Stazionarietà

Nella previsione con serie temporali ARIMA si presuppone che le serie temporali media, varianza e autocorrelazione siano stazionarie nel tempo. Questa caratteristica è denominata stazionarietà. Se una statistica di serie temporali presenta caratteristiche di non stazionarietà, è necessario adeguarla.

  • Non stazionarietà nella media: in questo caso la media non è costante ma devia lentamente. Questo problema può verificarsi sia per le serie stagionali che per quelle non stagionali e viene eliminato con la differenziazione delle serie. L'implementazione automatica di ARIMA di Predictor determina l'entità della differenziazione non stagionale necessaria per rendere stazionaria una serie utilizzando test KPSS (Kwiatkowski-Phillips-Schmidt-Shin) ripetuti con valori alfa appropriati. Per le serie stagionali vengono utilizzati test Canova-Hansen ripetuti con valori alfa appropriati.

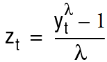
  • Non stazionarietà nella varianza: in questo caso, la serie temporale è eteroschedastica. La varianza dei dati intorno alla media cambia nel tempo. Questa non stazionarietà nella varianza viene rimossa applicando la trasformazione di Box-Cox, un tipo speciale di trasformazione di potenza:

    Trasformazione di Box-Cox, se lambda non è uguale a 0

    Trasformazione di Box-Cox, se lambda è uguale a 0

    Dove la serie originale è {xt}, la serie trasformata è {zt} e la costante della trasformazione di potenza è lambda (λ).

    Predictive Planning determina un valore appropriato di lambda con un algoritmo che utilizza le informazioni di stagionalità per dividere il set di dati in gruppi, quindi tenta di trovare un valore lambda che renda la varianza stazionaria in tutti i gruppi.

    Per gli utenti che desiderano esercitare il controllo sulla trasformazione di Box-Cox, Predictive Planning fornisce opzioni di trasformazione di potenza di utilizzo comune, ad esempio la trasformazione logaritmica (lambda = 0) o la trasformazione di radice quadrata (lambda = 0,5) e anche una trasformazione customizzata con un valore lambda selezionato dall'utente compreso tra –5 e +5 (estremi inclusi). Tuttavia, Predictive Planning impedisce l'utilizzo di valori lambda customizzati che possano dare origine a valori trasformati troppo grandi o troppo piccoli.