Refining chart data

For some charts, you can refine the data by selecting a displayed dimension value or by selecting multiple dimension values with the marquee selection tool.

Hovering over values in a chart displays a highlight and tooltip with the exact dimension and metric values for a section. Use this information to preview data in detail before further refining the chart.

To refine the chart data:

  1. To refine to a single value, click one of the following:
    • A single part of the visualization, such as a bar in a bar chart, a point in a scatterplot, or a wedge in a pie chart.

      For some types of visualizations, such as scatterplots, a single point represents multiple refinements.

    • A value on the category axis.
    • A value in the chart legend.
    The selected value or values are added to the Selected Refinements panel and the visualization updates to show the refinement. Some components may display additional cascading values, such as date/time values letting you refine further by month after selecting a year or geocode values letting you refine by region or state after selecting a country.
  2. To refine to a range of values:
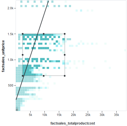
    1. Click and drag to select an area of the chart that contains multiple values (the marquee selection). For example:

      Selecting an area of a chart
      Optionally, click and drag the selected area to move it.
    2. Click the selected area to refine the chart and see a detailed visualization. For example:

      A detailed view of a marquee selection
  3. To negate a selected refinement, mouse over it in the Selected Refinements panel and click the Switch to negative / positive refinement icon. For example:

    Mousing over the Negative/Positive refinement toggle