MAD (Mean Absolute Deviation)
Description
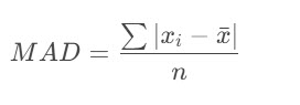
Mean Absolute Deviation is a simple extension of the absolute variance. It sums up the absolute variances and divides the result by the number of records. Mean absolute deviation is an error statistic that averages the distance between each pair of actual and fitted data points.
Formula

Example
