|
You can configure a WebLogic Server SNMP agent to detect certain thresholds or conditions within a managed resource and send a report (notification) to one or more SNMP managers. WebLogic Server SNMP agents can generate notifications that conform to the SNMPv1, SNMPv2, or SNMPv3 protocols.
The following sections describe the notifications that WebLogic Server SNMP agents can generate:
To configure or delete WebLogic Server notifications, refer to “ Use SNMP to monitor WebLogic Server” in the Administration Console Online Help.
An SNMP agent that uses the SNMPv2 or SNMPv3 protocol can send one of two types of notifications when a monitored attribute crosses a defined threshold:
By default, a WebLogic Server SNMP agent sends TRAP notifications. For information on configuring an SNMP agent to send INFORM notifications, see “ Configure INFORM Notifications” in the Administration Console Online Help.
WebLogic Server SNMP agents can automatically generate the notifications described in Table 3-1. Some of these notifications include name– value pairs (variable bindings) to further describe the event.
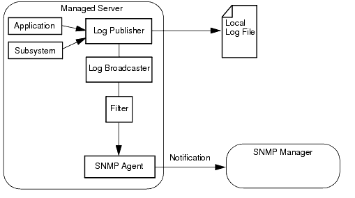
Subsystems and deployable modules (such as applications) on a WebLogic Server instance generate log messages to communicate status or other operational data.
Each server instance saves these messages in a local log file and then broadcasts them as JMX notifications. You can set up a WebLogic Server SNMP agent to listen for all of these JMX notifications or you can set up a filter based on criteria such as:
For example, you can specify that only messages from the Security Service of severity level ERROR or higher are sent to an SNMP agent. For information on setting up an SNMP agent to listen for messages, refer to “
Create SNMP Log Filters” in the Administration Console Online Help.
When an agent receives a message, it generates an SNMP log notification. (See Figure 3-1.)

This section describes the name– value pairs that log message notifications pass to SNMP managers in the variable bindings field:
trapTime — Time the notification is generated.trapServerName — Name of the server instance on which the log message was generated.trapMachineName — Name of the machine on which the server instance is running.trapLogThreadId — Thread ID from the log message.trapLogTransactionId — Transaction ID, if any, from the log message. Transaction ID is present only for messages logged within the context of a transaction.trapLogUserId — User ID from the log message. The user ID indicates the security context in which the log message was generated.trapLogSubsystem — Subsystem that generated the log message.trapLogMsgId — Log message ID from the log message.trapLogSeverity — Message severity level from the log message.trapLogMessage — Text of the log message.For more information on log messages and the WebLogic Server logging subsystem, refer to “ Understanding WebLogic Logging Services” in Configuring Log Files and Filtering Log Messages.
To periodically check the value of WebLogic resources for changes, you set up JMX monitors and configure an SNMP agent to listen for notifications from these monitors.
JMX is a Java EE specification for exposing management data; it is the foundation for the WebLogic Server management system. In the JMX specification, management data and operations are made public through managed beans (MBeans). The managed objects in the WebLogic Server MIB correspond to MBeans and MBean attributes. See Relationship of the MIB Module to the WebLogic Server MBean Data Model.
JMX monitors poll WebLogic Server MBeans at a specified interval and send notifications to an WebLogic SNMP agent when an event that you specify occurs, such as the crossing of a threshold. The SNMP agent generates a notification and sends it to the SNMP managers. (See Figure 3-2.)

You can configure three types of JMX monitors depending on the data type of the attribute that you want to observe (the WebLogic Server MBean Reference describes the type of data that an attribute returns):
A JMX monitor polls for a specified threshold or condition and the agent generates a monitor notification when the specified threshold is crossed or the specified condition occurs. A WebLogic Server SNMP agent includes the following name– value pairs in the variable bindings of each monitor notification:
trapTime — Time at which the notification was generated.trapServerName — Local server whose attribute value generated the notification.trapMonitorType — Either CounterMonitor, StringMonitor, or GaugeMonitor.trapMonitorThreshold — ASCII representation of the threshold that triggered the notification.trapMonitorValue — ASCII representation of the value that triggered the notification.trapMBeanName — Name of the MBean that contained the attribute being monitored.trapMBeanType — Type of the MBean that contained the attribute being monitored.trapAttributeName — Name of the attribute whose value triggered the notification.
While you can use JMX monitors to periodically poll WebLogic Server resources for changes to attributes that exceed the bounds of specific thresholds, you can also configure an SNMP agent to send a notification immediately after an attribute is changed in any way. For example, you can use a JMX monitor to poll for changes in the current number of active JDBC connections. If the number of active connections exceeds a threshold, the SNMP agent can send a notification.
For information on configuring an SNMP agent to send attribute change notifications, refer to “ Create attribute changes” in the Administration Console Online Help.
| Note: | Creation of attribute changes for runtime MBeans is not supported. Only attributes of configuration MBeans support attribute change notifications. |
An attribute change notification includes the following name– value pairs in the variable bindings:
trapTime — The time at which the notification was generated.trapServerName — The name of the Administration Server.trapMBeanName — Name of the MBean that includes the attribute.trapMBeanType — Type of the MBean that includes the attribute.trapAttributeName — Name of the configuration attribute that has changed.trapAttributeChangeType — The value can be either ADD, REMOVE, or UPDATE.trapAttriruteOldVal — Value of the attribute before the change.trapAttributeNewVal — Value of the attribute after the change.
The object identifier (OID) for all WebLogic Server notifications start with the WebLogic Server OID: .1.3.6.1.4.140.625
Table 3-2 describes the next value in OIDs for WebLogic Server notifications.
Some notifications also include variable bindings. To see the OIDs for the variable bindings, refer to WebLogic Server SNMP MIB Reference.
|