| Oracle Manufacturing: Subcontracting User's Guide Release 12.1 Part Number E13615-04 | Contents | Previous | Next |
This chapter covers the following topics:
Oracle Subcontracting application supports drop shipping of components from the Raw Material Supplier (RMS) to the Manufacturing Partner (MP) from planning to execution as follows:
All components of the outsourced assembly must be drop shipped from the RMS to the MP. Drop shipping of a few components of the outsourced assembly and normal shipping of the remainder to the MP is not supported.
Subcontracting components are drop shipped to all of the MPs if defined. Drop shipping the same component to one MP and normal shipment to another MP is not supported.
Both prepositioned and synchronized components can be drop shipped to the MP
Item Definition
For drop shipment, replenishment sales orders created for shipping the components from the OEM to the MP must have the source type as External. You can do this using two setup methods:
Method 1: Define Item Attribute Default Sales Order source type as External and define Order Management defaults so that this attribute is provided by default to the Sales Order line source type.
Method 2: Define Source Type as External in the Order Management Transaction Type window (this will be used for creating replenishment sales orders) and set Order Management Defaulting Rules to provide this source type by default from Order Management Transaction Type to the Sales Order line.
Also, define the Organization Item attribute Release Time Fence to Don’t Release Auto or Manual for subcontracting components in the OEM organization.
To define attribute Source Type in items
From the Inventory responsibility, navigate to the Master Item window.

Select the Order Management tab and set Default SO Source Type to External.
Save your work.
To define OM default rules
From the Order Management responsibility, navigate to the Defaulting Setup window.
Search for default attributes:
Application: Order Management
Entity: Order Line

In the Attribute region, search for Source Type.

Click Defaulting Rules. The Attribute Defaulting Rules window appears.

Set defaulting conditions and rules for defaulting the Source Type from Items. See: Oracle Order Management User's Guide for Order Management defaulting rules.
Shipping Lead Times from the RMS to the MP
Define the shipping Lead Time from the RMS to the MP in the shipping networks between the OEM and the MP. The application uses this lead time to simulate component procurement and to automatically receive drop ship components in the MP organization.
Others
All other setup steps remain the same.
The planning functions for drop ship components are similar to those for standard items. However, the planned orders of the components in the OEM organization cannot be transferred as purchase orders because of the release time fence setup in the OEM organization. Drop ship purchase orders are created from drop ship replenishment sales orders for the components at a later stage for procuring components from the RMS.
This diagram illustrates the planning process in a drop-shipment flow:

The process execution for Subcontracting is similar to that for standard items. Key aspects include:
Interlock Manager creates replenishment drop ship sales orders in the OEM organization for components (based on the item and order management defaulting rules setup.)
Drop ship purchase orders are created from replenishment drop ship sales orders. See: Drop Shipments, Oracle Order Management User's Guide
When the RMS ships the components, the OEM is notified. The OEM reports the drop ship purchase order of the components received, and it updates the drop ship sales orders to Shipped status
The Auto Receive Components concurrent request receives the components into the MP organization based on the shipping Lead Time set in shipping networks of the OEM and the MP.
Payments to the RMS and the MP are similar to payments to standard purchasing and subcontracting, respectively.

The details of the process are:
Planned Order of A in ASCP is released as a purchase order in the OEM.
Planned Order of B (prepositioned component) is released as a purchase order in the MP.
The Interlock Manager concurrent request:
Picks the replenishment purchase orders of pre-positioned components B in the MP, and creates a drop ship sales order for B in the OEM
Picks purchase orders of outsourced Assembly A in the OEM and creates:
WIP job for A in the MP organization
Replenishment purchase order for Synchronized ship component C in the MP and drop ship sales order for C in the OEM
Makes allocations for the discrete JOB component requirements
Drop ship purchase orders are created from the drop ship sales orders.
The RMS ships components to the MP, and the OEM creates logical drop ship purchase order receipts for components B and C in the OEM organization. This action sets the corresponding drop ship sales order line status of B and C to Shipped.
The Auto Receive Components concurrent request selects the component shipments in the OEM and creates purchase order receipts in the MP.
Purchase Orders of outsourced assemblies are received in the OEM organization.
The Process Receiving Transaction Processor selects assembly receipts in the OEM and completes the discrete job in the MP. This action also back flushes components B and C in the MP.
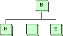
You can set up your system to outsource subassemblies at several levels of the final assembly. In the following example, A is the final assembly containing subassemblies D, B, and C. Using the Subcontracting application, you can set up your system to outsource all subassemblies and the final assembly or to outsource only a specified number of subassemblies and the final assembly. The only condition is that the outsourced assembly must return to the OEM from the MP before it is sent to the customer or sent to another MP for further processing.

Subcontracting supports the outsourcing of phantom assemblies. You can define phantom bills of material (BOM) for design control purposes, and you can use the same BOM structure for outsourcing. Interlock Manager compresses the phantom BOM to a single-level bill of material with all the regular components and processes, making them similar to standard assemblies.
In this diagram, D is a phantom assembly and all others are standard assemblies and components. Assembly B is outsourced. The same phantom BOM structure is defined both in the OEM and the MP organizations, and all other setup steps are the same.

When Interlock Manager processes the subcontracting order of outsourced assembly B, it also compresses phantom assemblies and then processes the assembly as it would any other assembly.
This diagram illustrates Assembly B after BOM Compression.

All other execution processes are the same.
You can also outsource assemblies with multi-level phantoms. Interlock Manager compresses the BOM and then processes them as standard BOM.
You can outsource lot and serial-controlled components and assemblies using Subcontracting. To do so:
Items are defined as lot or serial-controlled items in the OEM organization and as standard items in the MP organization.
Components are shipped in the OEM by lot and serial number. Components are received without lot and serial numbers in the MP because the MP is a simulation organization and there is no need to simulate with lot and serial numbers.
Outsourced assembly is received in the OEM, and lot and serial numbers are created for the assemblies.
Interlock Manager allocates replenishment sales orders (shipped using lot and serials) for the outsourced assemblies (received with lot and serials are created in OEM).
Subcontracting Workbench displays allocations and replenishment sales order allocated and consumed for the outsourced assembly. However, the workbench does not display the lot and serial numbers of components shipped and assemblies received. You can track these using allocations.
![]()
Copyright © 1996, 2010, Oracle and/or its affiliates. All rights reserved.