8.1.7.7.3 Current Business - Balance
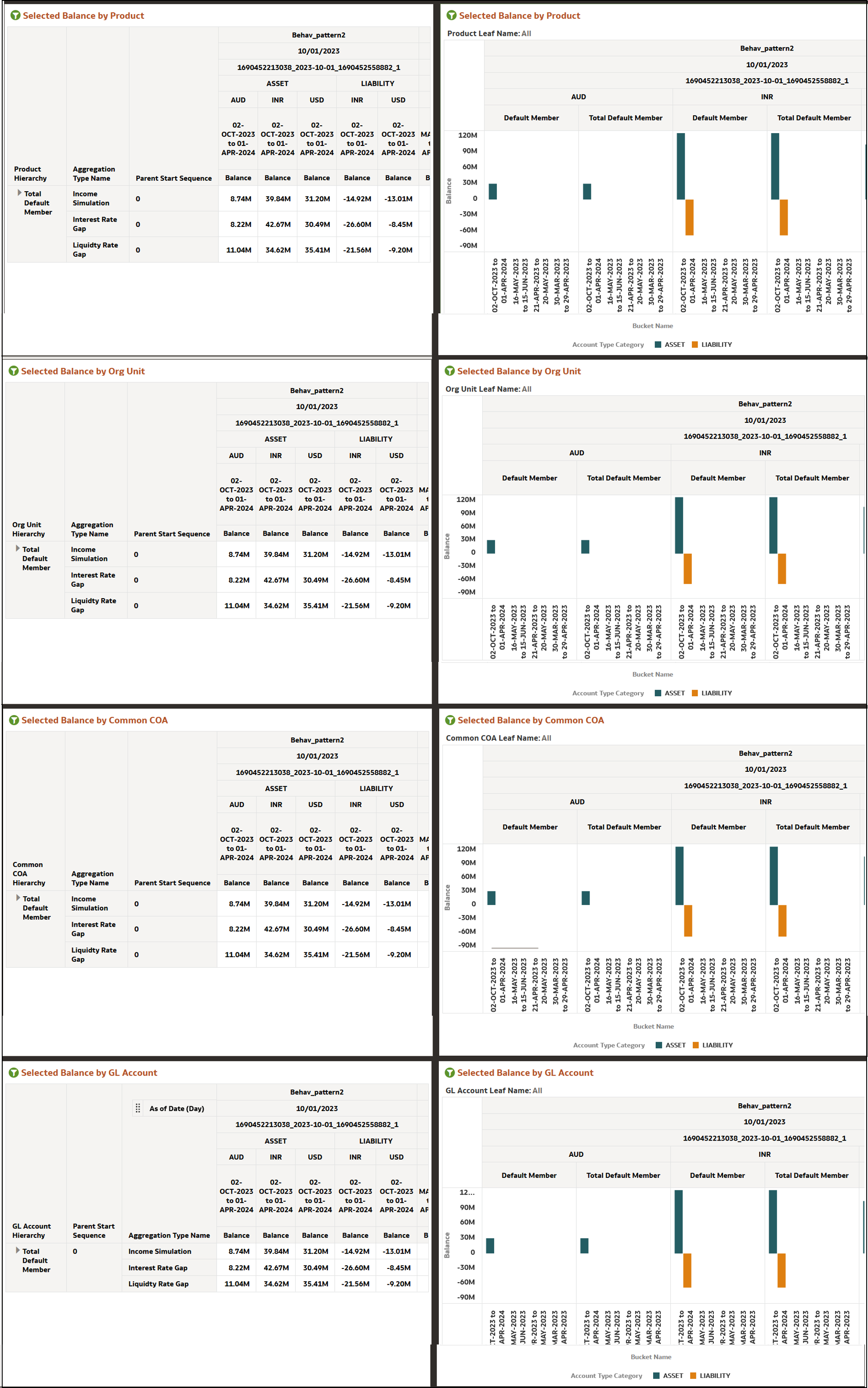
This report displays values related to current business Balances like Beginning balance, ending balance, Average balance etc.
Figure 8-216 Current Business - Balance

This report displays values related to current business Balances like Beginning balance, ending balance, Average balance etc.
Figure 8-216 Current Business - Balance
