설명
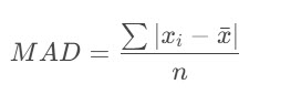
평균 절대 편차는 절대 차이의 간단한 확장입니다. 절대 차이를 합산하고 결과를 레코드 수로 나눕니다. 평균 절대 편차는 실제 및 최적 데이터 포인트 쌍 간의 거리 평균을 계산하는 오차 통계입니다.
공식
예
Scripting on this page enhances content navigation, but does not change the content in any way.