28.4 Unrealized Revaluation for Unsettled Buy and Sell Deals
This topic describes revaluation method for the unsettled buy and sell deals.
If the revaluation method for unrealized revaluation is set to ‘MTM-EIM’, the unrealized revaluation for the unsettled buy and sell deals will be done as of the revaluation date. The revaluation date is actually the Processing Date + Spot Days (this is arrived on the basis of the market for revaluation defined in the Security Online screen).
Revaluation profit/loss is found out per unit of security and scaled up to find out the profit/loss for the deal quantity. The coupon cash flows and the forward price between the revaluation date and the deal settlement date is discounted to the revaluation date. The YTM with effective date of the deal settlement date is used to compute the net present value.
The interest accrued for the period between the coupon date or the security start date and the revaluation date is excluded from the NPV obtained and the clean price is obtained. The NPV is computed on the basis of the following formula:
Case 1 – Revaluation Date <= Deal Settlement Date

Where,
Table 28-2 Values
| Term | Definition |
|---|---|
|
N |
Total number of Coupon cash flows between the deal settlement date and the revaluation date. |
|
Ci |
ith coupon |
|
y0 |
Periodic Deal YTM |
|
„¤d |
Coupon Date – Revaluation Date |
|
pi |
Reinvestment Period |
|
Ci |
Forward Flat Purchase Price |
|
Ci |
Deal Settlement Date – Revaluation Date |
|
Ci |
Accrued Interest as of the revaluation date |
Case 2 – CUM Deal or Revaluation date and settlement date are in different coupon periods
Table 28-3 Case 2 tables
| NPV | Net Present Value of the deal |
|---|---|
|
N |
Total number of Coupons between the revaluation date and the Redemption date excluding the first cash flow from the deal settlement date. |
|
Ci |
with coupon |
|
y0 |
Periodic Deal YTM |
|
Ñd |
Coupon Date – Revaluation Date |
|
P |
Reinvestment Period |
|
RP |
Redemption Price |
|
Ñdn |
Redemption Date – Revaluation Date |
|
AI |
Accrued Interest as of the revaluation date |
The Periodic Deal YTM is computed from the annual deal YTM based on the annualizing method specified in the security definition screen.
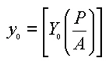
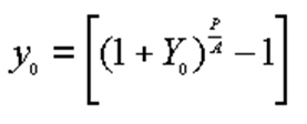
If the Annualizing method selected is Simple, the formula used for computing the periodic YTM for the deal is:

If you select Compound as the annualizing method the formula used for computing the annualYTM for the deal will be:

Table 28-4 Annualizing Compound
| Term | Description |
|---|---|
|
y0 |
Periodic Deal YTM |
|
Y0 |
Annual Deal YTM |
|
P |
Reinvestment Period |
|
A |
Day count Denominator Method specified at the security definition |
The computed NPV is marked against the market price and the revaluation profit /revaluationloss is also booked. The revaluation profit /loss is computed using the formula mentioned below.
Settled Deals
If Quantity Quotation Method is ‘Units’ the formula used for computing the Revaluation profit/ loss is:
If Quantity Quotation Method is ‘Nominal’ the formula used to compute the Revaluation profit/ loss is:
Where
Table 28-5 Annualizing Compound
| Term | Description |
|---|---|
|
Rn |
Revaluation Profit or Loss on the revaluation date |
|
MPn |
Market Price (Clean) on the revaluation date |
|
N |
Deal Quantity |
|
NPVn |
Net Present Value of the deal on the revaluation date |
The following examples illustrates the computation of revaluation profit / loss using the formula mentioned above.
Parent topic: Batch Process