Attaching Groups to Trees
This section discusses:
Advantages of trees.
Important points about creating Variable Compensation trees.
Variable Compensation settings in PeopleSoft Tree Manager.
Effective-dated trees and Variable Compensation.
Deleting parent-child duplicates for rollup.
After you've defined groups, attach them to a Variable Compensation tree. Create any number of group trees and use any group ID in multiple trees. Define a tree with a single group ID or multiple group IDs. The tree structure enables you to arrange your groups in a hierarchy that shows parent-child relationships. Use as many nodes on the tree as you want, but the maximum number of levels is 12. Define all parent and child groups separately in Group Build pages.
With hierarchical trees, you can administer variable compensation plans in a number of ways:
For typical, business rollup reporting.
For rollup funding of groups at each level, from the top down.
The system uses the hierarchy to ensure that funding at lower levels does not exceed the allocation at the upper levels of the hierarchy.
For the inheritance of goals, goal attainments, and payout formula (target, minimum, and maximum).
Inheritance eases the setup for groups that have the same goals, attainments, or payouts as groups above them.
To provide user security that is inherited from parent to child groups when you access Variable Compensation pages.
Security inheritance eases the setup of user security for each level of the tree.
When you have defined groups in Group Build, use PeopleSoft Tree Manager to attach them to a Variable Compensation tree. For the most part, use standard procedures for creating hierarchical trees in PeopleSoft Tree Manager. However, remember these additional points when creating Variable Compensation trees:
All parent and child groups that you attach to the tree must be defined separately in Group Build.
If you used group build pages to copy your department structure to groups, also attach the groups to a VC tree and set up VC tree security.
When the Determine Eligibility/Proration process generates the groups, it eliminates parent-child duplicates. It does not eliminate sibling duplicates, which you can manage with the help of the Tree Member Overlap report.
In Variable Compensation transactions, reference groups through the tree name that you enter in PeopleSoft Tree Manager.
Use the proper Variable Compensation settings in PeopleSoft Tree Manager.
Follow certain conventions when you use PeopleSoft Tree Manager to create or maintain Variable Compensation trees. By definition, Variable Compensation trees are Detail trees.
Use the Tree Definition and Properties page (PSTREEDEFN) in PeopleSoft Tree Manager to specify the Variable Compensation tree settings. This section describes only the fields on the Tree Definition and Properties page that have specific settings for creating Variable Compensation trees.
Tree Definition and Properties
On the Tree Definition and Properties page, these fields require specific settings for Variable Compensation trees:
Term |
Definition |
|---|---|
Structure ID |
Select VC_GROUP_STRUCT from the available values. This indicates that the tree is a tree of groups created in Group Definition and the tree is for Variable Compensation purposes. Selecting VC_GROUP_STRUCT specifies that you are creating a Detail tree. |
Tree Name |
Use the name that you enter here to reference the tree in Variable Compensation pages. |
Effective Date |
The effective date of the tree must be equal to or later than the effective date of groups on the tree. |
Description |
Enter a description of the Variable Compensation Tree that you are defining. |
Category |
A high-level grouping under which you can organize your tree structures and tree definitions. This field is not specific to Variable Compensation trees. |
Use of Levels |
Select Not Used. |
See Also PeopleTools: Tree Manager
PeopleSoft trees are effective-dated. When you add a group to a tree, PeopleSoft Tree Manager ensures that the effective date of the group is equal to or before the tree's effective date.
For VC award calculation, the system uses the tree that is effective as of the plan's payout period end date. Workers who are members of groups still residing on the tree receive an award allocation. If you modify a tree during the payout period, the new tree has a later effective date than the original tree. If you modified the tree by deleting any one or more workers or groups, the system does not calculate an award for the deleted workers or groups because they are not part of the tree that is effective as of the payout period end date.
Note: If a new effective-dated tree causes workers or groups to "fall off" a tree during the payout period, the affected workers might still be eligible for an award if the plan is prorated. For prorated plans, the Consistency Report provides a list of workers who have fallen off a tree and the groups to which they belonged. The VC administrator or the workers' managers can use this information to ensure that these individuals get the appropriate awards.
For accurate rollup accounting, the Determine Eligibility/Proration process removes a member from the parent group when that member is also included in a child group. The system deletes the parent-child duplication of membership to avoid double accounting of allocation amounts for the duplicate member.
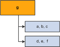
Example
This diagram illustrates how the parent-child duplicate deletion works. In the diagram, three groups containing workers a through f are created separately in Group Build and arranged in a parent-child tree hierarchy. The parent cell contains workers e, f and g. The first child cell contains workers a, b and cg, and the second child contains workers d, e and f.

Notice that workers e and f are members of both the parent group and a child group. The allocation amounts for these two workers would be accounted twice in rollup to the parent group if the system did not eliminate the duplication.
The Determine Eligibility/Proration process removes the duplicate workers (e and f) from the parent group.
This diagram illustrates what the parent-child tree hierarchy looks like after the Determine Eligibility/Proration process is run. As a result, the parent cell contains worker g only. The first child cell contains workers a, b and cg, whereas the second child contains workers d, e and f.

Note: After the process removes duplicate members from the higher groups, allocation rollup is free of double accounting.
Deleting Duplicates Doesn't Change Group Definitions
The groups in a VC Tree don't always retrieve the same content as if they were used on their own. The Delete Duplicates process is only within Variable Compensation and does not modify the Group Definition that was set up in Group Build.
If you generate a list of members for the group ID that is illustrated previously, the list always shows all three workers (e, f, and g) even after the Delete Duplicates process runs.
If you use the illustrated group ID for funding and allocation processing, the group appears to have only one member (g).