Auto CF Schedule Inspection Workflow Process
This workflow process generates a list of vehicles that need to be scheduled for inspection.
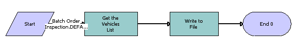
This workflow process is shown in the following image.

Workflow Process Description. This workflow process performs the following actions:
Get the Vehicles List. This step finds all the vehicles that need to be scheduled for inspection. Uses the EAI Siebel Adapter service to query for the vehicles.
Write to File. This step retrieves the list of vehicles from the previous step and writes that list to an XML file.