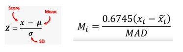
Z 점수 방법은 데이터 그룹의 평균 및 표준 편차를 사용하여 중심 집중 경향과 분산을 측정합니다. 이 방법은 평균과 표준 편차가 이상치의 영향을 많이 받고 강력하지 않기 때문에 문제가 됩니다. 실제로 이상치로 인한 편향은 데이터 세트에서 이상치를 찾아서 제거해야 하는 가장 큰 이유 중 하나입니다. Z 점수 방법의 또 다른 단점은 작은 데이터 세트에서 이상 동작을 보이는 것입니다. 실제로 Z 점수 방법은 데이터 세트의 항목 수가 12개 미만일 경우 이상치를 감지하지 않습니다.
이러한 단점 때문에 동일한 제한이 발생하지 않는 수정된 Z 점수 방법이 개발되었습니다. 이 방법은 편향된 데이터 또는 정규 분포되지 않고 관찰 수가 더 적은 데이터에서도 제대로 실행됩니다. MAD는 중앙 절대 편차입니다. 수정된 Z 점수 방법은 평균과 표준 편차 대신 중앙값과 MAD를 사용한다는 이점도 있습니다. 중앙값과 MAD는 각각 중심 집중 경향과 분산의 강력한 측정항목입니다.
