18.3.1 Process Bonds and T-bill based on the YTM parameters
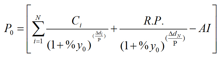
While processing a Bond, if the Price quote is not by ‘Yield to Maturity’, the YTM is computed based on the formula given below:

Where:
- P0 is the Purchase price of the Bond
- N is the Total number of coupons
- Ci is the Coupon payment for coupon i
- y0 is the Periodic YTM
- Y0 is the Annualized YTM
- A is the Day Count Method – Denominator
- n is the Coupons in a Year
- P is the Period of Reinvestment. If Null, defaulted to A/n
- R.P. is the Redemption Price
- AI is the Accrued Interest
- di is the Coupon Date ¡V Value Date
- dN is the Redemption Date – Value Date
The formula used to calculate the yield given price – for T-Bills (provided you have enabled the Use Bond Formula option), will be

Where
- P0 is the Purchase price of the T-Bill
- R.P. is the Redemption Price
- y0 is the Periodic YTM
- d is the Redemption Date ¡V Value Date
- A is the Day Count Method – Denominator
The following example explains the computation of YTM for T-Bills, using the formula mentioned above.
Table 18-8 Price Table
| Purchase Price | USD 90 |
|---|---|
|
Redemption Price |
USD 100 |
|
Day count method Numerator |
Actual |
|
Day count method Denominator |
365 |
|
Reinvestment Period |
183 days |
|
Redemption Date |
30-June-2003 |
|
Purchase Value Date |
31-Jan-2003 |
|
Annualizing Method |
Simple |
Applying the formula the periodic YTM is calculated as follows:
90 = (100/((1+y0)^(((30-June-2003)-(31-Jan-2003))/183)))
y0 = ((100/90)^ (183/((30-June-2003)-(31-Jan-2003)))) – 1
y0 = 0.1372 or 13.72%
Annual YTM is computed using the relationship given above.
Y0 = 0.14*(365/183)
Y0 = 0.2736 or 27.36%
Refer to the Batch Processing Chapter of this manual for detailed information on End-of-Day processing for Securities with YTM as the as method of accruing Discount or Premium
Parent topic: Specify the Yield Calculation Parameters for a Security