4.3.1.3 Payment Details Button
- Pay by Date
Pay By Date is arrived by adding Payment Delay Days to Due Date, for each schedule. The payment for the schedule is expected on this date. The actual Due date of the schedule is displayed at Schedule Details multiblock below.
- Projected Amount Due
Interest amount projected till maturity date, based on the last available rate.
- Due As Per Rate Fixing
Interest amount computed till the rate fixed date.
- RFR Effective Rate
Effective RFR is calculated based on the below formulae.

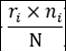
- Rate Factor
Rate/Compounding Factor is calculated based on the below formulae.

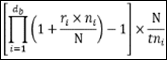
- Annualised CCR
Annualised Cumulative Compounded RFR (ACR) is calculated based on the below formulae.

- Unannualised CCR
Unannualised Cumulative Compounded RFR (UCR) is calculated based on the below formulae.

- NonCumulative CR
NonCumulative Compounded RFR (NCR) is calculated based on the below formulae.


Parent topic: Setting Loan Schedule Preferences