JSON_ID Operator
Purpose
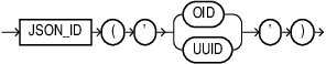
JSON_ID takes a single argument, one of 'OID' or 'UUID' to create a value for a document-identifier field that you provide.
JSON_ID returns a value of SQL type RAW that is globally unique. The value returned is determined by the argument that you provide. With string 'OID', a 12-byte RAW value is returned; with string 'UUID', a 16-byte RAW value is returned.
See Also:
JSON Collections of the JSON Developer's Guide.
