6.4.1 Processing for Discount Accrual
The following details are stored in the system during discount accrual:
- Outstanding arrears profit accrued
- Discounted profit to be accrued
- Premium to be accrued
- Discount to be accrued
- Profit adjustment accrued already
- Premium accrued till date
- Discount accrued till date
Note:
Catch-Up of discount accrual is done during an IB contract rollover also.The net discount accrual amount for a processing day is computed as follows:
All future cash flows are discounted to the processing day using the IRR effective as of
the processing day, and the net present value (NPV) of the contract as of the processing
day is obtained. The NPV is calculated based on the acquisition type as follows:
- If the acquisition type is ‘Discount’, NPV is given by: NPV = outstanding bill amount + outstanding arrears profit accrued + outstanding acquired profit – (discounted profit to be accrued – discounted profit accrued) – (discount to be accrued - discount accrued).
- If the acquisition type is ‘Premium’, the NPV is given by: NPV = outstanding bill amount + outstanding arrears profit accrued + outstanding acquired profit - (discounted profit to be accrued – discounted profit accrued) + (discount to be accrued - discount accrued).
- If the acquisition type is ‘Par’, the NPV is given by: NPV = outstanding bill amount + outstanding arrears profit accrued + outstanding acquired profit – (discounted profit to be accrued – discounted profit accrued) + (profit adjustment accrued already + profit adjustment accrued).
- Outstanding arrears accrued profit is only for arrears (bearing) type contracts. The discounted profit is only for discounted type contracts.
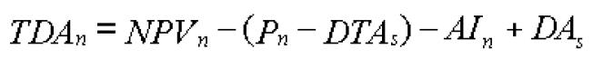
The till date discount accrual amount is computed using the following expression:
Where,
- TDAn represents the Till Date Discount Accrual for nth Accrual Date,
- NPVn, the Net Present Value of the contract as of nth Accrual Date,
- Pn, the Outstanding Principal of the contract as of nth Accrual Date
- DTAs, the Discount to be accrued as of current IRR Effective Date
- AIn, the Current Period Accrued Profit as of nth Accrual Date, and
- DAs, the Discount Accrued as of current IRR Effective Date
The difference between the ‘Till date discount accrual’ amount as of the previous
processing day and the ‘Till date discount accrual’ amount as of the current processing
day is the ‘Net Discount accrual’ amount that is realized as income as of the processing
day. The expression used would be
Where,
- NDAn represents the Accrual for nth Accrual Date,
- TDAn, the Till Date Discount Accrual for nth Accrual Date and
- TDAn-1, the Till Date Discount Accrual for n-1th Accrual Date.
Parent topic: Process for Discount Accrual