@TREND
Essbaseの@TREND計算関数は、実測値への曲線当てはめに基づいて将来の値を計算します。
@TRENDプロシージャは、いくつかの観測値を考慮し、これらの観測値に基づいてプロセスの数学的モデルを構築(つまり、曲線に適合)し、将来の観測のために値を予測します。重みを使用して、特定の観測値に信頼性係数を割り当て、曲線当てはめのエラーを報告し、使用する予測方法(線形回帰など)を選択し、特定のデータ・フィルタを指定できます。
構文
@TREND (Ylist, [Xlist], [weightList], [errorList], [XforecastList], YforecastList, method[, method parameters] [, Xfilter1 [, parameters]] [, XfilterN [, parameters]] [, Yfilter1 [, parameters]] [, YfilterN [, parameters]])パラメータ
- Ylist
-
既知の観測値を含む式リスト。たとえば、一定期間の売上高。
- Xlist
-
オプション。基になる変数値を含む式リスト。たとえば、Ylistの売上高ごとに、Xlistに関連する期間の値を含められます。Xlistを指定しない場合、デフォルトの変数値は、Ylistの値の数を最大として、1、2、3などになります。
- weightList
-
オプション。Ylistのデータ・ポイントの重みを含む式リスト。線形回帰法のみ。weightListの値が
#MISSINGの場合、デフォルトは1です。線形回帰以外の方法の重みは無視されます。負の重みは絶対値に置き換えられます。 - errorList
-
オプション。Ylistのデータ・ポイントと線または曲線のデータ・ポイント(methodに指定)の違いを表すメンバー・リスト。
- XforecastList
-
オプション。予測が求められる基となる変数値を含む式リスト。XforecastListを指定しない場合、値は次のように想定されます。{(Xlist内の最後の値 + 1), (Xlist内の最後の値 + 2), ...}最大(Xlist内の最後の値 + YforecastList内の値の数)
Ylistが停止する場所から連続して予測する場合は、XforecastListを指定する必要はありません。予測期間を前に進める場合は、XforecastListを使用して新しい期間を指定します。
- YforecastList
-
予測値が配置されるメンバー・リスト。
- method
-
LR (線形回帰)、SES (単一指数平滑法)、DES (二重指数平滑法)、TES (三重指数平滑法)から選択します。メソッド・パラメータは、メンバー名でなく数値である必要があります。メソッド・パラメータは、次のいずれかになります。
-
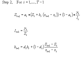
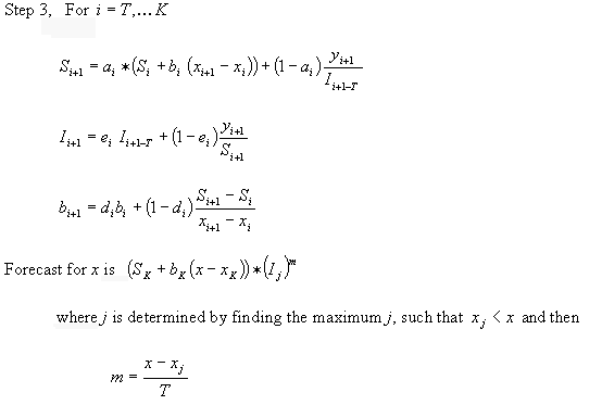
LR[,t]: 各データ・ポイントに割り当てられた可能な重みとオプションの季節調整を使用した標準線形回帰期間[t]。ここで、[t]は期間の長さです。一般に、重みはデフォルトで1に等しくなります。対応する観測値が重要な場合は重みを増やし、対応する観測値が外れ値または信頼できない場合は重みを減らすことができます。
-
SES[,c]: パラメータc (デフォルトc=0.2)を使用した単一指数平滑法。この方法は、単一のパラメータcを使用して、独自の重みシステムを使用します。このパラメータを増やすと、後の観測よりも初期の観測に重点が置かれます。
-
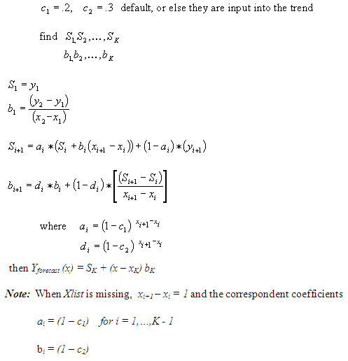
DES[[,c1],c2]: オプションのパラメータc1、c2 (デフォルトc1=0.2、c2=0.3)を使用した二重指数平滑法(Holt法)。これは、2つのパラメータの重みシステムと線形後続近似スキームです。最初のパラメータは、切片の重み分布を制御します。2番目のパラメータは、直線当てはめの勾配の重み分布を制御します。
-
TES[[[[,T],c1],c2],c3]: オプションのパラメータc1、c2、c3、T (デフォルトc1=0.2、c2=0.05、c3=0.1、T=1)を使用した三重指数平滑法(Holt-Winters法)。これは、3つのパラメータの重みシステムであり、乗法的な季節性コンポーネントを持つ線形モデルです。
-
- Xfilter1 ... XfilterN
-
オプション。次のフィルタ方法の1つ以上を使用して、Xlistをスケーリングします。
-
XLOG[,c]: シフトc (x' = log(x+c)) (デフォルトc=1)による対数変化)
-
XEXP[,c]: シフトc (x' = exp(x+c)) (デフォルトc=0)による指数関数的変化。
-
XPOW[,c]: 指数c (x' = x^c) (デフォルトc=2)による指数変化。
-
- Yfilter1 ... YfilterN
-
オプション。次のフィルタ方法の1つ以上を使用して、Ylistをスケーリングします。
-
YLOG[,c]: シフトc (y' = log(y+c)) (デフォルトc=1)による対数変化
-
YEXP[,c]: シフトc (y' = exp(y+c)) (デフォルトc=0)による指数関数的変化。
-
YPOW[,c]: 指数c (y' = y^c) (デフォルトc=2)による指数変化。
-
ノート
-
@TRENDは、計算スクリプト内でのみ使用でき、アウトライン式内では使用できません。
-
@TREND式をメンバーに関連付ける必要があります。
-
Ylist、Xlist、weightList、errorListには同じ数の値が含まれている必要があります。
-
XforecastList、YforecastListには同じ数の値が含まれている必要があります。
-
methodパラメータとfilterパラメータは数値のみである必要があります。関数とメンバー名は許可されていません。
-
@TRENDは、傾向の計算中に
#MISSING値を無視します。 -
季節的調整を伴うLR法を使用する場合、またはTES法を使用する場合、Essbaseは入力データに厳しい要件を課します。これらの法では、入力データに
#MISSING値を含めることはできません。また、Xlistを指定する場合、データは等距離である必要があり、間隔(ステップ)は期間T (T/5、T/2など)の部分全体である必要があります。XforecastListパラメータにも、間隔の倍数を含める必要があります。 -
より多くのオプションを指定して@TRENDを使用する別の例については、将来値の予測を参照してください。
-
メンバー・セット関数を使用してこの関数のメンバー・リストを生成する場合(@SIBLINGSなど)、正しい結果を保証するために、Essbaseが生成されたメンバー・リストをソートする順序を考慮してください。詳細は、使用しているメンバー・セット関数のヘルプ・トピックを参照してください。
-
@TRENDの計算には、次のアルゴリズムが使用されます。
季節的調整を伴う線形回帰のアルゴリズム

c_des_3.gif図の説明

c_lr2_1.gif図の説明

c_lr2_2.gif図の説明

c_lr2_3.gif図の説明

c_lr2_4.gif図の説明

c_lr2_5.gif図の説明
例
次の例は、Sample Basicデータベースに基づいています。1月から4月までの同じ売上データの傾向に基づいて、5月から12月までの売上データを予測します。使用される方法は、季節的調整なしの線形回帰です。
Sales(@TREND(Jan:Apr,,,,,May:Dec,LR););この例では、次のレポートが作成されます:
Actual Sales West
Colas
=====
Jan 2339
Feb 2298
Mar 2313
Apr 2332
May 2319
Jun 2318.4
Jul 2317.8
Aug 2317.2
Sep 2316.6
Oct 2316
Nov 2315.4
Dec 2314.8
Year 27817.2 関連項目









