| Oracle® Fusion Middleware Oracle WebLogic Server SNMP管理ガイド 11g リリース1(10.3.4) B61639-02 |
|
![]() 前 |
![]() 次 |
WebLogic Server SNMPエージェントを構成して、管理対象リソース内で特定のしきい値または条件を検出し、1つまたは複数のSNMPマネージャにレポート(通知)を送信するようにできます。WebLogic Server SNMPエージェントでは、SNMPv1、SNMPv2、およびSNMPv3プロトコルに準拠する通知を生成できます。
以下の節では、WebLogic Server SNMPエージェントが生成できる通知について説明します。
WebLogic Server通知を構成する手順または削除する手順については、Oracle WebLogic Server管理コンソール・オンライン・ヘルプのSNMPを使用したWebLogic Serverのモニターに関する項を参照してください。
SNMPv2またはSNMPv3プロトコルを使用するSNMPエージェントでは、モニターされた属性が定義済みのしきい値に到達すると、2種類の通知のうちの一方を送信できます。
TRAP。エージェントは、TRAP通知を1回送信し、SNMPマネージャがメッセージを受信したと想定します。
INFORM。エージェントは、INFORM通知を送信し、SNMPマネージャからの、メッセージを受信したことを示すレスポンスを待機します。マネージャからの応答がなければ、エージェントは通知を再送します。
デフォルトでは、WebLogic Server SNMPエージェントはTRAP通知を送信します。INFORM通知を送信するようにSNMPエージェントを構成する方法については、Oracle WebLogic Server管理コンソール・オンライン・ヘルプのINFORM通知の構成に関する項を参照してください。
WebLogic Server SNMPエージェントでは、表3-1に記載されている通知を自動的に生成できます。これらの通知には、イベントをより詳細に記述するための名前と値のペア(変数バインド)が含まれているものもあります。
表3-1 自動的に生成される通知
| 通知 | 次の時点で生成されます | 変数バインド |
|---|---|---|
|
|
SNMPエージェントをホストするWebLogic Serverインスタンスが起動する。 |
なし |
|
|
停止していたWebLogic Serverインスタンスが起動する。 管理対象サーバー上のSNMPエージェントがこの通知を生成するのは、ホスト管理対象サーバーの起動時のみです。管理サーバー上のSNMPエージェントは、ドメイン内のどのサーバーが起動してもこの通知を生成します。 |
サーバーの起動時刻とサーバー名を識別する名前と値のペアが2つ含まれます。 |
|
|
起動していたサーバーが停止する。 管理対象サーバー上のSNMPエージェントがこの通知を生成するのは、ホスト管理対象サーバーの停止時のみです。管理サーバー上のSNMPエージェントは、ドメイン内のどのサーバーが停止してもこの通知を生成します。 |
サーバーの停止時刻とサーバー名を識別する名前と値のペアが2つ含まれます。 |
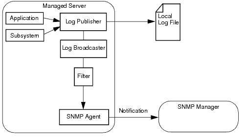
WebLogic Serverインスタンス上のサブシステムおよびデプロイ可能なモジュール(アプリケーションなど)は、ログ・メッセージを生成してステータスや他の操作データを通知します。
各サーバー・インスタンスは、これらのメッセージをローカル・ログ・ファイルに格納してから、JMX通知としてブロードキャストします。JMX通知をすべてリスニングするようにWebLogic Server SNMPエージェントを設定したり、以下のような条件に基づいてフィルタを設定したりできます。
メッセージの重大度
メッセージを生成したサブシステム名
サブシステムを実行するユーザーID
一意のメッセージID
メッセージ・テキスト内の文字列
たとえば、セキュリティ・サービスのメッセージのうち、重大度レベルがERROR以上のものだけがSNMPエージェントに送信されるように指定できます。SNMPエージェントを設定してメッセージをリスニングする方法については、Oracle WebLogic Server管理コンソール・オンライン・ヘルプのSNMPログ・フィルタの作成に関する項を参照してください。
メッセージを受信したエージェントでは、SNMPログ通知が生成されます(図3-1を参照)。
この節では、ログ・メッセージ通知によってSNMPマネージャに渡される、変数バインド・フィールドの名前と値のペアについて説明します。
trapTime :通知が生成された時刻。
trapServerName :ログ・メッセージを生成したサーバー・インスタンスの名前。
trapMachineName :サーバー・インスタンスが稼動するマシンの名前。
trapLogThreadId :ログ・メッセージのスレッドID。
trapLogTransactionId :ログ・メッセージのトランザクションID (存在する場合)。トランザクションIDは、トランザクションのコンテキスト内で記録されたメッセージに対してのみ生成されます。
trapLogUserId :ログ・メッセージのユーザーID。このユーザーIDから、ログ・メッセージの生成に使用されたセキュリティ・コンテキストが分かります。
trapLogSubsystem :ログ・メッセージを生成したサブシステム。
trapLogMsgId :ログ・メッセージのログ・メッセージID。
trapLogSeverity :ログ・メッセージのメッセージ重大度。
trapLogMessage :ログ・メッセージのテキスト。
ログ・メッセージおよびWebLogic Serverロギング・サブシステムの詳細は、『Oracle Fusion Middleware Oracle WebLogic Serverログ・ファイルの構成とログ・メッセージのフィルタ処理』の「WebLogicロギング・サービスについて」を参照してください。
WebLogicリソースの値が変更されたかどうかを定期的にチェックするには、JMXモニターを設定し、これらのモニターからの通知をSNMPエージェントがリスニングするように構成します。
JMXは、管理データを公開するためのJava EE仕様であり、WebLogic Server管理システムの基礎です。JMX仕様では、管理データおよび管理処理は、管理対象Bean (MBean)を通じて公開されます。WebLogic Server MIBの管理対象オブジェクトは、MBeanとMBean属性に対応します。「MIBモジュールとWebLogic Server MBeanデータ・モデルの関係」を参照してください。
JMXモニターは、WebLogic Server MBeanを指定された間隔でポーリングし、指定のイベント(しきい値への到達など)が発生した場合はWebLogic SNMPエージェントに通知を送ります。SNMPエージェントは通知を生成して、SNMPマネージャに送信します(図3-2を参照)。
監視する属性のデータ型に応じて、次の3種類のJMXモニターを構成できます(属性が戻すデータ型については、Oracle Fusion Middleware Oracle WebLogic Server MBeanリファレンスを参照)。
カウンタ・モニター
カウンタ・モニターは、Integerオブジェクト型として返されるMBean属性値を監視します。
属性がしきい値の範囲を超えた場合に通知が生成されるように指定できます。値がしきい値を超えると、モニターがしきい値をオフセット値の分だけ増加するように指定することもできます。監視されている属性が新しいしきい値を超えるたびに、しきい値は指定された最大許容しきい値に達するまでオフセット値の分ずつ増加します。
カウンタ・モニターの構成の詳細は、Oracle WebLogic Server管理コンソール・オンライン・ヘルプのカウンタ・モニターの作成に関する項を参照してください。
ゲージ・モニター
ゲージ・モニターは、整数または浮動小数点値として表されるMBean属性の変化を監視します。
属性が、高しきい値または低しきい値を超えた場合に通知が生成されるように指定できます。
ゲージ・モニターの構成の詳細は、Oracle WebLogic Server管理コンソール・オンライン・ヘルプのゲージ・モニターの作成に関する項を参照してください。
文字列モニター
文字列モニターは、Stringオブジェクトで表される属性の変化を監視します。
属性の値と指定した文字列が一致した場合に通知を生成するように指定することも、属性の値が指定した文字列とは異なる場合に通知を生成するように指定することもできます。
文字列モニターの構成の詳細は、Oracle WebLogic Server管理コンソール・オンライン・ヘルプの文字列モニターの作成に関する項を参照してください。
JMXモニターは、指定したしきい値または条件に対してポーリングを行います。値が指定のしきい値に到達したか、または指定の条件が発生した場合に、エージェントはモニター通知を生成します。WebLogic Server SNMPエージェントには、各モニター通知の変数バインドに、次のような名前と値のペアがあります。
trapTime :通知が生成された時刻。
trapServerName :通知を生成した属性値を持つローカル・サーバー。
trapMonitorType : CounterMonitor、StringMonitor、またはGaugeMonitorのいずれか。
trapMonitorThreshold :通知をトリガーしたしきい値のASCII表記。
trapMonitorValue :通知をトリガーした値のASCII表記。
trapMBeanName :モニター対象の属性を含むMBeanの名前。
trapMBeanType :モニター対象の属性を含むMBeanのタイプ。
trapAttributeName :通知をトリガーした値を持つ属性の名前。
JMXモニターを使用してWebLogic Serverリソースを定期的にポーリングし、特定のしきい値の範囲を超える変化が属性にないか調べることができますが、属性に何らかの変更があったらすぐに通知を送信するようにSNMPエージェントを構成することもできます。たとえば、JMXモニターを使用して、現在アクティブなJDBC接続の数に変化がないかどうかをポーリングします。アクティブな接続数がしきい値を超えた場合、SNMPエージェントは通知を送信できます。
属性変更通知を送信するようにSNMPエージェントを構成する方法については、Oracle WebLogic Server管理コンソール・オンライン・ヘルプの属性変更の作成に関する項を参照してください。
|
注意: 実行時MBeanの属性変更の作成はサポートされていません。サポートされているのは、構成MBean属性の属性変更通知のみです。 |
属性変更通知の変数バインドには、次のような名前と値のペアが含まれます。
trapTime :通知が生成された時刻。
trapServerName :管理サーバーの名前。
trapMBeanName :属性を含むMBeanの名前。
trapMBeanType :属性を含むMBeanのタイプ。
trapAttributeName :変更された構成属性の名前。
trapAttributeChangeType : ADD、REMOVE、UPDATEのいずれかの値。
trapAttriruteOldVal :変更前の属性の値。
trapAttributeNewVal - 変更後の属性の値。
すべてのWebLogic Server通知のオブジェクト識別子(OID)は、WebLogic Server OIDである.1.3.6.1.4.1.140.625で開始されます。
表3-2は、WebLogic Server通知のOIDにおいて次に来る値を示したものです。
表3-2 WebLogic Server通知のOID
| 値 | 次の時点で生成されます |
|---|---|
|
60 |
ログ通知を送信するためにユーザーが定義した基準と一致するメッセージが、サーバー・インスタンスによって記録される。 例: |
|
65 |
停止していたWebLogic Serverインスタンスが起動する。 管理対象サーバー上のSNMPエージェントがこの通知を生成するのは、ホスト管理対象サーバーの起動時のみです。管理サーバー上のSNMPエージェントは、ドメイン内のどのサーバーが起動してもこの通知を生成します。 これを 例: |
|
70 |
起動していたサーバーが停止する。 管理対象サーバー上のSNMPエージェントがこの通知を生成するのは、ホスト管理対象サーバーの停止時のみです。管理サーバー上のSNMPエージェントは、ドメイン内のどのサーバーが停止してもこの通知を生成します。 これを 例: |
|
75 |
ユーザーが定義したJMXモニターが、しきい値への到達またはイベントの発生を検出する。 例: |
|
80 |
ユーザーが選択した属性の値が変更された。 例: |
変数バインドが含まれる通知もあります。変数バインドのOIDについては、BEA-WEBLOGIC-MIB.asn1.zipを参照してください。