JSON_ID演算子
目的
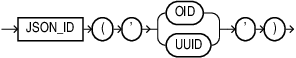
JSON_IDでは、単一の引数('OID'または'UUID'のどちらか)を指定し、指定したドキュメント識別子フィールドの値が作成されます。
JSON_IDでは、グローバルに一意であるSQL型RAWの値が返されます。返される値は、指定した引数によって決まります。文字列'OID'を指定した場合は、12バイトのRAW値が返されます。文字列'UUID'を指定した場合は、16バイトのRAW値が返されます。
関連項目:
『JSON開発者ガイド』のJSONコレクション。
