TNT Nightly 30 60 90 Day Pickup Workflow

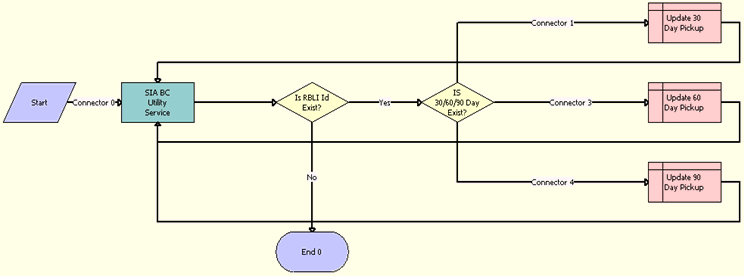
This workflow checks for quotes whose arrival dates are 30, 60, and 90 days from the current date. It updates the 30 Day Pick Up, 60 Day Pick Up, and 90 Day Pick Up fields of their associated room block line items. The following image shows this workflow.

This workflow is started once each day through a repeating job at a specified time.

TNT Nightly 30 60 90 Day Pickup Workflow: This image is described in the surrounding text.

Workflow Description. This workflow performs the following actions:

  1. SIA BC Utility Service. The workflow loops through all room block line items whose quote arrival dates are 30, 60, and 90 days from the current date.

  2. Is RBLI Id Exist? This decision step identifies the next step in the workflow. If no room block line items are available in Step 1, the workflow goes to End. If room block line items are available in Step 1, the workflow proceeds to Step 3.

  3. IS 30/60/90 Day Exist? If any of the room block line items exist, this workflow step checks whether the quote arrival date is 30, 60, or 90 days from the current date.

  4. Update 30 Day Pickup. If the quote arrival date is 30 days from the current date, this workflow step updates the 30 Day Pick Up field in the Room Block Line Items BC with the current Picked Up field value.

  5. Update 60 Day Pickup. If the quote arrival date is 60 days from the current date, this workflow step updates the 60 Day Pick Up field in the Room Block Line Items BC with the current Picked Up field value.

  6. Update 90 Day Pickup. If the quote arrival date is 90 days from the current date, this workflow step updates the 90 Day Pick Up field in the Room Block Line Items BC with the current Picked Up field value.

Associated Business Service Methods

The following table shows the step in this workflow that calls a business service method.

Workflow Step Business Service Method Called

SIA BC Utility Service

BCNextRecord