설명
MPE는 평균 백분율 오차(또는 편차)입니다. 기본적으로 변수 단위 대신 백분율 단위로 ME 스케일을 지정하는 상대 측정항목입니다. MPE의 주요 장점은 스케일이 서로 다른 데이터 간의 차이를 비교할 수 있다는 것입니다.
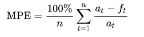
공식
여기서 at는 예측되는 수량의 실제 값이고, ft는 예측이고, n은 변수가 예측인 횟수입니다.
예
Scripting on this page enhances content navigation, but does not change the content in any way.