Descripción
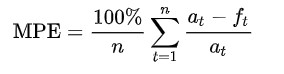
MPE es el error (o desviación) de porcentaje medio. Es una medida relativa que escala esencialmente el ME para que se muestre en unidades de porcentaje en lugar de en unidades de la variable. La principal ventaja de MPE es que le permite comparar varianzas entre datos con escala diferente.
Fórmula

donde at es el valor real de la cantidad de la que se realiza la previsión, ft es la previsión y n es el número de veces distintas para la que se realiza la previsión de la variable.
Ejemplo
