6.3.13.2 Implied Forward Rate Calculation
An Implied Forward is that rate of interest that is predicted to be the spot rate in the future.
Figure 6-160 Implied Forward Rate Calculation Formula

If 1 year TP Rate is 6.00% and 3 month TP Rate is 2.00% we can calculate the 3 months forward implied 9-month rate as follows:
Figure 6-161 3-month Forward Implied 9-month Rate Calculation Formula

Therefore, the market is implying that in 3 months, 9 month TP Rate will be 7.36%.
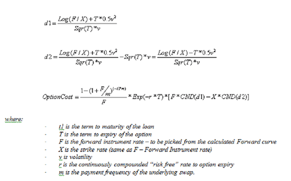
Rate Lock Option Cost Calculation: The Rate Lock Option Cost calculation uses a standard Black European swap pricing formula. This calculation is triggered by a Standard FTP Process and can be performed for both fixed-rate and adjustable-rate instruments. The following conditions must hold true for instrument records in the FSI_D_LOAN_COMMITMENTS table:
- commit_start_date <= as_of_date
- origination_date > as_of_date
Figure 6-162 Black Formula for calculating Rate Lock Option Cost

Table 6-41 Example: Option Cost Calculation
| Loan Face value - ORG_BOOK_BAL | 10,000,000 | |
| Tenor of Loan - ORG_TERM & ORG_TERM_MULT | 5 | Years |
| Locked TP Rate - TRANSFER_RATE | 8.20% | |
| Rate Lock Commitment period - COMMIT_TERM & COMMIT_TERM_MULT | 90 | days |
| Principal Payment frequency - PRIN_PMT_FREQ | 6 | Months |
| Volatility | 20% | |
| Risk-free rate to Option Expiry | 4% |
Table 6-42 Required Inputs
| Term to maturity of the loan | t1 | 5 | years |
| Term to the expiry of the rate lock option | T | 0.2465753 | years |
| Strike rate - Locked TP Rate (Forward TP Rate as on Loan Origination) | X | 8.20% | |
| Volatility | |||
| Details for Volatility - From the historical volatility curve that is loaded in Rate Management by the user, pick Volatility% with | |||
| EFFECTIVE DATE = COMMIT_START_DATE and LOOKUP TENOR = Tenor of the Loan. In Release 6.0, 2 Dimensional Volatility curve was introduced with Contract term and Expiry term as the 2 dimensions. | v | 20% | |
| Payment frequency of the loan | m | 6 | months |
| Continuously Compounded TP rate to option expiry | r | 4.08% | (See the calculation (1) below) |
| Implied Forward TP rate | F | 8.20% | (See calculation (2) below) |
Table 6-43 Intermediate Calculations
| (1) Continuously Compounded TP rate to option expiry | r | 4.08% |
| (2) Implied Forward TP rate | ||
| (FDD v1.1 - Implied Forward Rate Calculation - Section 6.1.2.1) | ||
| Inputs required - (Terminology for these inputs is according to Section 6.1.2.1) | F | |
| dt1 - Commitment term of Rate Lock | 0.246575 | years |
| dt1,t2 - Tenor of Instrument | 5 | years |
| dt2- Time length between Commitment Start Date and Loan maturity | 5.246575 | Years |
| St1- Spot Interest Rate as on COMMIT_START_DATE for Commitment Term of the Rate Lock (COMMIT_MAT_DATE – COMMIT_START_DATE) | 4% | |
| St2- Spot Interest Rate as on COMMIT_START_DATE for Time length between Commitment Start Date and Loan maturity | 8% | |
| Implied Forward Rate, F (Formula given above in explanation) | 0.0820119 | 8.20% |
Option Cost Calculation
Figure 6-163 Option Cost Calculation Formula
