplemented(int,%20int,%20double).

Examples

Consider the query qColt38 in Example 10-19. Given the data stream SColtFunc with schema (integer, c2 double, c3 bigint) in Example 10-20, the query returns the relation in Example 10-21.

Example 10-19 binomialComplemented Function Query

<query id="qColt38"><![CDATA[ 
    select binomialComplemented(c1,c1,c2) from SColtFunc
]]></query>

Example 10-20 binomialComplemented Function Stream Input

Timestamp   Tuple
  10        1,0.5,8
1000        4,0.7,6
1200        3,0.89,12
2000        8,0.4,4

Example 10-21 binomialComplemented Function Relation Output

Timestamp   Tuple Kind  Tuple
  10:       +           0.0
1000:       +           0.0
1200:       +           0.0
2000:       +           0.0

bitMaskWithBitsSetFromTo

Syntax

Surrounding text describes bitmaskwithbitssetfromto.png.

Purpose

bitMaskWithBitsSetFromTo is based on cern.colt.bitvector.QuickBitVector. It returns a 64-bit wide bit mask as a long with bits in the specified range set to 1 and all other bits set to 0.

This function takes the following arguments:

  • integer1: the from value; index of the start bit (inclusive).

  • integer2: the to value; index of the end bit (inclusive).

Precondition (not checked): to - from + 1 >= 0 && to - from + 1 <= 64.

If to - from + 1 = 0 then returns a bit mask with all bits set to 0.

For more information, see:

Examples

Consider the query qColt53 in Example 10-22. Given the data stream SColtFunc with schema (c1 integer, c2 float, c3 bigint) in Example 10-23, the query returns the relation in Example 10-24.

Example 10-22 bitMaskWithBitsSetFromTo Function Query

<query id="qColt53"><![CDATA[ 
    select bitMaskWithBitsSetFromTo(c1,c1) from SColtFunc
]]></query>

Example 10-23 bitMaskWithBitsSetFromTo Function Stream Input

Timestamp   Tuple
  10        1,0.5,8
1000        4,0.7,6
1200        3,0.89,12
2000        8,0.4,4

Example 10-24 bitMaskWithBitsSetFromTo Function Relation Output

Timestamp   Tuple Kind  Tuple
  10:       +           2  
1000:       +           16 
1200:       +           8  
2000:       +           256

ceil

Syntax

Surrounding text describes ceil.png.

Purpose

ceil is based on cern.jet.math.Arithmetic. It returns the smallest long greater than or equal to its double argument.

This method is safer than using (float) java.lang.Math.ceil(long) because of possible rounding error.

For more information, see:

Examples

Consider the query qColt1 in Example 10-25. Given the data stream SColtFunc with schema (c1 integer, c2 double, c3 bigint) in Example 10-26, the query returns the relation in Example 10-27.

Example 10-25 ceil Function Query

<query id="qColt1"><![CDATA[ 
    select ceil(c2) from SColtFunc
]]></query>

Example 10-26 ceil Function Stream Input

Timestamp   Tuple
  10        1,0.5,8
1000        4,0.7,6
1200        3,0.89,12
2000        8,0.4,4

Example 10-27 ceil Function Relation Output

Timestamp   Tuple Kind  Tuple
  10:       +           1
1000:       +           1
1200:       +           1
2000:       +           1

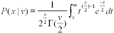
chiSquare

Syntax

Surrounding text describes chisquare.png.

Purpose

chiSquare is based on cern.jet.stat.Probability. It returns the area under the left hand tail (from 0 to x) of the Chi square probability density function with v degrees of freedom (see Figure 10-6) as a double.

Figure 10-6 cern.jet.stat.Probability chiSquare

Surrounding text describes Figure 10-6 .

This function takes the following arguments (all arguments must be positive):

  • double1: the degrees of freedom v.

  • double2: the integration end point x.

For more information, see http://dsd.lbl.gov/~hoschek/colt/api/cern/jet/stat/Probability.html#chiSquare(double,%20double).

Examples

Consider the query qColt39 in Example 10-28. Given the data stream SColtFunc with schema (c1 integer, c2 double, c3 bigint) in Example 10-29, the query returns the relation in Example 10-30.

Example 10-28 chiSquare Function Query

<query id="qColt39"><![CDATA[ 
    select chiSquare(c2,c2) from SColtFunc
]]></query>

Example 10-29 chiSquare Function Stream Input

Timestamp   Tuple
  10        1,0.5,8
1000        4,0.7,6
1200        3,0.89,12
2000        8,0.4,4

Example 10-30 chiSquare Function Relation Output

Timestamp   Tuple Kind  Tuple
  10:       +           0.0
1000:       +           0.0
1200:       +           0.0
2000:       +           0.0

chiSquareComplemented

Syntax

Surrounding text describes chisquarecomplemented.png.

Purpose

chiSquareComplemented is based on cern.jet.stat.Probability. It returns the area under the right hand tail (from x to infinity) of the Chi square probability density function with v degrees of freedom (see Figure 10-6) as a double.

This function takes the following arguments (all arguments must be positive):

  • double1: the degrees of freedom v.

  • double2: the integration end point x.

For more information, see http://dsd.lbl.gov/~hoschek/colt/api/cern/jet/stat/Probability.html#chiSquareComplemented(double,%20double).

Examples

Consider the query qColt40 in Example 10-31. Given the data stream SColtFunc with schema (c1 integer, c2 double, c3 bigint) in Example 10-32, the query returns the relation in Example 10-33.

Example 10-31 chiSquareComplemented Function Query

<query id="qColt40"><![CDATA[ 
    select chiSquareComplemented(c2,c2) from SColtFunc
]]></query>

Example 10-32 chiSquareComplemented Function Stream Input

Timestamp   Tuple
  10        1,0.5,8
1000        4,0.7,6
1200        3,0.89,12
2000        8,0.4,4

Example 10-33 chiSquareComplemented Function Relation Output

Timestamp   Tuple Kind  Tuple
  10:       +           0.0
1000:       +           0.0
1200:       +           0.0
2000:       +           0.0

errorFunction

Syntax

Surrounding text describes errorfunction.png.

Purpose

errorFunction is based on cern.jet.stat.Probability. It returns the error function of the normal distribution of the double argument as a double, using the integral that Figure 10-7 shows.

Figure 10-7 cern.jet.stat.Probability errorFunction

Surrounding text describes Figure 10-7 .

For more information, see http://dsd.lbl.gov/~hoschek/colt/api/cern/jet/stat/Probability.html#errorFunction(double).

Examples

Consider the query qColt41 in Example 10-34. Given the data stream SColtFunc with schema (c1 integer, c2 double, c3 bigint) in Example 10-35, the query returns the relation in Example 10-36.

Example 10-34 errorFunction Function Query

<query id="qColt41"><![CDATA[ 
    select errorFunction(c2) from SColtFunc
]]></query>

Example 10-35 errorFunction Function Stream Input

Timestamp   Tuple
  10        1,0.5,8
1000        4,0.7,6
1200        3,0.89,12
2000        8,0.4,4

Example 10-36 errorFunction Function Relation Output

Timestamp   Tuple Kind  Tuple
  10:       +           0.5204999 
1000:       +           0.6778012 
1200:       +           0.79184324
2000:       +           0.42839235

errorFunctionComplemented

Syntax

Surrounding text describes errorfunctioncomplemented.png.

Purpose

errorFunctionComplemented is based on cern.jet.stat.Probability. It returns the complementary error function of the normal distribution of the double argument as a double, using the integral that Figure 10-8 shows.

Figure 10-8 cern.jet.stat.Probability errorfunctioncompelemented

Surrounding text describes Figure 10-8 .

For more information, see http://dsd.lbl.gov/~hoschek/colt/api/cern/jet/stat/Probability.html#errorFunctionComplemented(double).

Examples

Consider the query qColt42 in Example 10-37. Given the data stream SColtFunc with schema (c1 integer, c2 double, c3 bigint) in Example 10-38, the query returns the relation in Example 10-39.

Example 10-37 errorFunctionComplemented Function Query

<query id="qColt42"><![CDATA[ 
    select errorFunctionComplemented(c2) from SColtFunc
]]></query>

Example 10-38 errorFunctionComplemented Function Stream Input

Timestamp   Tuple
  10        1,0.5,8
1000        4,0.7,6
1200        3,0.89,12
2000        8,0.4,4

Example 10-39 errorFunctionComplemented Function Relation Output

Timestamp   Tuple Kind  Tuple
  10:       +           0.47950011
1000:       +           0.3221988 
1200:       +           0.20815676
2000:       +           0.57160765

factorial

Syntax

Surrounding text describes factorial.png.

Purpose

factorial is based on cern.jet.math.Arithmetic. It returns the factorial of the positive integer argument as a double.

For more information, see http://dsd.lbl.gov/~hoschek/colt/api/cern/jet/math/Arithmetic.html#factorial(int).

Examples

Consider the query qColt8 in Example 10-40. Given the data stream SColtFunc with schema (c1 integer, c2 float, c3 bigint) in Example 10-41, the query returns the relation in Example 10-42.

Example 10-40 factorial Function Query

<query id="qColt8"><![CDATA[ 
    select factorial(c1) from SColtFunc
]]></query>

Example 10-41 factorial Function Stream Input

Timestamp   Tuple
  10        1,0.5,8
1000        4,0.7,6
1200        3,0.89,12
2000        8,0.4,4

Example 10-42 factorial Function Relation Output

Timestamp   Tuple Kind  Tuple
  10:       +               1.0
1000:       +              24.0
1200:       +               6.0
2000:       +           40320.0

floor

Syntax

Surrounding text describes floor.png.

Purpose

floor is based on cern.jet.math.Arithmetic. It returns the largest long value less than or equal to the double argument.

This method is safer than using (double) java.lang.Math.floor(double) because of possible rounding error.

For more information, see:

Examples

Consider the query qColt2 in Example 10-43. Given the data stream SColtFunc with schema (c1 integer, c2 double, c3 bigint) in Example 10-44, the query returns the relation in Example 10-45.

Example 10-43 floor Function Query

<query id="qColt2"><![CDATA[ 
    select floor(c2) from SColtFunc
]]></query>

Example 10-44 floor Function Stream Input

Timestamp   Tuple
  10        1,0.5,8
1000        4,0.7,6
1200        3,0.89,12
2000        8,0.4,4

Example 10-45 floor Function Relation Output

Timestamp   Tuple Kind  Tuple
  10:       +           0
1000:       +           0
1200:       +           0
2000:       +           0

gamma

Syntax

Surrounding text describes gamma.png.

Purpose

gamma is based on cern.jet.stat.Gamma. It returns the Gamma function of the double argument as a double.

For more information, see http://dsd.lbl.gov/~hoschek/colt/api/cern/jet/stat/Gamma.html#gamma(double).

Examples

Consider the query qColt29 in Example 10-46. Given the data stream SColtFunc with schema (c1 integer, c2 double, c3 bigint) in Example 10-47, the query returns the relation in Example 10-48.

Example 10-46 gamma Function Query

<query id="qColt29"><![CDATA[ 
    select gamma(c2) from SColtFunc
]]></query>

Example 10-47 gamma Function Stream Input

Timestamp   Tuple
  10        1,0.5,8
1000        4,0.7,6
1200        3,0.89,12
2000        8,0.4,4

Example 10-48 gamma Function Relation Output

Timestamp   Tuple Kind  Tuple
  10:       +           1.7724539
1000:       +           1.2980554
1200:       +           1.0768307
2000:       +           2.2181594

gamma1

Syntax

Surrounding text describes gamma1.png.

Purpose

gamma1 is based on cern.jet.stat.Probability. It returns the integral from zero to x of the gamma probability density function (see Figure 10-9) as a double.

Figure 10-9 cern.jet.stat.Probability gamma1

Surrounding text describes Figure 10-9 .

This function takes the following arguments:

  • double1: the gamma distribution alpha value a

  • double2: the gamma distribution beta or lambda value b

  • double3: the integration end point x

For more information, see http://dsd.lbl.gov/~hoschek/colt/api/cern/jet/stat/Probability.html#gamma(double,%20double,%20double).

Examples

Consider the query qColt36 in Example 10-49. Given the data stream SColtFunc with schema (c1 integer, c2 double, c3 bigint) in Example 10-50, the query returns the relation in Example 10-51.

Example 10-49 gamma1 Function Query

<query id="qColt36"><![CDATA[ 
    select gamma1(c2,c2,c2) from SColtFunc
]]></query>

Example 10-50 gamma1 Function Stream Input

Timestamp   Tuple
  10        1,0.5,8
1000        4,0.7,6
1200        3,0.89,12
2000        8,0.4,4

Example 10-51 gamma1 Function Relation Output

Timestamp   Tuple Kind  Tuple
  10:       +           0.5204999 
1000:       +           0.55171627
1200:       +           0.59975785
2000:       +           0.51785487

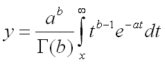
gammaComplemented

Syntax

Surrounding text describes gammacomplemented.png.

Purpose

gammaComplemented is based on cern.jet.stat.Probability. It returns the integral from x to infinity of the gamma probability density function (see Figure 10-10) as a double.

Figure 10-10 cern.jet.stat.Probability gammaComplemented

Surrounding text describes Figure 10-10 .

This function takes the following arguments:

  • double1: the gamma distribution alpha value a

  • double2: the gamma distribution beta or lambda value b

  • double3: the integration end point x

For more information, see http://dsd.lbl.gov/~hoschek/colt/api/cern/jet/stat/Probability.html#gammaComplemented(double,%20double,%20double).

Examples

Consider the query qColt43 in Example 10-52. Given the data stream SColtFunc with schema (c1 integer, c2 double, c3 bigint) in Example 10-53, the query returns the relation in Example 10-54.

Example 10-52 gammaComplemented Function Query

<query id="qColt43"><![CDATA[ 
    select gammaComplemented(c2,c2,c2) from SColtFunc
]]></query>

Example 10-53 gammaComplemented Function Stream Input

Timestamp   Tuple
  10        1,0.5,8
1000        4,0.7,6
1200        3,0.89,12
2000        8,0.4,4

Example 10-54 gammaComplemented Function Relation Output

Timestamp   Tuple Kind  Tuple
  10:       +           0.47950011
1000:       +           0.44828376
1200:       +           0.40024218
2000:       +           0.48214513

getSeedAtRowColumn

Syntax

Surrounding text describes getseedatrowcolumn.png.

Purpose

getSeedAtRowColumn is based on cern.jet.random.engine.RandomSeedTable. It returns a deterministic seed as an integer from a (seemingly gigantic) matrix of predefined seeds.

This function takes the following arguments:

  • integer1: the row value; should (but need not) be in [0,Integer.MAX_VALUE].

  • integer2: the column value; should (but need not) be in [0,1].

For more information, see http://dsd.lbl.gov/~hoschek/colt/api/cern/jet/random/engine/RandomSeedTable.html#getSeedAtRowColumn(int,%20int).

Examples

Consider the query qColt27 in Example 10-55. Given the data stream SColtFunc with schema (c1 integer, c2 double, c3 bigint) in Example 10-56, the query returns the relation in Example 10-57.

Example 10-55 getSeedAtRowColumn Function Query

<query id="qColt27"><![CDATA[ 
    select getSeedAtRowColumn(c1,c1) from SColtFunc
]]></query>

Example 10-56 getSeedAtRowColumn Function Stream Input

Timestamp   Tuple
  10        1,0.5,8
1000        4,0.7,6
1200        3,0.89,12
2000        8,0.4,4

Example 10-57 getSeedAtRowColumn Function Relation Output

Timestamp   Tuple Kind  Tuple
  10:       +           253987020 
1000:       +           1289741558
1200:       +           417696270 
2000:       +           350557787 

hash

Syntax

Surrounding text describes hash.png.

Purpose

hash is based on cern.colt.map.HashFunctions. It returns an integer hashcode for the specified double value.

For more information, see http://dsd.lbl.gov/~hoschek/colt/api/cern/colt/map/HashFunctions.html#hash(double).

Examples

Consider the query qColt56 in Example 10-58. Given the data stream SColtFunc with schema (c1 integer, c2 double, c3 bigint) in Example 10-59, the query returns the relation in Example 10-60.

Example 10-58 hash Function Query

<query id="qColt56"><![CDATA[ 
    select hash(c2) from SColtFunc
]]></query>

Example 10-59 hash Function Stream Input

Timestamp   Tuple
  10        1,0.5,8
1000        4,0.7,6
1200        3,0.89,12
2000        8,0.4,4

Example 10-60 hash Function Relation Output

Timestamp   Tuple Kind  Tuple
  10:       +            1071644672
1000:       +            1608935014
1200:       +            2146204385
2000:       +           -1613129319

hash1

Syntax

Surrounding text describes hash1.png.

Purpose

hash1 is based on cern.colt.map.HashFunctions. It returns an integer hashcode for the specified float value.

For more information, see http://dsd.lbl.gov/~hoschek/colt/api/cern/colt/map/HashFunctions.html#hash(float).

Examples

Consider the query qColt57 in Example 10-61. Given the data stream SColtFunc with schema (c1 integer, c2 double, c3 bigint) in Example 10-62, the query returns the relation in Example 10-63.

Example 10-61 hash1 Function Query

<query id="qColt57"><![CDATA[ 
    select hash1(c2) from SColtFunc
]]></query>

Example 10-62 hash1 Function Stream Input

Timestamp   Tuple
  10        1,0.5,8
1000        4,0.7,6
1200        3,0.89,12
2000        8,0.4,4

Example 10-63 hash1 Function Relation Output

Timestamp   Tuple Kind  Tuple
  10:       +           1302214522
1000:       +           1306362078
1200:       +           1309462552
2000:       +           1300047248

hash2

Syntax

Surrounding text describes hash2.png.

Purpose

hash2 is based on cern.colt.map.HashFunctions. It returns an integer hashcode for the specified integer value.

For more information, see http://dsd.lbl.gov/~hoschek/colt/api/cern/colt/map/HashFunctions.html#hash(int).

Examples

Consider the query qColt58 in Example 10-64. Given the data stream SColtFunc with schema (c1 integer, c2 double, c3 bigint) in Example 10-65, the query returns the relation in Example 10-66.

Example 10-64 hash2 Function Query

<query id="qColt58"><![CDATA[ 
    select hash2(c1) from SColtFunc
]]></query>

Example 10-65 hash2 Function Stream Input

Timestamp   Tuple
  10        1,0.5,8
1000        4,0.7,6
1200        3,0.89,12
2000        8,0.4,4

Example 10-66 hash2 Function Relation Output

Timestamp   Tuple Kind  Tuple
  10:       +           1
1000:       +           4
1200:       +           3
2000:       +           8

hash3

Syntax

Surrounding text describes hash3.png.

Purpose

hash3 is based on cern.colt.map.HashFunctions. It returns an integer hashcode for the specified long value.

For more information, see http://dsd.lbl.gov/~hoschek/colt/api/cern/colt/map/HashFunctions.html#hash(long).

Examples

Consider the query qColt59 in Example 10-67. Given the data stream SColtFunc with schema (c1 integer, c2 double, c3 bigint) in Example 10-68, the query returns the relation in Example 10-69.

Example 10-67 hash3 Function Query

<query id="qColt59"><![CDATA[ 
    select hash3(c3) from SColtFunc
]]></query>

Example 10-68 hash3 Function Stream Input

Timestamp   Tuple
  10        1,0.5,8
1000        4,0.7,6
1200        3,0.89,12
2000        8,0.4,4

Example 10-69 hash3 Function Relation Output

Timestamp   Tuple Kind  Tuple
  10:       +           8
1000:       +           6
1200:       +           12
2000:       +           4

i0

Syntax

Surrounding text describes i0.png.

Purpose

i0 is based on cern.jet.math.Bessel. It returns the modified Bessel function of order 0 of the double argument as a double.

The function is defined as i0(x) = j0(ix).

The range is partitioned into the two intervals [0,8] and (8,infinity).

For more information, see:

Examples

Consider the query qColt12 in Example 10-70. Given the data stream SColtFunc with schema (c1 integer, c2 double, c3 bigint) in Example 10-71, the query returns the relation in Example 10-72.

Example 10-70 i0 Function Query

<query id="qColt12"><![CDATA[ 
    select i0(c2) from SColtFunc
]]></query>

Example 10-71 i0 Function Stream Input

Timestamp   Tuple
  10        1,0.5,8
1000        4,0.7,6
1200        3,0.89,12
2000        8,0.4,4

Example 10-72 i0 Function Relation Output

Timestamp   Tuple Kind  Tuple
  10:       +           1.0634834
1000:       +           1.126303 
1200:       +           1.2080469
2000:       +           1.0404018

i0e

Syntax

Surrounding text describes i0e.png.

Purpose

i0e is based on cern.jet.math.Bessel. It returns the exponentially scaled modified Bessel function of order 0 of the double argument as a double.

The function is defined as: i0e(x) = exp(-|x|) j0(ix).

For more information, see:

Examples

Consider the query qColt13 in Example 10-73. Given the data stream SColtFunc with schema (c1 integer, c2 double, c3 bigint) in Example 10-74, the query returns the relation in Example 10-75.

Example 10-73 i0e Function Query

<query id="qColt13"><![CDATA[ 
    select i0e(c2) from SColtFunc
]]></query>

Example 10-74 i0e Function Stream Input

Timestamp   Tuple
  10        1,0.5,8
1000        4,0.7,6
1200        3,0.89,12
2000        8,0.4,4

Example 10-75 i0e Function Relation Output

Timestamp   Tuple Kind  Tuple
  10:       +           0.64503527
1000:       +           0.55930555
1200:       +           0.4960914 
2000:       +           0.6974022 

i1

Syntax

Surrounding text describes i1.png.

Purpose

i1 is based on cern.jet.math.Bessel. It returns the modified Bessel function of order 1 of the double argument as a double.

The function is defined as: i1(x) = -i j1(ix).

The range is partitioned into the two intervals [0,8] and (8,infinity). Chebyshev polynomial expansions are employed in each interval.

For more information, see:

Examples

Consider the query qColt14 in Example 10-76. Given the data stream SColtFunc with schema (c1 integer, c2 double, c3 bigint) in Example 10-77, the query returns the relation in Example 10-78.

Example 10-76 i1 Function Query

<query id="qColt14"><![CDATA[ 
    select i1(c2) from SColtFunc
]]></query>

Example 10-77 i1 Function Stream Input

Timestamp   Tuple
  10        1,0.5,8
1000        4,0.7,6
1200        3,0.89,12
2000        8,0.4,4

Example 10-78 i1 Function Relation Output

Timestamp   Tuple Kind  Tuple
  10:       +           0.2578943 
1000:       +           0.37187967
1200:       +           0.49053898
2000:       +           0.20402676

i1e

Syntax

Surrounding text describes i1e.png.

Purpose

i1e is based on cern.jet.math.Bessel. It returns the exponentially scaled modified Bessel function of order 1 of the double argument as a double.

The function is defined as i1(x) = -i exp(-|x|) j1(ix).

For more information, see

Examples

Consider the query qColt15 in Example 10-79. Given the data stream SColtFunc with schema (c1 integer, c2 double, c3 bigint) in Example 10-80, the query returns the relation in Example 10-81.

Example 10-79 i1e Function Query

<query id="qColt15"><![CDATA[ 
    select i1e(c2) from SColtFunc
]]></query>

Example 10-80 i1e Function Stream Input

Timestamp   Tuple
  10        1,0.5,8
1000        4,0.7,6
1200        3,0.89,12
2000        8,0.4,4

Example 10-81 i1e Function Relation Output

Timestamp   Tuple Kind  Tuple
  10:       +           0.1564208 
1000:       +           0.18466999
1200:       +           0.20144266
2000:       +           0.13676323

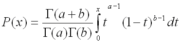
incompleteBeta

Syntax

Surrounding text describes incompletebeta.png.

Purpose

incompleteBeta is based on cern.jet.stat.Gamma. It returns the Incomplete Beta Function evaluated from zero to x as a double.

This function takes the following arguments:

  • double1: the beta distribution alpha value a

  • double2: the beta distribution beta value b

  • double3: the integration end point x

For more information, see http://dsd.lbl.gov/~hoschek/colt/api/cern/jet/stat/Gamma.html#incompleteBeta(double,%20double,%20double).

Examples

Consider the query qColt30 in Example 10-82. Given the data stream SColtFunc with schema (c1 integer, c2 double, c3 bigint) in Example 10-83, the query returns the relation in Example 10-84.

Example 10-82 incompleteBeta Function Query

<query id="qColt30"><![CDATA[ 
    select incompleteBeta(c2,c2,c2) from SColtFunc
]]></query>

Example 10-83 incompleteBeta Function Stream Input

Timestamp   Tuple
  10        1,0.5,8
1000        4,0.7,6
1200        3,0.89,12
2000        8,0.4,4

Example 10-84 incompleteBeta Function Relation Output

Timestamp   Tuple Kind  Tuple
  10:       +           0.5       
1000:       +           0.66235894
1200:       +           0.873397  
2000:       +           0.44519535

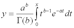
incompleteGamma

Syntax

Surrounding text describes incompletegamma.png.

Purpose

incompleteGamma is based on cern.jet.stat.Gamma. It returns the Incomplete Gamma function of the arguments as a double.

This function takes the following arguments:

  • double1: the gamma distribution alpha value a.

  • double2: the integration end point x.

For more information, see http://dsd.lbl.gov/~hoschek/colt/api/cern/jet/stat/Gamma.html#incompleteGamma(double,%20double).

Examples

Consider the query qColt31 in Example 10-85. Given the data stream SColtFunc with schema (c1 integer, c2 double, c3 bigint) in Example 10-86, the query returns the relation in Example 10-87.

Example 10-85 incompleteGamma Function Query

<query id="qColt31"><![CDATA[ 
    select incompleteGamma(c2,c2) from SColtFunc
]]></query>

Example 10-86 incompleteGamma Function Stream Input

Timestamp   Tuple
  10        1,0.5,8
1000        4,0.7,6
1200        3,0.89,12
2000        8,0.4,4

Example 10-87 incompleteGamma Function Relation Output

Timestamp   Tuple Kind  Tuple
  10:       +           0.6826895
1000:       +           0.6565891
1200:       +           0.6397422
2000:       +           0.7014413

incompleteGammaComplement

Syntax

Surrounding text describes incompletegammacomplement.png.

Purpose

incompleteGammaComplement is based on cern.jet.stat.Gamma. It returns the Complemented Incomplete Gamma function of the arguments as a double.

This function takes the following arguments:

  • double1: the gamma distribution alpha value a.

  • double2: the integration start point x.

For more information, see http://dsd.lbl.gov/~hoschek/colt/api/cern/jet/stat/Gamma.html#incompleteGammaComplement(double,%20double).

Examples

Consider the query qColt32 in Example 10-88. Given the data stream SColtFunc with schema (c1 integer, c2 double, c3 bigint) in Example 10-89, the query returns the relation in Example 10-90.

Example 10-88 incompleteGammaComplement Function Query

<query id="qColt32"><![CDATA[ 
    select incompleteGammaComplement(c2,c2) from SColtFunc
]]></query>

Example 10-89 incompleteGammaComplement Function Stream Input

Timestamp   Tuple
  10        1,0.5,8
1000        4,0.7,6
1200        3,0.89,12
2000        8,0.4,4

Example 10-90 incompleteGammaComplement Function Relation Output

Timestamp   Tuple Kind  Tuple
  10:       +           0.3173105 
1000:       +           0.34341094
1200:       +           0.3602578 
2000:       +           0.29855874

j0

Syntax

Surrounding text describes j0.png.

Purpose

j0 is based on cern.jet.math.Bessel. It returns the Bessel function of the first kind of order 0 of the double argument as a double.

For more information, see http://dsd.lbl.gov/~hoschek/colt/api/cern/jet/math/Bessel.html#j0(double).

Examples

Consider the query qColt16 in Example 10-91. Given the data stream SColtFunc with schema (c1 integer, c2 double, c3 bigint) in Example 10-92, the query returns the relation in Example 10-93.

Example 10-91 j0 Function Query

<query id="qColt16"><![CDATA[ 
    select j0(c2) from SColtFunc
]]></query>

Example 10-92 j0 Function Stream Input

Timestamp   Tuple
  10        1,0.5,8
1000        4,0.7,6
1200        3,0.89,12
2000        8,0.4,4

Example 10-93 j0 Function Relation Output

Timestamp   Tuple Kind  Tuple
  10:       +           0.9384698
1000:       +           0.8812009
1200:       +           0.8115654
2000:       +           0.9603982

j1

Syntax

Surrounding text describes j1.png.

Purpose

j1 is based on cern.jet.math.Bessel. It returns the Bessel function of the first kind of order 1 of the double argument as a double.

For more information, see http://dsd.lbl.gov/~hoschek/colt/api/cern/jet/math/Bessel.html#j1(double).

Examples

Consider the query qColt17 in Example 10-94. Given the data stream SColtFunc with schema (c1 integer, c2 double, c3 bigint) in Example 10-95, the query returns the relation in Example 10-96.

Example 10-94 j1 Function Query

<query id="qColt17"><![CDATA[ 
    select j1(c2) from SColtFunc
]]></query>

Example 10-95 j1 Function Stream Input

Timestamp   Tuple
  10        1,0.5,8
1000        4,0.7,6
1200        3,0.89,12
2000        8,0.4,4

Example 10-96 j1 Function Relation Output

Timestamp   Tuple Kind  Tuple
  10:       +           0.24226846
1000:       +           0.32899573
1200:       +           0.40236986
2000:       +           0.19602658

jn

Syntax

Surrounding text describes jn.png.

Purpose

jn is based on cern.jet.math.Bessel. It returns the Bessel function of the first kind of order n of the argument as a double.

This function takes the following arguments:

  • integer1: the order of the Bessel function n.

  • double2: the value to compute the bessel function of x.

For more information, see http://dsd.lbl.gov/~hoschek/colt/api/cern/jet/math/Bessel.html#jn(int,%20double).

Examples

Consider the query qColt18 in Example 10-97. Given the data stream SColtFunc with schema (c1 integer, c2 double, c3 bigint) in Example 10-98, the query returns the relation in Example 10-99.

Example 10-97 jn Function Query

<query id="qColt18"><![CDATA[ 
    select jn(c1,c2) from SColtFunc
]]></query>

Example 10-98 jn Function Stream Input

Timestamp   Tuple
  10        1,0.5,8
1000        4,0.7,6
1200        3,0.89,12
2000        8,0.4,4

Example 10-99 jn Function Relation Output

Timestamp   Tuple Kind  Tuple
  10:       +           0.24226846  
1000:       +           6.1009696E-4
1200:       +           0.0139740035
2000:       +           6.321045E-11

k0

Syntax

Surrounding text describes k0.png.

Purpose

k0 is based on cern.jet.math.Bessel. It returns the modified Bessel function of the third kind of order 0 of the double argument as a double.

The range is partitioned into the two intervals [0,8] and (8, infinity). Chebyshev polynomial expansions are employed in each interval.

For more information, see http://dsd.lbl.gov/~hoschek/colt/api/cern/jet/math/Bessel.html#k0(double).

Examples

Consider the query qColt19 in Example 10-100. Given the data stream SColtFunc with schema (c1 integer, c2 double, c3 bigint) in Example 10-101, the query returns the relation in Example 10-102.

Example 10-100 k0 Function Query

<query id="qColt19"><![CDATA[ 
    select k0(c2) from SColtFunc
]]></query>

Example 10-101 k0 Function Stream Input

Timestamp   Tuple
  10        1,0.5,8
1000        4,0.7,6
1200        3,0.89,12
2000        8,0.4,4

Example 10-102 k0 Function Relation Output

Timestamp   Tuple Kind  Tuple
  10:       +           0.92441905
1000:       +           0.6605199 
1200:       +           0.49396032
2000:       +           1.1145291 

k0e

Syntax

Surrounding text describes k0e.png.

Purpose

k0e is based on cern.jet.math.Bessel. It returns the exponentially scaled modified Bessel function of the third kind of order 0 of the double argument as a double.

For more information, see http://dsd.lbl.gov/~hoschek/colt/api/cern/jet/math/Bessel.html#k0e(double).

Examples

Consider the query qColt20 in Example 10-103. Given the data stream SColtFunc with schema (c1 integer, c2 double, c3 bigint) in Example 10-104, the query returns the relation in Example 10-105.

Example 10-103 k0e Function Query

<query id="qColt20"><![CDATA[ 
    select k0e(c2) from SColtFunc
]]></query>

Example 10-104 k0e Function Stream Input

Timestamp   Tuple
  10        1,0.5,8
1000        4,0.7,6
1200        3,0.89,12
2000        8,0.4,4

Example 10-105 k0e Function Relation Output

Timestamp   Tuple Kind  Tuple
  10:       +           1.5241094
1000:       +           1.3301237
1200:       +           1.2028574
2000:       +           1.662682 

k1

Syntax

Surrounding text describes k1.png.

Purpose

k1 is based on cern.jet.math.Bessel. It returns the modified Bessel function of the third kind of order 1 of the double argument as a double.

The range is partitioned into the two intervals [0,2] and (2, infinity). Chebyshev polynomial expansions are employed in each interval.

For more information, see http://dsd.lbl.gov/~hoschek/colt/api/cern/jet/math/Bessel.html#k1(double).

Examples

Consider the query qColt21 in Example 10-106. Given the data stream SColtFunc with schema (c1 integer, c2 double, c3 bigint) in Example 10-107, the query returns the relation in Example 10-108.

Example 10-106 k1 Function Query

<query id="qColt21"><![CDATA[ 
    select k1(c2) from SColtFunc
]]></query>

Example 10-107 k1 Function Stream Input

Timestamp   Tuple
  10        1,0.5,8
1000        4,0.7,6
1200        3,0.89,12
2000        8,0.4,4

Example 10-108 k1 Function Relation Output

Timestamp   Tuple Kind  Tuple
  10:       +           1.6564411
1000:       +           1.0502836
1200:       +           0.7295154
2000:       +           2.1843543

k1e

Syntax

Surrounding text describes k1e.png.

Purpose

k1e is based on cern.jet.math.Bessel. It returns the exponentially scaled modified Bessel function of the third kind of order 1 of the double argument as a double.

The function is defined as: k1e(x) = exp(x) * k1(x).

For more information, see:

Examples

Consider the query qColt22 in Example 10-109. Given the data stream SColtFunc with schema (c1 integer, c2 double, c3 bigint) in Example 10-110, the query returns the relation in Example 10-111.

Example 10-109 k1e Function Query

<query id="qColt22"><![CDATA[ 
    select k1e(c2) from SColtFunc
]]></query>

Example 10-110 k1e Function Stream Input

Timestamp   Tuple
  10        1,0.5,8
1000        4,0.7,6
1200        3,0.89,12
2000        8,0.4,4

Example 10-111 k1e Function Relation Output

Timestamp   Tuple Kind  Tuple
  10:       +           2.7310097
1000:       +           2.1150115
1200:       +           1.7764645
2000:       +           3.258674 

kn

Syntax

Surrounding text describes kn.png.

Purpose

kn is based on cern.jet.math.Bessel. It returns the modified Bessel function of the third kind of order n of the argument as a double.

This function takes the following arguments:

  • integer1: the n value order of the Bessel function.

  • double2: the x value to compute the bessel function of.

The range is partitioned into the two intervals [0,9.55] and (9.55, infinity). An ascending power series is used in the low range, and an asymptotic expansion in the high range.

For more information, see http://dsd.lbl.gov/~hoschek/colt/api/cern/jet/math/Bessel.html#kn(int,%20double).

Examples

Consider the query qColt23 in Example 10-112. Given the data stream SColtFunc with schema (c1 integer, c2 double, c3 bigint) in Example 10-113, the query returns the relation in Example 10-114.

Example 10-112 kn Function Query

<query id="qColt23"><![CDATA[ 
    select kn(c1,c2) from SColtFunc
]]></query>

Example 10-113 kn Function Stream Input

Timestamp   Tuple
  10        1,0.5,8
1000        4,0.7,6
1200        3,0.89,12
2000        8,0.4,4

Example 10-114 kn Function Relation Output

Timestamp   Tuple Kind  Tuple
  10:       +             1.6564411  
1000:       +           191.99422    
1200:       +            10.317473   
2000:       +             9.7876858E8

leastSignificantBit

Syntax

Surrounding text describes leastsignificantbit.png.

Purpose

leastSignificantBit is based on cern.colt.bitvector.QuickBitVector. It returns the index (as an integer) of the least significant bit in state true of the integer argument. Returns 32 if no bit is in state true.

For more information, see:

Examples

Consider the query qColt54 in Example 10-115. Given the data stream SColtFunc with schema (c1 integer, c2 double, c3 bigint) in Example 10-116, the query returns the relation in Example 10-117.

Example 10-115 leastSignificantBit Function Query

<query id="qColt54"><![CDATA[ 
    select leastSignificantBit(c1) from SColtFunc
]]></query>

Example 10-116 leastSignificantBit Function Stream Input

Timestamp   Tuple
  10        1,0.5,8
1000        4,0.7,6
1200        3,0.89,12
2000        8,0.4,4

Example 10-117 leastSignificantBit Function Relation Output

Timestamp   Tuple Kind  Tuple
  10:       +           0
1000:       +           2
1200:       +           0
2000:       +           3

log

Syntax

Surrounding text describes log.png.

Purpose

log is based on cern.jet.math.Arithmetic. It returns the computation that Figure 10-11 shows as a double.

Figure 10-11 cern.jet.math.Arithmetic log

Surrounding text describes Figure 10-11 .

This function takes the following arguments:

  • double1: the base.

  • double2: the value.

For more information, see http://dsd.lbl.gov/~hoschek/colt/api/cern/jet/math/Arithmetic.html#log(double,%20double).

Examples

Consider the query qColt3 in Example 10-118. Given the data stream SColtFunc with schema (c1 integer, c2 double, c3 bigint) in Example 10-119, the query returns the relation in Example 10-120.

Example 10-118 log Function Query

<query id="qColt3"><![CDATA[ 
    select log(c2,c2) from SColtFunc
]]></query>

Example 10-119 log Function Stream Input

Timestamp   Tuple
  10        1,0.5,8
1000        4,0.7,6
1200        3,0.89,12
2000        8,0.4,4

Example 10-120 log Function Relation Output

Timestamp   Tuple Kind  Tuple
  10:       +           1.0
1000:       +           1.0
1200:       +           1.0
2000:       +           1.0

log10

Syntax

Surrounding text describes log10.png.

Purpose

log10 is based on cern.jet.math.Arithmetic. It returns the base 10 logarithm of a double value as a double.

For more information, see http://dsd.lbl.gov/~hoschek/colt/api/cern/jet/math/Arithmetic.html#log10(double).

Examples

Consider the query qColt4 in Example 10-121. Given the data stream SColtFunc with schema (c1 integer, c2 double, c3 bigint) in Example 10-122, the query returns the relation in Example 10-123.

Example 10-121 log10 Function Query

<query id="qColt4"><![CDATA[ 
    select log10(c2) from SColtFunc
]]></query>

Example 10-122 log10 Function Stream Input

Timestamp   Tuple
  10        1,0.5,8
1000        4,0.7,6
1200        3,0.89,12
2000        8,0.4,4

Example 10-123 log10 Function Relation Output

Timestamp   Tuple Kind  Tuple
  10:       +           -0.30103    
1000:       +           -0.15490197 
1200:       +           -0.050610002
2000:       +           -0.39794    

log2

Syntax

Surrounding text describes log2.png.

Purpose

log2 is based on cern.jet.math.Arithmetic. It returns the base 2 logarithm of a double value as a double.

For more information, see http://dsd.lbl.gov/~hoschek/colt/api/cern/jet/math/Arithmetic.html#log2(double).

Examples

Consider the query qColt9 in Example 10-124. Given the data stream SColtFunc with schema (c1 integer, c2 double, c3 bigint) in Example 10-125, the query returns the relation in Example 10-126.

Example 10-124 log2 Function Query

<query id="qColt9"><![CDATA[ 
    select log2(c2) from SColtFunc
]]></query>

Example 10-125 log2 Function Stream Input

Timestamp   Tuple
  10        1,0.5,8
1000        4,0.7,6
1200        3,0.89,12
2000        8,0.4,4

Example 10-126 log2 Function Relation Output

Timestamp   Tuple Kind  Tuple
  10:       +           -1.0       
1000:       +           -0.5145732 
1200:       +           -0.16812278
2000:       +           -1.321928  

logFactorial

Syntax

Surrounding text describes logfactorial.png.

Purpose

logFactorial is based on cern.jet.math.Arithmetic. It returns the natural logarithm (base e) of the factorial of its integer argument as a double

For argument values k<30, the function looks up the result in a table in O(1). For argument values k>=30, the function uses Stirlings approximation.

For more information, see http://dsd.lbl.gov/~hoschek/colt/api/cern/jet/math/Arithmetic.html#logFactorial(int).

Examples

Consider the query qColt10 in Example 10-127. Given the data stream SColtFunc with schema (c1 integer, c2 double, c3 bigint) in Example 10-128, the query returns the relation in Example 10-129.

Example 10-127 logFactorial Function Query

<query id="qColt10"><![CDATA[ 
    select logFactorial(c1) from SColtFunc
]]></query>

Example 10-128 logFactorial Function Stream Input

Timestamp   Tuple
  10        1,0.5,8
1000        4,0.7,6
1200        3,0.89,12
2000        8,0.4,4

Example 10-129 logFactorial Function Relation Output

Timestamp   Tuple Kind  Tuple
  10:       +            0.0      
1000:       +            3.1780539
1200:       +            1.7917595
2000:       +           10.604603 

logGamma

Syntax

Surrounding text describes loggamma.png.

Purpose

logGamma is based on cern.jet.stat.Gamma. It returns the natural logarithm (base e) of the gamma function of the double argument as a double.

For more information, see http://dsd.lbl.gov/~hoschek/colt/api/cern/jet/stat/Gamma.html#logGamma(double).

Examples

Consider the query qColt33 in Example 10-130. Given the data stream SColtFunc with schema (c1 integer, c2 double, c3 bigint) in Example 10-131, the query returns the relation in Example 10-132.

Example 10-130 logGamma Function Query

<query id="qColt33"><![CDATA[ 
    select logGamma(c2) from SColtFunc
]]></query>

Example 10-131 logGamma Function Stream Input

Timestamp   Tuple
  10        1,0.5,8
1000        4,0.7,6
1200        3,0.89,12
2000        8,0.4,4

Example 10-132 logGamma Function Relation Output

Timestamp   Tuple Kind  Tuple
  10:       +           0.5723649 
1000:       +           0.26086727
1200:       +           0.07402218
2000:       +           0.7966778 

longFactorial

Syntax

Surrounding text describes longfactorial.png.

Purpose

longFactorial is based on cern.jet.math.Arithmetic. It returns the factorial of its integer argument (in the range k >= 0 && k < 21) as a long.

For more information, see http://dsd.lbl.gov/~hoschek/colt/api/cern/jet/math/Arithmetic.html#longFactorial(int).

Examples

Consider the query qColt11 in Example 10-133. Given the data stream SColtFunc with schema (c1 integer, c2 double, c3 bigint) in Example 10-134, the query returns the relation in Example 10-135.

Example 10-133 longFactorial Function Query

<query id="qColt11"><![CDATA[ 
    select longFactorial(c1) from SColtFunc
]]></query>

Example 10-134 longFactorial Function Stream Input

Timestamp   Tuple
  10        1,0.5,8
1000        4,0.7,6
1200        3,0.89,12
2000        8,0.4,4

Example 10-135 longFactorial Function Relation Output

Timestamp   Tuple Kind  Tuple
  10:       +           1
1000:       +           24
1200:       +           6
2000:       +           40320

mostSignificantBit

Syntax

Surrounding text describes mostsignificantbit.png.

Purpose

mostSignificantBit is based on cern.colt.bitvector.QuickBitVector. It returns the index (as an integer) of the most significant bit in state true of the integer argument. Returns -1 if no bit is in state true

For more information, see:

Examples

Consider the query qColt55 in Example 10-136. Given the data stream SColtFunc with schema (c1 integer, c2 double, c3 bigint) in Example 10-137, the query returns the relation in Example 10-138.

Example 10-136 mostSignificantBit Function Query

<query id="qColt55"><![CDATA[ 
    select mostSignificantBit(c1) from SColtFunc
]]></view>

Example 10-137 mostSignificantBit Function Stream Input

Timestamp   Tuple
  10        1,0.5,8
1000        4,0.7,6
1200        3,0.89,12
2000        8,0.4,4

Example 10-138 mostSignificantBit Function Relation Output

Timestamp   Tuple Kind  Tuple
  10:       +           0
1000:       +           2
1200:       +           1
2000:       +           3

negativeBinomial

Syntax

Surrounding text describes negativebinomial.png.

Purpose

negativeBinomial is based on cern.jet.stat.Probability. It returns the sum of the terms 0 through k of the Negative Binomial Distribution (see Figure 10-12) as a double.

Figure 10-12 cern.jet.stat.Probability negativeBinomial

Surrounding text describes Figure 10-12 .

This function takes the following arguments:

  • integer1: the end term k.

  • integer2: the number of trials n.

  • double3: the probability of success p in (0.0,1.0).

For more information, see http://dsd.lbl.gov/~hoschek/colt/api/cern/jet/stat/Probability.html#negativeBinomial(int,%20int,%20double).

Examples

Consider the query qColt44 in Example 10-139. Given the data stream SColtFunc with schema (c1 integer, c2 double, c3 bigint) in Example 10-140, the query returns the relation in Example 10-141.

Example 10-139 negativeBinomial Function Query

<query id="qColt44"><![CDATA[ 
    select negativeBinomial(c1,c1,c2) from SColtFunc
]]></query>

Example 10-140 negativeBinomial Function Stream Input

Timestamp   Tuple
  10        1,0.5,8
1000        4,0.7,6
1200        3,0.89,12
2000        8,0.4,4

Example 10-141 negativeBinomial Function Relation Output

Timestamp   Tuple Kind  Tuple
  10:       +           0.75      
1000:       +           0.94203234
1200:       +           0.99817264
2000:       +           0.28393665

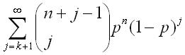
negativeBinomialComplemented

Syntax

Surrounding text describes negatievbinomialcompl.png.

Purpose

negativeBinomialComplemented is based on cern.jet.stat.Probability. It returns the sum of the terms k+1 to infinity of the Negative Binomial distribution (see Figure 10-13) as a double.

Figure 10-13 cern.jet.stat.Probability negativeBinomialComplemented

Surrounding text describes Figure 10-13 .

This function takes the following arguments:

  • integer1: the end term k.

  • integer2: the number of trials n.

  • double3: the probability of success p in (0.0,1.0).

For more information, see http://dsd.lbl.gov/~hoschek/colt/api/cern/jet/stat/Probability.html#negativeBinomialComplemented(int,%20int,%20double).

Examples

Consider the query qColt45 in Example 10-142. Given the data stream SColtFunc with schema (c1 integer, c2 double, c3 bigint) in Example 10-143, the query returns the relation in Example 10-144.

Example 10-142 negativeBinomialComplemented Function Query

<query id="qColt45"><![CDATA[ 
    select negativeBinomialComplemented(c1,c1,c2) from SColtFunc
]]></query>

Example 10-143 negativeBinomialComplemented Function Stream Input

Timestamp   Tuple
  10        1,0.5,8
1000        4,0.7,6
1200        3,0.89,12
2000        8,0.4,4

Example 10-144 negativeBinomialComplemented Function Relation Output

Timestamp   Tuple Kind  Tuple
  10:       +           0.25        
1000:       +           0.05796766  
1200:       +           0.0018273441
2000:       +           0.7160633   

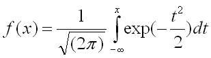
normal

Syntax

Surrounding text describes normal.png.

Purpose

normal is based on cern.jet.stat.Probability. It returns the area under the Normal (Gaussian) probability density function, integrated from minus infinity to the double argument x (see Figure 10-14) as a double.

Figure 10-14 cern.jet.stat.Probability normal

Surrounding text describes Figure 10-14 .

For more information, see http://dsd.lbl.gov/~hoschek/colt/api/cern/jet/stat/Probability.html#normal(double).

Examples

Consider the query qColt46 in Example 10-145. Given the data stream SColtFunc with schema (c1 integer, c2 double, c3 bigint) in Example 10-146, the query returns the relation in Example 10-147.

Example 10-145 normal Function Query

<query id="qColt46"><![CDATA[ 
    select normal(c2) from SColtFunc
]]></query>

Example 10-146 normal Function Stream Input

Timestamp   Tuple
  10        1,0.5,8
1000        4,0.7,6
1200        3,0.89,12
2000        8,0.4,4

Example 10-147 normal Function Relation Output

Timestamp   Tuple Kind  Tuple
  10:       +           0.69146246
1000:       +           0.7580363 
1200:       +           0.81326705
2000:       +           0.65542173

normal1

Syntax

Surrounding text describes normal1.png.

Purpose

normal1 is based on cern.jet.stat.Probability. It returns the area under the Normal (Gaussian) probability density function, integrated from minus infinity to x (see Figure 10-15) as a double.

Figure 10-15 cern.jet.stat.Probability normal1

Surrounding text describes Figure 10-15 .

This function takes the following arguments:

  • double1: the normal distribution mean.

  • double2: the variance of the normal distribution v.

  • double3: the integration limit x.

For more information, see http://dsd.lbl.gov/~hoschek/colt/api/cern/jet/stat/Probability.html#normal(double,%20double,%20double).

Examples

Consider the query qColt47 in Example 10-148. Given the data stream SColtFunc with schema (c1 integer, c2 double, c3 bigint) in Example 10-149, the query returns the relation in Example 10-150.

Example 10-148 normal1 Function Query

<query id="qColt47"><![CDATA[ 
    select normal1(c2,c2,c2) from SColtFunc
]]></query>

Example 10-149 normal1 Function Stream Input

Timestamp   Tuple
  10        1,0.5,8
1000        4,0.7,6
1200        3,0.89,12
2000        8,0.4,4

Example 10-150 normal1 Function Relation Output

Timestamp   Tuple Kind  Tuple
  10:       +           0.5
1000:       +           0.5
1200:       +           0.5
2000:       +           0.5

normalInverse

Syntax

Surrounding text describes normalinverse.png.

Purpose

normalInverse is based on cern.jet.stat.Probability. It returns the double value, x, for which the area under the Normal (Gaussian) probability density function (integrated from minus infinity to x) equals the double argument y (assumes mean is zero and variance is one).

For more information, see http://dsd.lbl.gov/~hoschek/colt/api/cern/jet/stat/Probability.html#normalInverse(double).

Examples

Consider the query qColt48 in Example 10-151. Given the data stream SColtFunc with schema (c1 integer, c2 double, c3 bigint) in Example 10-152, the query returns the relation in Example 10-153.

Example 10-151 normalInverse Function Query

<query id="qColt48"><![CDATA[ 
    select normalInverse(c2) from SColtFunc
]]></view>

Example 10-152 normalInverse Function Stream Input

Timestamp   Tuple
  10        1,0.5,8
1000        4,0.7,6
1200        3,0.89,12
2000        8,0.4,4

Example 10-153 normalInverse Function Relation Output

Timestamp   Tuple Kind  Tuple
  10:       +           0.0      
1000:       +           0.5244005
1200:       +           1.226528 
2000:       +           0.2533471

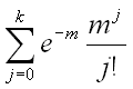
poisson

Syntax

Surrounding text describes poisson.png.

Purpose

poisson is based on cern.jet.stat.Probability. It returns the sum of the first k terms of the Poisson distribution (see Figure 10-16) as a double.

Figure 10-16 cern.jet.stat.Probability poisson

Surrounding text describes Figure 10-16 .

This function takes the following arguments:

  • integer1: the number of terms k.

  • double2: the mean of the Poisson distribution m.

For more information, see http://dsd.lbl.gov/~hoschek/colt/api/cern/jet/stat/Probability.html#poisson(int,%20double).

Examples

Consider the query qColt49 in Example 10-154. Given the data stream SColtFunc with schema (c1 integer, c2 double, c3 bigint) in Example 10-155, the query returns the relation in Example 10-156.

Example 10-154 poisson Function Query

<query id="qColt49"><![CDATA[ 
    select poisson(c1,c2) from SColtFunc
]]></query>

Example 10-155 poisson Function Stream Input

Timestamp   Tuple
  10        1,0.5,8
1000        4,0.7,6
1200        3,0.89,12
2000        8,0.4,4

Example 10-156 poisson Function Relation Output

Timestamp   Tuple Kind  Tuple
  10:       +           0.909796 
1000:       +           0.9992145
1200:       +           0.9870295
2000:       +           1.0      

poissonComplemented

Syntax

Surrounding text describes poissoncomplemented.png.

Purpose

poissonComplemented is based on cern.jet.stat.Probability. It returns the sum of the terms k+1 to Infinity of the Poisson distribution (see Figure 10-17) as a double.

Figure 10-17 cern.jet.stat.Probability poissonComplemented

Surrounding text describes Figure 10-17 .

This function takes the following arguments:

  • integer1: the start term k.

  • double2: the mean of the Poisson distribution m.

For more information, see http://dsd.lbl.gov/~hoschek/colt/api/cern/jet/stat/Probability.html#poissonComplemented(int,%20double).

Examples

Consider the query qColt50 in Example 10-157. Given the data stream SColtFunc with schema (c1 integer, c2 double, c3 bigint) in Example 10-158, the query returns the relation in Example 10-159.

Example 10-157 poissonComplemented Function Query

<query id="qColt50"><![CDATA[ 
    select poissonComplemented(c1,c2) from SColtFunc
]]></query>

Example 10-158 poissonComplemented Function Stream Input

Timestamp   Tuple
  10        1,0.5,8
1000        4,0.7,6
1200        3,0.89,12
2000        8,0.4,4

Example 10-159 poissonComplemented Function Relation Output

Timestamp   Tuple Kind  Tuple
  10:       +           0.09020401  
1000:       +           7.855354E-4 
1200:       +           0.012970487 
2000:       +           5.043364E-10

stirlingCorrection

Syntax

Surrounding text describes stirlingcorrection.png.

Purpose

stirlingCorrection is based on cern.jet.math.Arithmetic. It returns the correction term of the Stirling approximation of the natural logarithm (base e) of the factorial of the integer argument (see Figure 10-18) as a double.

Figure 10-18 cern.jet.math.Arithmetic stirlingCorrection

Surrounding text describes Figure 10-18 .

For more information, see http://dsd.lbl.gov/~hoschek/colt/api/cern/jet/math/Arithmetic.html#stirlingCorrection(int).

Examples

Consider the query qColt5 in Example 10-160. Given the data stream SColtFunc with schema (c1 integer, c2 double, c3 bigint) in Example 10-161, the query returns the relation in Example 10-162.

Example 10-160 stirlingCorrection Function Query

<query id="qColt5"><![CDATA[ 
    select stirlingCorrection(c1) from SColtFunc
]]></query>

Example 10-161 stirlingCorrection Function Stream Input

Timestamp   Tuple
  10        1,0.5,8
1000        4,0.7,6
1200        3,0.89,12
2000        8,0.4,4

Example 10-162 stirlingCorrection Function Relation Output

Timestamp   Tuple Kind  Tuple
  10:       +           0.08106147 
1000:       +           0.020790672
1200:       +           0.027677925
2000:       +           0.010411265

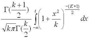
studentT

Syntax

Surrounding text describes studentt.png.

Purpose

studentT is based on cern.jet.stat.Probability. It returns the integral from minus infinity to t of the Student-t distribution with k > 0 degrees of freedom (see Figure 10-19) as a double.

Figure 10-19 cern.jet.stat.Probability studentT

Surrounding text describes Figure 10-19 .

This function takes the following arguments:

  • double1: the degrees of freedom k.

  • double2: the integration end point t.

For more information, see http://dsd.lbl.gov/~hoschek/colt/api/cern/jet/stat/Probability.html#studentT(double,%20double).

Examples

Consider the query qColt51 in Example 10-163. Given the data stream SColtFunc with schema (c1 integer, c2 double, c3 bigint) in Example 10-164, the query returns the relation in Example 10-165.

Example 10-163 studentT Function Query

<query id="qColt51"><![CDATA[ 
    select studentT(c2,c2) from SColtFunc
]]></query>

Example 10-164 studentT Function Stream Input

Timestamp   Tuple
  10        1,0.5,8
1000        4,0.7,6
1200        3,0.89,12
2000        8,0.4,4

Example 10-165 studentT Function Relation Output

Timestamp   Tuple Kind  Tuple
  10:       +           0.621341  
1000:       +           0.67624015
1200:       +           0.7243568 
2000:       +           0.5930112 

studentTInverse

Syntax

Surrounding text describes studenttinverse.png.

Purpose

studentTInverse is based on cern.jet.stat.Probability. It returns the double value, t, for which the area under the Student-t probability density function (integrated from minus infinity to t) equals 1-alpha/2. The value returned corresponds to the usual Student t-distribution lookup table for talpha[size]. This function uses the studentt function to determine the return value iteratively.

This function takes the following arguments:

  • double1: the probability alpha.

  • integer2: the data set size.

For more information, see:

Examples

Consider the query qColt52 in Example 10-166. Given the data stream SColtFunc with schema (c1 integer, c2 double, c3 bigint) in Example 10-167, the query returns the relation in Example 10-168.

Example 10-166 studentTInverse Function Query

<query id="qColt52"><![CDATA[ 
    select studentTInverse(c2,c1) from SColtFunc
]]></query>

Example 10-167 studentTInverse Function Stream Input

Timestamp   Tuple
  10        1,0.5,8
1000        4,0.7,6
1200        3,0.89,12
2000        8,0.4,4

Example 10-168 studentTInverse Function Relation Output

Timestamp   Tuple Kind  Tuple
  10:       +           1.0       
1000:       +           0.4141633 
1200:       +           0.15038916
2000:       +           0.8888911 

y0

Syntax

Surrounding text describes y0.png.

Purpose

y0 is based on cern.jet.math.Bessel. It returns the Bessel function of the second kind of order 0 of the double argument as a double.

For more information, see http://dsd.lbl.gov/~hoschek/colt/api/cern/jet/math/Bessel.html#y0(double).

Examples

Consider the query qColt24 in Example 10-169. Given the data stream SColtFunc with schema (c1 integer, c2 double, c3 bigint) in Example 10-170, the query returns the relation in Example 10-171.

Example 10-169 y0 Function Query

<query id="qColt24"><![CDATA[ 
    select y0(c2) from SColtFunc
]]></query>

Example 10-170 y0 Function Stream Input

Timestamp   Tuple
  10        1,0.5,8
1000        4,0.7,6
1200        3,0.89,12
2000        8,0.4,4

Example 10-171 y0 Function Relation Output

Timestamp   Tuple Kind  Tuple
  10:       +           -0.44451874  
1000:       +           -0.19066493  
1200:       +           -0.0031519707
2000:       +           -0.60602456  

y1

Syntax

Surrounding text describes y1.png.

Purpose

y1 is based on cern.jet.math.Bessel. It returns the Bessel function of the second kind of order 1 of the float argument as a double.

For more information, see http://dsd.lbl.gov/~hoschek/colt/api/cern/jet/math/Bessel.html#y1(double).

Examples

Consider the query qColt25 in Example 10-172. Given the data stream SColtFunc with schema (c1 integer, c2 double, c3 bigint) in Example 10-173, the query returns the relation in Example 10-174.

Example 10-172 y1 Function Query

<query id="qColt25"><![CDATA[ 
    select y1(c2) from SColtFunc
]]></query>

Example 10-173 y1 Function Stream Input

Timestamp   Tuple
  10        1,0.5,8
1000        4,0.7,6
1200        3,0.89,12
2000        8,0.4,4

Example 10-174 y1 Function Relation Output

Timestamp   Tuple Kind  Tuple
  10:       +           -1.4714724 
1000:       +           -1.1032499 
1200:       +           -0.88294965
2000:       +           -1.780872  

yn

Syntax

Surrounding text describes yn.png.

Purpose

yn is based on cern.jet.math.Bessel. It returns the Bessel function of the second kind of order n of the double argument as a double.

This function takes the following arguments:

  • integer1: the n value order of the Bessel function.

  • double2: the x value to compute the Bessel function of.

For more information, see http://dsd.lbl.gov/~hoschek/colt/api/cern/jet/math/Bessel.html#yn(int,%20double).

Examples

Consider the query qColt26 in Example 10-175. Given the data stream SColtFunc with schema (c1 integer, c2 double, c3 bigint) in Example 10-176, the query returns the relation in Example 10-177.

Example 10-175 yn Function Query

<query id="qColt26"><![CDATA[ 
    select yn(c1,c2) from SColtFunc
]]></query>

Example 10-176 yn Function Stream Input

Timestamp   Tuple
  10        1,0.5,8
1000        4,0.7,6
1200        3,0.89,12
2000        8,0.4,4

Example 10-177 yn Function Relation Output

Timestamp   Tuple Kind  Tuple
  10:       +             -1.4714724  
1000:       +           -132.63406    
1200:       +             -8.020442   
2000:       +             -6.3026547E8