説明
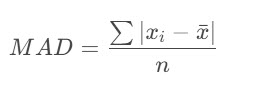
平均絶対偏差は、絶対差異の単純な拡張です。絶対差異を合計し、結果をレコード数で除算します。平均絶対偏差は、実際のデータ・ポイントと適合データ・ポイントの各ペア間の平均距離の誤差統計です。
式
例
Scripting on this page enhances content navigation, but does not change the content in any way.