La méthode du score Z s'appuie sur la moyenne et sur l'écart-type d'un groupe de données pour mesurer la tendance centrale et la dispersion. Cette méthode est délicate, car la moyenne et l'écart-type sont très affectés par les valeurs aberrantes et ne sont donc pas robustes. En réalité, l'asymétrie induite par les valeurs aberrantes est l'une des raisons majeures pour lesquelles identifier et enlever ces valeurs aberrantes d'un ensemble de données. L'un des autres inconvénients de la méthode du score Z est son comportement étrange dans les petits ensembles de données. En effet, elle ne détecte jamais les valeurs aberrantes si l'ensemble de données compte moins de 12 éléments.
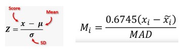
Cela a provoqué le développement d'une méthode du score Z modifiée, qui ne connaît pas les mêmes limitations. Cette méthode fonctionne bien pour les données asymétriques, ou les données dont la distribution n'est pas normale et pour lesquelles le nombre d'observations est moindre. MAD est la déviation moyenne absolue. L'autre avantage de la méthode du score Z modifiée est son utilisation de la médiane et de MAD plutôt que de la moyenne et de l'écart-type. La médiane et MAD sont des mesures robustes de la tendance centrale et de la dispersion, respectivement.
