ROR computations
When specifying data mining parameters for a run, you can specify that PRR and ROR computations be performed.
For information about PRR, see PRR computations. For information about data mining parameters, see specifying data mining parameters.
In two-dimensional data mining runs, the application computes the Reporting Odds Ratio (ROR) only for drug-event combinations. If you specify a dimension of 3 for the run, the application computes ROR only for the 2D pairs. This means that the ROR is computed for the drug-event combinations, but not for the combinations of one drug and two events, two drugs and one event, three drugs, or three events.
ROR computations
Note:
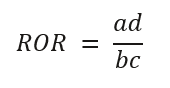
If you select a subset variable for the run, the applications computes ROR separately for each subset.Assume that observed counts of drug-event pairs are named a through d, as follows:
| Type of Event | Specific drug | All other drugs |
|---|---|---|
|
Specific event |
a |
b |
|
All other events |
c |
d |
- a is the number of cases with the specific event and the specific drug.
- b is the number of cases with the specific event but not the specific drug.
- c is the number of cases with the specific drug but not the specific event.
- d is the total number of cases with neither the specific event nor the specific drug.
The ROR for the combination of a particular drug and particular event is computed as:
Figure 4-4 ROR equation

The 90% confidence interval is defined by:
Figure 4-5 ROR and V equations

In cases where division by zero would arise, 0.5 is added to each of a, b, c and d.
Counts based on drug-event combinations
By default, the ROR computation counts the occurrence of cases. On the Data Mining Parameters page, if you clear Base counts on cases rather than drug-event combinations, a through d represents counts of drug-event combinations. If a case has more than one drug or event, the case supplies several drug-event combinations to the computation. Oracle does not recommend this option, especially if data mining results include custom terms or Standardized MedDRA Queries (SMQs).
If you select stratification variables for the data mining run, the application automatically checks Base counts on cases instead of drug-events combinations and cannot be cleared.
Stratified ROR computations
If you select stratification variables for the data mining run, then on the Data Mining Parameters page you have the option to check Use stratified computation for PRR and ROR. The option, by default, is not enabled and Oracle does not recommend enabling unless under certain circumstances such as a small number of strata and/or of enough cases across strata for the PECs in question. For stratified computation of ROR assume that a, b, c, and d are counts of drug-event pairs for a given stratum.
Figure 4-6 ROR and R, S, T equations

The 90% confidence interval is defined by:
Figure 4-7 ROR05 and ROR95 equations

where:
Figure 4-8 V, P, Q equation

Note:
In cases where division by zero would arise, 0.5/K is added to each of a, b, c and d for each stratum, where K is the number of strata.Reference
Robins J, Greenland S, Breslow N. A General Estimator for the Variance of the Mantel-Haenszel Odds Ratio. American Journal of Epidemiology 1986; 124: 719-23.
Parent topic: Reference