Auto CF EOT Account States Vehicle Turn In Workflow Process

This workflow process inserts account states for the financial account, based on the turn-in status of the vehicle. It is triggered when a new record is saved in the Asset Turn In view.

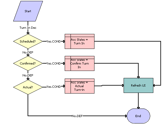
This workflow process is shown in the following image.

Auto CF EOT Account States Vehicle Turn In Workflow Process: This image is described in the surrounding text.

Workflow Process Description. This workflow process performs the following actions:

  1. Scheduled? This step checks the value of the Turn In Status for the new saved record and if it is equal to Scheduled, the next step would be Acc States equal to Turn In.

  2. Acc States equal to Turn In. This step inserts the Account States record with the value Turn In.

  3. Confirmed? This step checks the value of the Turn In Status for the new saved record and if it is equal to Confirmed, the next step would be Acc States equal to Confirm Turn In.

  4. Acc States equal to Confirm Turn In. This step inserts the Account States record with the value Confirm Turn-in.

  5. Actual? This step checks the value of the Turn In Status for the new saved record and if it is equal to Actual, the next step would be Acc States equal to Actual Turn In.

  6. Acc States equal to Actual Turn In. This step inserts the Account States record with the value Actual Turn-in.

  7. Refresh UI. This step refreshes the view to reflect the change in Account State.