Il metodo di punteggio z fa affidamento sulla deviazione mediana e standard di un gruppo di dati per misurare la tendenza centrale e la dispersione. Ciò può risultare problematico perché la deviazione mediana e standard sono fortemente influenzate dai valori anomali, non sono affidabili. In effetti, la distorsione apportata dai valori anomali è uno dei principali motivi per individuare e rimuovere i valori anomali da un set di dati. Un altro inconveniente del metodo di punteggio z è il suo comportamento anomalo in piccoli set di dati. In effetti, il metodo di punteggio z non rileverà mai un valore anomalo se il set i dati contiene meno di 12 elementi.
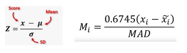
Questo ha motivato lo sviluppo di un metodo di punteggio z modificato, che non è soggetto alla stessa limitazione. Questo metodo funziona bene con i dati distorti che non vengono distribuiti normalmente e dove il numero di osservazioni è minore. MAD è la deviazione assoluta mediana. Un ulteriore vantaggio del metodo di puntezzio z modificato è il fatto che utilizza la mediana e il valore MAD anziché la deviazione mediana e standard. La mediana e il valore MAD sono misure affidabili rispettivamente di tendenza centrale e dispersione.
