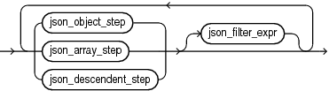
C 基本的なSQL/JSONパス式の構文の図
基本的なSQL/JSONパス式の構文について、構文図と対応するバッカス・ナウア記法(BNF)の構文説明を示します。
SQL/JSONパス式の基本的な構文は、「基本的なSQL/JSONパス式の構文」で説明されています。このトピックでは、構文図およびBNF説明の形式で情報を要約します。
図C-7 json_array_index

「図C-7 json_array_index」の説明
配列索引付けは、0 (ゼロ)を基準として行われます。そのため、integerはマイナスの整数ではありません(0、1、2、3、...)。
配列索引の形式last + integerは、Oracle SQLファンクションjson_transformでのみ使用するため、他の索引(範囲指定(json_array_index to json_array_indexという形式のjson_array_step)を含む)と組み合せて使用することはできません。
図C-17 json_scalar

「図C-17 json_scalar」の説明
ノート:
json_stringは、JSON文字列リテラルです。json_numberは、標準のJSON番号リテラルです。これは、10進数であり、符号付きである可能性と10進指数が含まれる可能性があります。「JSON構文およびJSON構文が表すデータ」を参照してください。
関連項目:
-
Oracleの構文図の詳細は、『Oracle AI Database SQL言語リファレンス』を参照してください
関連トピック
親トピック: 付録














