このメッセージが表示される場合は、ブラウザでJavaScriptが無効になっているか、ブラウザがJavaScriptに対応していません。検索や目次など、このヘルプ・システムの機能を完全に使用するには、ブラウザでJavaScriptサポートを有効にしてください。ブラウザがJavaScriptに対応している場合は、JavaScriptの有効と無効を切り替える設定があります。JavaScriptを無効にする場合は、このメッセージに続いてヘルプ・トピックのコンテンツのみが表示されます。
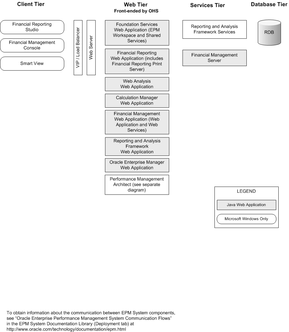
Financial Managementコンポーネント