7One View 报告 - 人力资本管理

One View 雇员地址名册查询 (P080110)

可从“雇员查询 (G05BEEI1)”菜单访问 One View 雇员地址名册查询应用程序 (P080110)。使用 One View 雇员地址名册查询可报告雇员和地址名册信息。One View 雇员地址名册查询使用 One View 雇员信息地址名册业务视图 (V080110A),其中包括来自“雇员主文件信息”文件 (F060116)、“地址名册主文件”(F0101) 及“地址名册 - 重要联系人”文件 (F0111) 的栏。此外,该应用程序中还包括来自“地址名册 - 电话号码”文件 (F0115)、“电子地址”文件 (F01151) 及“按日期的地址”文件 (F0116) 的栏。

本应用程序提供大量数据,并可极为灵活地生成各种类型的报告。从超过 350 个栏中选择,以报告包括雇员详细信息、地址、电话、电子邮件及联系人信息在内的雇员和地址名册信息。使用随附的报告,One View 雇员地址名册查询可提供多种用途的报告。例如按公司和经营单位的雇员以及按地址名册类别码的雇员等其他报告。

One View 雇员地址名册查询随附一些预定义的报告。这些报告是:按国家/地区的雇员、按主管的雇员联系人信息及紧急联系人。使用这些随附的报告,您可以访问关键雇员和地址名册信息以做运营或分析之用。

处理选项

处理选项使您可以指定程序和报告的缺省处理方式。

电话详细信息

1. 使用缺省电话类型

指定是否使用 UDC (01/PH) 中的缺省电话类型值。此处理选项设置为“1”时,请将处理选项“最多输入 3 种电话类型”中的第一个电话类型字段留空。

值包括:

空白:不使用缺省电话类型值。

1:使用缺省电话类型值。

2. 最多输入 3 种电话类型

指定最多三个可指示地点或电话号码的使用之用户定义的代码 (01/PH)。

值包括:

空白:办公电话号码

传真:传真电话号码

家庭:家庭电话号码

电子邮件详细信息

1. 最多输入 3 种电子邮件地址类型

指定最多三个可指示电子地址的类型之用户定义的代码 (01/ET)。

值包括:

E:电子邮件地址 (name@domain)

I:Internet 地址(统一资源定位器,或 URL)

W:内部地址(工作中心)

特殊处理

缺省情况下,此应用程序包括雇员地址、电话号码及电子邮件详细信息。使用“仅显示”复选框以仅包括所选项的信息。

报告

One View 雇员地址查询应用程序随附的报告是:

  • 紧急联系人

  • 按主管的雇员联系人信息

  • 按国家/地区的雇员

紧急联系人

此报告包含一个包括雇员及其紧急联系人信息的表格。

按主管的雇员联系人信息

此报告以表格的格式包含按主管的雇员联系人信息。报告包括雇员电话号码和电子邮件信息。

该表格包含回溯功能,如下表所述:

功能

包含回溯链接的表格栏

雇员号

传递给应用程序的表格栏

雇员号

调用的应用程序

地址名册 (P01012)

调用的屏幕

W01012A

调用的版本

ZJDE0001

按国家/地区的雇员

此报告包含以下组件:

  • 按国家/地区的雇员计数(饼图)

  • 雇员列表(明细表)

以下报告通过查询公司内的有效雇员生成。

按国家/地区的雇员报告。 按国家/地区的雇员报告。

One View 纳税历史记录查询 (P07136)

可从“美国历史记录查询 (G07BUSP14)”菜单访问 One View 纳税历史记录查询应用程序 (P07136)。使用 One View 纳税历史记录查询可分析汇总的纳税历史记录。One View 纳税历史记录查询使用 One View 纳税历史记录业务视图 (V06136C),其中包括来自 F060116 和“雇员纳税历史记录”文件 (F06136) 的栏。本应用程序提供大量数据,并可极为灵活地生成各种类型的报告。从业务视图的大约 300 个栏中选择,以按税务 ID、公司、经营单位、税区及税类型等元素分析纳税历史记录。使用随附的报告,One View 纳税历史记录查询可提供多种用于分析纳税历史记录的报告。

One View 纳税历史记录查询随附一些预定义的报告。这些报告是:年初至今 (YTD) 的工资和纳税登记、按季度的纳税历史记录以及按季度的社会保险和医疗保险税。这些随附的报告包括按税区和税类型的每季度和年初至今余额等纳税信息。

处理选项

本应用程序无任何处理选项。

特殊处理

One View 纳税历史记录应用程序使用以下特殊处理:

  • 提供与 One View PDBA 历史记录应用程序的“表单接口”。

  • 对于每一个纳税历史记录,此应用程序按照“工资总额”减去“可免税额”与“超额”部分计算每个月的应税总额。

  • 对于每一个纳税历史记录,此应用程序计算每季度和年初至今的“工资总额”、“可免税额”、“超额”、“应税总额”以及“税”额。

报告

One View 纳税历史记录查询应用程序随附的报告是:

  • 年初至今的工资和纳税登记

  • 按季度的社会保险和医疗保险税

  • 按季度的纳税历史记录

年初至今的工资和纳税登记

“年初至今的工资和纳税登记”报告包含按年度、公司及纳税历史记录类型的所有税区和税区类型之全面的年初至今雇员工资和纳税信息。此报告包含以下组件:

  • 年初至今的雇员付税(条形图)

  • 年初至今的雇主付税(条形图)

  • 年初至今的联邦税(饼图)

  • 年初至今的州税(饼图)

  • 按公司的年初至今的工资和纳税(表格)

  • 年初至今的工资和纳税汇总(表格)

此报告包含回溯功能,如下表所述:

功能

包含回溯链接的表格栏

税类型

传递给应用程序的表格栏

年份、公司、税号、税历史类型、雇员号、税区、税类型

调用的应用程序

税历史 (P070920)

调用的屏幕

W070920C

调用的版本

ZJDE0001

按季度的社会保险和医疗保险税

“按季度的社会保险和医疗保险税”报告包含按年度、公司及纳税历史记录类型的社会保险和医疗保险税类型之每季度雇员工资和纳税信息合计。此报告包含以下组件:

  • 雇员社会保险和医疗保险税(条形图)

  • 雇员社会保险和医疗保险税(条形图)

  • 按公司的社会保险和医疗保险税(表格)

“按公司的社会保险和医疗保险税”表格组件包含回溯功能,如下表所述:

功能

包含回溯链接的表格栏

税类型

传递给应用程序的表格栏

年份、公司、税号、税历史类型、雇员号、税区、税类型

调用的应用程序

税历史 (P070920)

调用的屏幕

W070920C

调用的版本

ZJDE0001

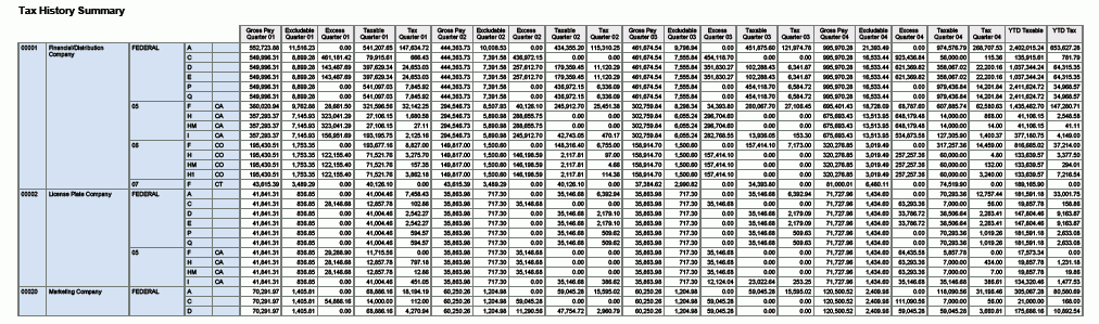
按季度的纳税历史记录

“按季度的纳税历史记录”报告包含按年度、公司及纳税历史记录类型的所有税区和税区类型之每季度雇员工资和纳税信息合计。此报告包含以下组件:

  • 按季度的联邦税趋势(条形图)

  • 按季度的州税趋势(水平条形图)

  • 按公司的纳税历史记录(表格)

  • 纳税历史记录汇总(表格)

“按公司的纳税历史记录”表格组件包含回溯功能,如下表所述:

功能

包含回溯链接的表格栏

雇员号

传递给应用程序的表格栏

雇员号、公司

调用的应用程序

税历史 (P070920)

调用的屏幕

W070920A

调用的版本

ZJDE0001

以下报告通过查询特定年度的所有雇员和所有税区与税类型之纳税历史记录生成。

按季度的纳税历史记录报告。 按季度的纳税历史记录报告。 按季度的纳税历史记录报告。 按季度的纳税历史记录报告。

One View 加拿大纳税历史记录查询 (P7713)

可从“加拿大历史记录查询 (G77BCAP14)”菜单访问 One View 加拿大纳税历史记录查询应用程序 (P7713)。使用 One View 加拿大纳税历史记录查询可分析汇总的纳税历史记录。One View 加拿大纳税历史记录查询使用 One View 加拿大纳税历史记录 (F7713-F060116) 业务视图 (V7713B),其中包括来自 F060116 和“纳税历史记录”文件 (F0713) 的栏。本应用程序提供大量数据,并可极为灵活地生成各种类型的报告。从业务视图的大约 300 个栏中选择,以按税务 ID、公司、经营单位、税区及税类型等元素分析不同时期(例如月度、季度和年度)的纳税历史记录。使用随附的报告,One View 加拿大纳税历史记录查询可提供多种用于分析联邦税或省税纳税历史记录的报告。

One View 加拿大纳税历史记录查询随附一些预定义的报告。这些报告是:加拿大年初至今的工资和纳税登记以及按季度的加拿大纳税历史记录。这些随附的报告包括雇员付税和雇主付税之每季度和年初至今余额等纳税信息。

处理选项

本应用程序无任何处理选项。

特殊处理

One View 加拿大纳税历史记录查询执行以下特殊处理:

  • 提供与 One View PDBA 历史记录查询的“表单接口”。

  • 对于每一个纳税历史记录,此应用程序按照“工资总额”减去“可免税额”与“超额”部分计算每个月的应税总额。

  • 对于每一个纳税历史记录,此应用程序计算每季度和年初至今的“工资总额”、“可免税额”、“超额”、“应税总额”以及“税”额。

报告

One View 加拿大纳税历史记录查询应用程序随附的报告是:

  • 按季度的加拿大纳税历史记录

  • 加拿大年初至今的工资和纳税登记

按季度的加拿大纳税历史记录

“按季度的加拿大纳税历史记录”报告包含按年度、公司及纳税历史记录类型的所有税区和税类型之每季度雇员工资和纳税信息合计。此报告包含以下组件:

  • 按季度的联邦税趋势(条形图)

  • 按季度的省税趋势(条形图)

  • 按公司的纳税历史记录(表格)

  • 纳税历史记录汇总(表格),其中包括“税区”、“税类型”及“法定代码”的描述表。

加拿大年初至今的工资和纳税登记

“加拿大年初至今的工资和纳税登记”报告包含按年度、公司及纳税历史记录类型的所有税区和税类型之全面的年初至今雇员工资和纳税信息。此报告包含以下组件:

  • 年初至今的雇员付税(条形图)

  • 年初至今的雇主付税(条形图)

  • 年初至今的联邦税(饼图)

  • 年初至今的省税(饼图)

  • 按公司的年初至今的工资和纳税(表格)

  • 年初至今的工资和纳税汇总(表格),其中包括“税区”、“税类型”及“法定代码”的描述表。

此报告包含回溯功能,如下表所述:

功能

包含回溯链接的表格栏

雇员号

传递给应用程序的表格栏

税区

调用的应用程序

按月份的工资和纳税 (P779901)

调用的屏幕

W779901D

调用的版本

ZJDE0001

以下报告通过查询特定年度中所有公司的雇员和所有税区与税类型之纳税历史记录生成。

加拿大年初至今的工资和纳税登记报告。 加拿大年初至今的工资和纳税登记报告。 加拿大年初至今的工资和纳税登记报告。 加拿大年初至今的工资和纳税登记报告。 加拿大年初至今的工资和纳税登记报告。 加拿大年初至今的工资和纳税登记报告。

One View PDBA 历史记录查询 (P07146)

可从“美国历史记录查询 (G07BUSP14)”菜单或“加拿大历史记录查询 (G77BCAP14)”菜单访问 One View PDBA 历史记录查询应用程序 (P07146)。使用 One View PDBA 历史记录查询可分析工资类型、扣减、福利及应计 (PDBA) 的汇总历史记录。One View PDBA 历史记录查询使用 One View PDBA 历史记录业务视图 (V06146D),其中包括来自 F060116、“雇员业务记录历史记录”文件 (F06146) 及“薪资业务记录常量”文件 (F069116) 的栏。本应用程序提供大量数据,并可极为灵活地生成各种类型的报告。从业务视图的超过 180 个栏中选择,以按公司、经营单位及 PDBA 号等元素分析 PDBA 历史记录。使用随附的报告,One View PDBA 历史记录查询可提供多种用于分析工资类型、扣减、福利及应计之汇总历史记录的报告。

One View PDBA 历史记录查询随附一些预定义的报告。这些报告是:年初至今的薪资、预扣、福利和应计汇总历史记录、年初至今的 401k 报告及“到期余额”报告。这些随附的报告包括按 PDBA 号、雇员和雇主年初至今的 401k 贡献以及到期的雇员余额之每月和年初至今余额等 PDBA 信息。

处理选项

本应用程序无任何处理选项。

特殊处理

One View PDBA 历史记录查询提供了与 One View 纳税历史记录查询和 One View 加拿大纳税历史记录查询的“表单接口”。

对于每一个记录,此应用程序计算 1、2、3、4 季度合计以及年初至今的工资总额和小时数合计。这些计算显示在季度和年初至今合计栏中。

报告

One View PDBA 历史记录查询应用程序随附的报告是:

  • 年初至今的 401K 报告

  • 年初至今的薪资、预扣、福利和应计汇总历史记录

  • 到期余额

年初至今的 401K 报告

“年初至今的 401K 报告”提供年初至今的 401k 雇员扣减和雇主福利汇总,包括雇员年初至今的合计和按 DBA 的合计。此报告包含以下组件:

  • 按 PDBA 的贡献(条形图)

  • 按 PDBA 的贡献(表格)

  • 雇员和雇主贡献百分比(饼图)

  • 按雇员的贡献(表格)

“按雇员的贡献”表格组件包含回溯功能,如下表所述:

功能

包含回溯链接的表格栏

雇员号

传递给应用程序的表格栏

雇员号、PDBA 码、公司、年份、税历史类型、税号

调用的应用程序

PDBA 历史记录 (P079951)

调用的屏幕

W079951B

调用的版本

ZJDE0001

年初至今的薪资、预扣、福利和应计汇总历史记录

“年初至今的薪资、预扣、福利和应计汇总历史记录”报告提供按年度和公司及月度余额和年初至今合计之年初至今的工资类型、扣减、福利及应计的汇总。

此报告包含以下组件:

  • 年初至今的金额 - 工资类型(条形图)

  • 工资类型(表格)

  • 年初至今的金额 - 扣减(条形图)

  • 扣减(表格)

  • 年初至今的金额 - 福利(条形图)

  • 福利(表格)

  • 年初至今的金额 - 应计(条形图)

  • 应计(表格)

“应计”表格组件包含回溯功能,如下表所述:

功能

包含回溯链接的表格栏

雇员号

传递给应用程序的表格栏

雇员号、PDBA 码、公司、年份、税历史类型、税号

调用的应用程序

PDBA 历史记录 (P079951)

调用的屏幕

W079951B

调用的版本

ZJDE0001

到期余额

“到期余额”报告是具有到期金额的雇员之按 DBA 的报告。此报告包含以下组件:

  • 按公司的到期余额(表格)

  • 前 10 个具有到期金额的雇员(条形图)

  • 按 PDBA 的总额(条形图)

  • 按 PDBA 的到期总额(表格)

“按 PDBA 的到期总额”表格组件包含回溯功能,如下表所述:

功能

包含回溯链接的表格栏

雇员号

传递给应用程序的表格栏

雇员号、PDBA 码、公司、年份、税历史类型、税号

调用的应用程序

PDBA 历史记录 (P079951)

调用的屏幕

W079951B

调用的版本

ZJDE0001

以下报告通过查询特定年度的所有雇员之 PDBA 历史记录生成。

到期余额报告。 到期余额报告。 到期余额报告。 到期余额报告。 到期余额报告。

One View 工资历史记录明细查询 (P071862)

可从“美国历史记录查询 (G07BUSP14)”菜单或“加拿大历史记录查询 (G77BCAP14)”菜单访问 One View 工资历史记录明细查询应用程序 (P071862)。使用 One View 工资历史记录明细查询可分析工时记录卡历史记录业务记录。One View 工资历史记录明细查询使用 One View 工资历史记录明细 (F0618-F060116) 业务视图 (V0618T),其中包括来自 F060116 和“雇员业务记录历史记录”文件 (F0618) 的栏。本应用程序提供大量数据,并可极为灵活地生成各种类型的报告。从业务视图的超过 250 个栏中选择,以按公司、经营单位、主管、工作日期或工资类型等元素分析工时记录卡历史记录。使用随附的报告,One View 工资历史记录明细查询可提供多种用途的报告。例如“工资历史记录趋势”、“按工作的再收费分析”以及“按主管的已发生加班”等其他报告。

One View 工资历史记录明细查询随附一些预定义的报告。这些报告是“按经营单位的收入”、“按工资类型的收入”、“休假趋势”、“加班工资”以及“工资历史记录分析”。使用这些随附的报告,您可以查看薪资收入跨公司、经营单位及工资类型的分配情况。您还可以查看工资类型(例如加班和带薪休假)发生的时间和地点以分析成本和即期趋势。通过提供按公司、经营单位及工资类型的相同数据之多个视图,以及工资类型(例如加班和请假)的比较和趋势,“工资历史分析”报告为您提供更广泛的业务记录视图。

处理选项

本应用程序无任何处理选项。

特殊处理

对于“工资类型乘数”大于一的加班工资工时记录卡,此应用程序包括两个附加的计算栏,将“工资总额”分为“加班普通工资”和“加班奖金工资”。在计算中,将乘数大于一的工资部分视为加班奖金工资。

提供与 One View DBA 历史记录明细查询的“表单接口”。

报告

One View 工资历史记录明细查询应用程序随附的报告是:

  • 按经营单位的收入

  • 按工资类型的收入

  • 加班工资

  • 休假趋势

  • 工资历史记录分析

按经营单位的收入

此报告包含按经营单位的收入及按工作日期的雇员明细。此报告包含以下组件:

  • 按经营单位的收入合计(条形图)

  • 按经营单位的收入百分比(饼图)

  • 按经营单位的收入明细(表格)

“按经营单位的收入明细”表格组件包含回溯功能,如下表所述:

功能

包含回溯链接的表格栏

雇员号

传递给应用程序的表格栏

雇员 BI、PDBA 码、年份

调用的应用程序

PDBA 历史记录 (P079951)

调用的屏幕

W079951E

调用的版本

ZJDE0001

按工资类型的收入

此报告包含按工资类型的收入及按工资类型和工作日期的雇员明细。此报告包含以下组件:

  • 按工资类型的收入合计(条形图)

  • 按工资类型的收入百分比(饼图)

  • 按经营单位的工资类型收入汇总(表格)

  • 按工资类型的收入明细(表格)

“按工资类型的收入明细”表格组件包含回溯功能,如下表所述:

功能

包含回溯链接的表格栏

雇员号

传递给应用程序的表格栏

雇员号、PDBA 码、年份

调用的应用程序

PDBA 历史记录 (P079951)

调用的屏幕

W079951E

调用的版本

ZJDE0001

加班工资

此报告包含按加班类型和工作日期的雇员加班工资明细。此报告包含以下组件:

  • 加班 - 普通工资和奖金工资(条形图)

  • 加班 - 普通工资和加班工资的百分比(饼图)

  • 加班 - 普通工资和奖金工资明细(表格)

“加班 - 普通工资和奖金工资明细”表格组件包含回溯功能,如下表所述:

功能

包含回溯链接的表格栏

雇员号

传递给应用程序的表格栏

雇员号、PDBA 码、年份

调用的应用程序

PDBA 历史记录 (P079951)

调用的屏幕

W079951E

调用的版本

ZJDE0001

休假趋势

此报告包含按工作日以小时和百分比计的休假次数,以及按工作日期和休假类型的支持雇员明细。此报告包含以下组件:

  • 按工作日的休假小时数合计(条形图)

  • 按工作日的休假小时数百分比(饼图)

  • 按工作日的休假小时数汇总(表格)

  • 休假明细(表格)

“休假明细”表格组件包含回溯功能,如下表所述:

功能

包含回溯链接的表格栏

雇员号

传递给应用程序的表格栏

雇员号

调用的应用程序

休假趋势查询 (P076310)

调用的屏幕

W076310A

调用的版本

工资历史记录分析

此报告提供包括按公司的收入合计和百分比、经营单位及工资类型等元素在内的全面工资明细分析。“工资历史记录分析”报告包含以下组件:

  • 按公司的收入合计(条形图)

  • 按公司的收入百分比(饼图)

  • 按工资类型的收入合计(水平条形图)

  • 按工资类型的收入百分比(饼图)

  • 按收入的前 10 个经营单位(水平条形图)

  • 前 10 个经营单位 - 普通工资和加班工资(水平条形图)

  • 加班 - 普通工资和奖金工资(水平条形图)

  • 加班 - 普通工资和奖金工资百分比(饼图)

  • 按休假类型的缺席天数(仪表图)

  • 按工作日的休假小时数百分比(饼图)

  • 按工作日的休假趋势(折线图)

  • 工资历史记录明细(表格)

“工资历史记录明细”表格组件包含回溯功能,如下表所述:

功能

包含回溯链接的表格栏

雇员号

传递给应用程序的表格栏

雇员号、PDBA 码、年份

调用的应用程序

PDBA 历史记录 (P079951)

调用的屏幕

W079951E

调用的版本

ZJDE0001

以下报告通过查询特定时期(例如月度、季度或年度)的所有公司和工资类型之工资历史记录生成。

工资历史记录分析报告。 工资历史记录分析报告。 工资历史记录分析报告。 工资历史记录分析报告。 工资历史记录分析报告。 工资历史记录分析报告。

One View DBA 历史记录明细查询 (P071902)

可从“美国历史记录查询 (G07BUSP14)”菜单或“加拿大历史记录查询 (G77BCAP14)”菜单访问 One View DBA 历史记录明细查询应用程序 (P071902)。使用 One View DBA 历史记录明细查询程序 (P071902) 可分析扣减、福利及应计 (DBA) 业务记录的明细历史记录。One View DBA 历史记录明细查询程序使用 One View DBA 历史记录明细 (F0719-F060116-F069116) 业务视图 (V0719K),其中包括来自 F060116、“DBA 业务记录明细历史记录”文件 (F0719) 及“薪资业务记录常量”文件 (F069116) 的栏。本应用程序提供大量数据,并可极为灵活地生成各种类型的报告。从业务视图的超过 150 个栏中选择,以按公司、经营单位及 DBA 号等元素分析 DBA 历史记录。使用随附的报告,One View DBA 历史记录明细查询可提供多种报告以满足 DBA 历史记录明细报告的要求。

One View DBA 历史记录明细查询随附一些预定义的报告。这些报告是“401k 报告”、“健康与福利报告”、“工资扣减”以及“扣除/福利/应计历史分析”。这些随附的报告突出显示雇员和雇主 401k 贡献、医疗保健成本及按提供商的到期工资扣减等关键 DBA 信息。通过提供按公司、经营单位及 DBA 号的相同数据的多个视图,“扣除/福利/应计历史分析”报告为您提供更广泛的业务记录视图。

处理选项

本应用程序无任何处理选项。

特殊处理

使用“汇总”复选框以将 DBA 业务记录汇总至基于“雇员号”、“工资期间结束日期”、“扣除/福利/应计号”及“支票控制号”的一个记录。薪资处理期间,基于工时记录卡工作日期按比例分配福利和应计,从而得出单个 DBA 的多个业务记录。此外,可将扣减分配至跨月度之业务记录薪资期间的两个月。保留“汇总”复选框取消选中会将未汇总的 DBA 业务记录明细包括在内。

提供与 One View 工资历史记录明细查询的“表单接口”。

报告

One View DBA 历史记录明细查询应用程序随附的报告是:

  • 401K 报告

  • 健康与福利

  • 工资扣减

  • DBA 历史记录分析

401K 报告

401K 报告包含按 DBA 代码的雇员和雇主 401k 贡献,其中包括按检查日期的雇员明细。此报告包含以下组件:

  • 按检查日期的 401K DBA 趋势(折线图)

  • 雇员和雇主 401K 分配(饼图)

  • 401K 雇员和雇主贡献明细(表格)

健康与福利

“健康与福利”报告包含按公司和福利组的“健康与福利扣除/福利/应计”之雇员和雇主成本,例如医疗、牙科及眼科。此报告包含以下组件:

  • 按雇员主公司的健康与福利成本(条形图)

  • 按雇员主公司的健康与福利成本百分比(饼图)

  • 按福利组的健康与福利成本(条形图)

  • 按雇员主公司的健康与福利成本(表格)

工资扣减

“工资扣减”报告包含按提供商和 DBA 的工资扣减金额,其中包括按检查的雇员明细。此报告包含以下组件:

  • 按提供商/DBA 的工资扣减(条形图)

  • 按检查日期的 DBA 趋势(折线图)

  • 雇员工资扣减列表(表格)

DBA 历史记录分析

“DBA 历史记录分析”报告提供包括按公司的 DBA、按 DBA 的百分比及按经营单位和金额的前十个 DBA 等元素在内的全面 DBA 明细分析报告。

此报告包含以下组件:

  • 按公司的福利和扣减(条形图)

  • 按公司的应计(条形图)

  • 前 10 个经营单位 - 扣减(水平条形图)

  • 按金额的前 10 个扣减(水平条形图)

  • 前 10 个经营单位 - 福利(水平条形图)

  • 按金额的前 10 个福利(水平条形图)

  • 前 10 个经营单位 - 应计(水平条形图)

  • 按原始成本或小时数的前 10 个应计(水平条形图)

  • 按扣减的百分比(饼图)

  • 按福利的百分比(饼图)

  • 按应计的百分比(饼图)

  • DBA 历史记录明细(表格)

“DBA 历史记录明细”表格组件包含回溯功能,如下表所述:

功能

包含回溯链接的表格栏

雇员号

传递给应用程序的表格栏

雇员号、DBA 码

调用的应用程序

PDBA 历史记录 (P079951)

调用的屏幕

W079951D

调用的版本

ZJDE0001

以下报告通过查询特定时期(例如月度、季度或年度)的所有公司和 DBA 之 DBA 历史记录生成。

DBA 历史记录分析。 DBA 历史记录分析。 DBA 历史记录分析。 DBA 历史记录分析。 DBA 历史记录分析。

One View 雇员福利查询 (P08234)

可依次从“福利管理”、“日常处理 (G08BB1)”菜单访问 One View 雇员福利查询应用程序 (P08234)。使用 One View 雇员福利查询可查询雇员福利明细。One View 雇员福利查询使用 One View 雇员福利业务视图 (V08234),其中包括来自“雇员注册”文件 (F08330)、“雇员计划交叉参考的家属/受益人”文件 (F08336) 及“雇员主文件”(F060116) 的栏。此外,还包括检索自“参与者文件”(F08901) 的明细。此应用程序可创建并运行有关视图中近 250 个栏的报告,以分析雇员的注册及其参与者(被赡养人或受益人)的明细。

处理选项

本应用程序无任何处理选项。

特殊处理

此应用程序包含以下特殊处理:

  • 在表头中,您可以指定年度类型为财务年度或日历年度。财务年度格式的计算基于表头中输入的年度和雇员的公司。

  • 在应用程序网格中,搜索任一 F08336 QBE 栏中的值时,结果包含来自 F08336 的匹配记录和来自 F08330 的不匹配记录。这是因为 F08330 和 F08336 是使用左侧外部联接加以联接。这是通过 QBE 搜索而非增强查询的代码进行处理,因为系统未将其识别为 QC 栏并且无法加以验证。

  • 选中“雇员和家属/受益人”选项时,将检索雇员及其参与者(家属或受益人)的记录。选中“仅雇员”选项时,网格中将仅显示雇员记录。

  • 缺省情况下,选中“仅雇员”和“日历”选项。基于表头中的数据选择计算雇员的计划成本。

报告

One View 雇员福利查询随附的报告是:

  • 注册人口统计信息

  • 雇员注册快照

  • 有效注册

  • 雇员和参与者有效注册

  • 雇员福利分析

注册人口统计信息

此报告包含按帐龄组、服务长度、薪金范围及性别的雇员注册。此报告包含以下组件:

  • 按帐龄组的注册(条形图)

  • 按服务组长度的注册(条形图)

  • 按工资额度的注册(条形图)

  • 按性别的注册(双条形图)

  • 按雇员的注册人口统计(表格)

雇员注册快照

此报告包括雇员注册明细。“雇员注册快照”报告包含以下组件:

  • 按主经营单位的注册(条形图)

  • 福利注册汇总(表格)

有效注册

此报告显示所选年度的有效注册。“有效注册”报告包含以下组件:

  • 按月度的注册(条形图)

  • 按月度的注册合计百分比(饼图)

  • 雇员注册(表格)

雇员和参与者有效注册

此报告显示雇员注册及其参与者的注册。此报告包含以下组件:

  • 雇员和参与者注册(条形图)

  • 注册明细(表格)

雇员福利分析

“雇员福利分析”报告是包括按公司的雇员注册、总成本百分比、按雇员注册的前 10 个计划以及按月度的注册趋势等元素在内的全面雇员注册明细分析报告。该报告包含下列组件:

  • 按公司的雇员注册(条形图)

  • 按公司的注册百分比(饼图)

  • 按公司和计划的成本合计(条形图)

  • 成本合计的百分比(饼图)

  • 按雇员注册的前 10 个计划(水平条形图)

  • 雇员和参与者注册(条形图)

  • 按月度的注册趋势(折线图)

  • 按帐龄组的注册(条形图)

  • 雇员福利明细(表格)

“雇员福利明细”表格组件包含回溯功能,如下表所述:

功能

包含回溯链接的表格栏

雇员号

传递给应用程序的表格栏

雇员号

调用的应用程序

合格性注册 (P08334)

调用的屏幕

W08334A

调用的版本

雇员福利分析报告。 雇员福利分析报告。 雇员福利分析报告。 雇员福利分析报告。

One View 雇员概要查询 (P080120)

可从“雇员查询 (G05BEEI1)”菜单访问 One View 雇员概要查询应用程序 (P080120)。使用 One View 雇员概要查询以报告“雇员主文件”以及“作业主文件”、“工资级/薪金范围”、“经营单位主文件”以及“地址名册”文件中的相关信息。One View 雇员概要查询使用 One View 雇员概要 (F060116-F060117-F0101-F08001-F0006) 业务视图 (V060116X),其中包括来自 F060116、F0101、“雇员主文件 - 国际数据”表 (F060117)、“经营单位主文件”文件 (F0006)、“工作信息”文件 (F08001) 及“雇员主文件附加信息”文件 (F060120) 的栏。P080120 还包括来自“雇员主文件 - 国际数据”文件 (F060117)、“按日期的地址”文件 (F0116)、“地址名册 - 电话号码”文件 (F0115)、“电子地址”文件 (F01151)、“雇员主文件 - 国际标记”文件 (F060117A)、“工作信息”文件 (F08001)、“工资级别/工资额度”文件 (F082001) 及“头寸主文件”文件 (F08101) 的栏。

本应用程序提供大量数据,并可极为灵活地生成各种类型的报告。从业务视图的 500 个栏中选择,以按公司、经营单位、工作、工资级别、雇员分类及报告和类别码等分析雇员信息。使用随附的报告,One View 雇员概要查询可提供多种用途的报告。其他报告包括按公司和经营单位的雇员、邮寄标签以及按地址名册类别码的雇员。

One View 雇员概要查询随附一些预定义的报告。这些报告是:“雇员花名册”、“含地址的雇员花名册”、“雇员资历报告”、“雇员报酬评审”及“雇员概要分析”。使用这些随附的报告,您可以查看有关您的雇员的运营信息,并按 FTE、工龄及薪金范围等系数分析您的雇员。通过提供按公司、经营单位、FTE、工资分类、服务长度及帐龄组的相同数据之多个视图,“雇员概要分析”交互报告为您提供更广泛的雇员视图。

处理选项

处理选项使您可以指定程序和报告的缺省处理方式。

电话详细信息

1. 使用缺省电话类型

指定是否使用 UDC (01/PH) 中的缺省电话类型值。此处理选项设置为“1”时,请将处理选项“最多输入 3 种电话类型”中的第一个电话类型字段留空。

值包括:

空白:不使用缺省电话类型值。

1:使用缺省电话类型值。

2. 最多输入 3 种电话类型

指定最多三个可指示地点或电话号码的使用之用户定义的代码 (01/PH)。

值包括:

空白:办公电话号码

传真:传真电话号码

家庭:家庭电话号码

电子邮件详细信息

1. 最多输入 3 种电子邮件地址类型

指定最多三个可指示电子地址的类型之用户定义的代码 (01/ET)。

值包括:

E:电子邮件地址 (name@domain)

I:Internet 地址(统一资源定位器,或 URL)

W:内部地址(工作中心)

特殊处理

缺省情况下,此应用程序包括雇员地址、电话号码及电子邮件详细信息。使用“仅显示”复选框以仅包括所选项的信息。

此应用程序包括基于“开始日期”的雇员服务长度计算和基于帐龄的帐龄组计算。

报告

One View 雇员概要查询随附的报告是:

  • 雇员花名册

  • 含地址的雇员花名册

  • 雇员资历报告

  • 雇员薪酬检查

  • 雇员概要分析

雇员花名册

要获得有效的“雇员花名册”报告,请确保在 One View 雇员概要查询应用程序的表头中仅选中电子邮件和电话选项。

此报告包含以下组件:

  • 按 FTE 的雇员(饼图)

  • 按经营单位的 FTE 合计(条形图)

  • 按 EEO 工作种类的雇员(条形图)

  • 按公司的雇员(表格)

含地址的雇员花名册

要获得有效的“含地址的雇员花名册”报告,请确保在 One View 雇员概要查询应用程序的表头中仅选中地址选项。

此报告包含以下组件:

  • 按国家/地区的雇员(饼图)

  • 按国家/地区和州/省的雇员(条形图)

  • 按公司的雇员列表(表格)

雇员资历报告

要获得最有用的“雇员资历”报告,请确保在 One View 雇员概要查询应用程序的表头中仅选中地址选项。

此报告包含以下组件:

  • 按服务长度的雇员(条形图)

  • 前 10 个按服务长度的雇员(条形图)

  • 按帐龄范围的雇员(条形图)

  • 按开始日期的雇员(表格)

雇员薪酬检查

要获得最有用的“雇员报酬评审”报告,请确保在 One View 雇员概要查询应用程序的表头中仅选中地址选项。

此报告包含以下组件:

  • 报酬比率 >= 1 的雇员(条形图)

  • 报酬比率 < 1 的雇员(条形图)

  • 按等级/排名的雇员(条形图)

  • 前 10 个按薪金的雇员(条形图)

  • 按地点的雇员(表格)

雇员概要分析

如果在表头中仅选中地址选项,“雇员概要分析”的运行将更快。

通过提供按报告中不同元素的筛选,此交互报告使您可全面掌控图形、图表及表格中显示的信息。

此报告包含以下组件:

  • 按国家/地区的雇员(条形图)

  • 按经营单位的雇员(水平条形图)

  • 按帐龄组的雇员(饼图)

  • 按服务长度的雇员(饼图)

  • 按工资分类的雇员(水平条形图)

  • 按 EEO 工作的雇员(水平条形图)

  • 按 FTE 的雇员(环形图)

  • 按报酬比率 > 1 的雇员(环形图)

  • 前 10 个按薪金的雇员(水平条形图)

  • 前 10 个按服务的雇员(水平条形图)

  • 雇员明细(表格)

“雇员明细”表格组件包含回溯功能,如下表所述:

功能

包含回溯链接的表格栏

雇员号

传递给应用程序的表格栏

雇员号

调用的应用程序

雇员概况表 (P060116)

调用的屏幕

W060116C

调用的版本

ZJDE0001

以下报告通过查询所有公司内的有效雇员生成。

雇员概要分析。 雇员概要分析。 雇员概要分析。 雇员概要分析。 雇员概要分析。