Beschreibung
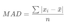
Die mittlere absolute Abweichung ist eine einfache Erweiterung der absoluten Abweichung. Dabei werden die absoluten Abweichungen summiert, und das Ergebnis wird durch die Anzahl Datensätze dividiert. Die mittlere absolute Abweichung ist eine Fehlerstatistik, die den durchschnittlichen Abstand zwischen jedem Paar aus tatsächlichen und angepassten Datenpunkten angibt.
Formel

Beispiel
