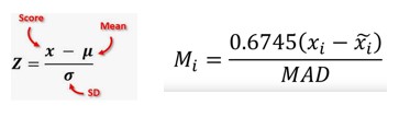
Zスコア手法では、データのグループの平均と標準偏差を利用して中心傾向と分散を測定します。これが問題となるのは、平均と標準偏差は外れ値の影響を大きく受け、堅牢ではないためです。実際、外れ値によってもたらされる誤差は、外れ値を見つけてデータセットから除去する最大の理由の1つとなっています。Zスコア手法のもう1つの短所は、小規模なデータセットでは異常な動作を示す点です。実際、データセットに含まれる項目が12個未満の場合、Zスコア手法で外れ値が検出されることはありません。
このことがきっかけとなって、同じ制限を受けない、変更されたZスコア手法が開発されました。この手法は、偏りがあるデータや正規分布ではないデータ、および観測数が少ない場合に適しています。MADは平均絶対偏差です。変更されたZスコア手法には、さらに、平均と標準偏差ではなく、中央値とMADを使用するという利点があります。中央値とMADは、それぞれ中心傾向と分散の堅牢な測度です。
