MPE (Mean Percentage Error)
Description
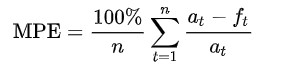
MPE is the mean percentage error (or deviation). It is a relative measure that essentially scales ME to be in percentage units instead of the variable’s units. The main advantage of MPE is that it lets you compare variances between differently scaled data.
Formula

where at is the actual value of the quantity being forecast, ft is the forecast, and n is the number of different times for which the variable is forecast.
Example
