Siebel Business Analytics Applications Installation and Administration Guide > DAC Quick Start > Tailoring Execution Plans for Your Needs >

Using the DAC Preview Functionality to View Tasks and Dependencies


You can verify the design of an execution plan using the Preview functionality, which is accessible from the top pane toolbars of the Execution Plans, Subject Areas, and Table Groups tabs, and in the right-click menu on these tabs.

The Preview functionality generates a preview of all tasks and their dependencies using the DAC server logic described in Tailoring Execution Plans for Your Needs. This process reviews an execution plan's associated subject areas, table groups, and tables to identify tasks and their dependencies.

The preview shows the approximate order in which tasks will be executed, and a list of source tables, target tables, and tables for which an image will be built. Only the tasks that source or write to database connections as defined in the execution plan will be included. The preview also shows a detailed analysis of the dependencies. By reviewing the preview, you can validate the design of your execution plan without having to run the ETL.

The preview has three parts. The first part is titled, "Initial Selection of Tables going through the related Table Groups." This part shows the selection of tables to be populated by table group and is created by iterating through the table groups. The selection process starts with the initial, distinct list of all the table groups (iteration 0) and goes through the related table groups (iteration 1, 2, and so on), selecting tables that are not already on the list of chosen tables.

The second part of the preview is titled, "Task Selection Analysis." This part shows the task program. It starts with the tasks that write to any of the tables selected during the table selection process. The DAC server logic goes through the dependency definitions, selecting all the mandatory (non-optional) tasks and then selecting all the optional tasks. Eventually, the dependencies define the order of execution.

The third part of the preview is titled, "Step Dependency Analysis." This part shows, for all given tasks, the following information:

  • Depends On. The immediate tasks that a given task depends on.
  • Dependents. The tasks that are dependent on a given task.
  • Number of All Depends. All the Depends On tasks.
  • Number of All Dependents. All the Dependent tasks.

This part of the preview is useful for understanding how a task relates to all other tasks, which can be helpful for debugging.

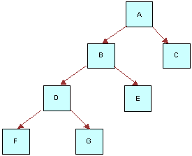
Figure 12 shows the dependencies of various tasks: task A depends on tasks B and C, task B depends on tasks D and E, and task D depends on tasks F and G.

Figure 12. Task Dependencies

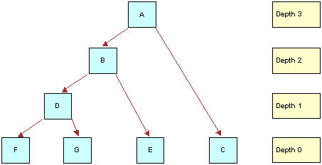
In Figure 13 the tasks are shown as grouped by the DAC server based on the level of dependency. (The level of dependency is referred to as a depth.) Tasks that have no dependencies are depth 0. Tasks that depend on other tasks of depth 0 are depth 1. Tasks that depend on other tasks of depth 1 or 0 are depth 2, and so on.

Figure 13. Task Dependencies by Depth

Because the DAC server dynamically prioritizes the tasks that are eligible to run based on the number of resources available, it uses the information generated by the preview to decide which tasks to execute. When more than one task is eligible to be run, a series of prioritization rules is applied.

Siebel Business Analytics Applications Installation and Administration Guide