| Oracle Master Scheduling/MRP and Oracle Supply Chain Planning User Guide Release 12 Part Number B31558-01 | Contents | Previous | Next |
This appendix covers the following topics:
This appendix describes forecasts created by compiling statistical or focus forecasting information.
Oracle Inventory provides a mechanism by which future demand may be forecast based on historical demand. You can then load these forecasts into another forecast or a master schedule. You can use the Load Forecast form to create a new forecast by compiling statistical or focus forecasting information.
Focus forecasting is intended to produce only one period forecasts, whereas you can use statistical forecasting to forecast any number of periods into the future.
Forecast Rules
If you intend to compile a focus or statistical forecast, you must first define a forecast rule. This forecast rule defines the forecast bucket type, forecast method, and the sources of demand. If the rule is a statistical forecast, the exponential smoothing factor (alpha), trend smoothing factor (beta), and seasonality smoothing factor (gamma) are also part of the rule.
You use a forecast rule in the Load Forecast form to compile a forecast for a particular item or group of items into a forecast name. A forecast rule consists of the following information:
Forecast Rule Name
Identify a forecast rule name that you can choose when loading a forecast.
Bucket Type
Specify a daily, weekly or periodic bucket to determine the time periods that forecasts are compiled in.
Forecast Method
Choose to compile a forecast using either focus forecasting or a statistical forecasting method.
Demand Sources
A forecast rule may apply to demand from any or all of the following:
inter-organization issues
miscellaneous issues, including account issues, account-alias issues, and user-defined issues
sales order shipments
work in process issues
Additional Information for Statistical Forecast Rules
If the forecast rule is statistical, some additional information may be required:
alpha smoothing factor
beta smoothing factor, if the forecast is trend-enhanced
gamma smoothing factor, if the forecast is season-enhanced
initial seasonality indices, if the forecast is season-enhanced
number of past periods to use in forecast calculations
Focus Forecasting Methods
There are many ways to forecast future demand based on the past. It is sometimes difficult to decide which forecasting method to use. Focus forecasting decides the optimal method for compiling your forecasts.
The focus forecasting technique simulates alternate forecasting methods on prior periods for which the actual demand is known. It then chooses the forecasting method that would have produced the most accurate forecast for that period.
The following five simple forecasting models are provided:
The forecast for this period is the actual demand for the same period last year.

The forecast for this period is the actual demand for the previous period.
![]()
The forecast for this period is the average of the actual demands for the previous two periods.

The forecast for this period is the actual demand for the same period last year multiplied by the growth (or decline) since last year as
measured by the ratio of the previous period actual demand to the actual demand for the same period last year.

The forecast for this period is the actual demand for the previous period multiplied by the current growth (or decline) as measured by the ratio of the previous period actual demand to the actual demand for the period before the previous period.

Important: When you use daily time buckets, a week is used instead of a year in calculating Models 1 and 4. Fifty-two week years are presumed in yearly calculations with weekly time buckets. This means that the same week last year is taken to be the week fifty-two weeks before the current week.
These models are illustrated in the following table. Note that Models 1 and 4 require over a year of historical data while the other three methods can be executed with only two historical periods. Focus forecasting is restricted to only those models where sufficient demand history exists.
To evaluate which forecasting model produced the best forecast last period, the absolute percentage error (APE) is calculated for the five forecasts and the forecasting model with the smallest APE is chosen. APE is the ratio of the difference between the actual demand and forecast to the actual demand.

| Forecast Year | January | February | March | April |
|---|---|---|---|---|
| 2000 | 220 | 210 | 250 | 260 |
| 2001 | 270 | 255 | 290 | 0 |
| Forecast Model | March 2001 Forecast | March 2001 Actual | Error (APE) | April 2001 Forecast |
|---|---|---|---|---|
| 1 | 250 | 290 | 14% | 260 |
| 2 | 255 | 290 | 12% | 290 |
| 3 | 263 | 290 | 9% | 273 |
| 4 | 304 | 290 | 5% | 302 |
| 5 | 241 | 17% | 330 |
Important: Numbers have been rounded.
In this table, the forecast for the previous month is calculated for Model 4 as follows:

Important: For purposes of the previous table, we rounded ? our numbers off to the nearest integer. However, the forecast compile process rounds forecasts off to five decimal places.
The error for Model 4 is therefore calculated:

Since 5% is the smallest error of the five models, Model 4 is chosen to calculate the April 2001 forecast:

Although focus forecasting is intended to provide a one-period forecast, if a focus forecast is requested for multiple periods, the forecast for the first forecast period is used for all forecast periods.
When actual demand information is available for the current period, the focus forecast may be rerun to update the forecast.
Statistical Forecasting Methods
Statistical forecasting methods provide an alternate method that is based on a more mathematical model called exponential smoothing forecast (ESF) or alpha smoothing forecast. The statistical forecasts available are:
Exponential smoothing forecast (ESF)
Trend-enhanced forecast (TEF)
Season-enhanced forecast (SEF)
Trend and season-enhanced forecast (TSEF)
Exponential Smoothing Forecast (ESF)
In an ESF, demand is forecast by averaging all the past periods of actual demand and weighs more recent data to give it greater influence over the forecast results than older data. The weights are adjusted according to the exponential function f(x) = e (- ? x) where x is the number of periods past and is a chosen value between 0 and 1. shows the alpha function for three different values of; the larger the-value, the less weight is given to older data and the more the forecast tends to chase the prior periodís demand if demand is not smooth.

Rather than calculate the exponential function for every period, it can be shown that the ESF for period t can be easily calculated if we know the ESF for the prior period.

The initial value of ESFt is the actual demand for the prior period, At-1. The table shows these calculations for three different values of.
| Period t | Actual Demand At | Forecast Éø = 0.9 | Demand Éø = 0.5 | ESFt Éø = 0.1 |
| 1 | 200 | |||
| 2 | 220 | 200 | 200 | 200 |
| 3 | 120 | 218 | 210 | 202 |
| 4 | 230 | 130 | 165 | 194 |
| 5 | 260 | 220 | 198 | 197 |
| 6 | 270 | 256 | 229 | 204 |
| 7 | 290 | 269 | 249 | 210 |
| 8 | 270 | 288 | 270 | 218 |
| 9 | Forecast | 272 | 270 | 223 |
Important: Numbers have been rounded.
The forecast for period 9, for = 0.9, is calculated:

Period 3 was an abnormal period, but otherwise the trend is clearly upward. It can be seen that with the higher alpha, the forecast reacted intensely to the third period, and produced a very low period 4 forecast, but was also faster to correct itself and adjust for the trend. By period 9, the period we are forecasting, the abnormal period 3 has only a negligible effect on the forecast. All three forecasts became more accurate when they had more historical data upon which to draw.
It should be noted that, even though the higher alpha adjusted to the trend faster, plain ESF always lags behind the trend by at least one period. Even if the demand in the example had been smooth, all three scenarios would have lagged behind the trend.
Trend-Enhanced Forecast (TEF)
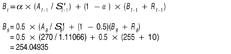
The statistical forecasting method provides an enhancement to the ESF that allows for trend. The theory behind the trend-enhanced model is that we can take the ESF and add a trend index, R, that reflects the current trend.

The ESF is no longer the forecast. We rename that term the base, Bt; since it is the base value of the forecast to which we add the trend (and, in the case of a season-enhanced forecast, seasonality indices). The formula becomes:

The base is found in the same way as the ESF, though:

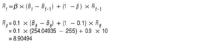
Finally, we need a way to figure out the trend index, Rt. To do this, we need another smoothing factor to smooth out changes in the trend. Similar to ESF, the higher this factor, the more responsive it is to changes in trend. However, it increasingly gets thrown off by abnormal period demand.

The initial value of Rt is the change in demand from two periods ago to the last period, At-1 - A-2.
| Period t | Actual Demand At | Forecast Base Βτ | Trend Index Rt | Forecast Demand TEFt |
|---|---|---|---|---|
| 1 | 200 | |||
| 2 | 220 | 200 | 20 | 230 |
| 3 | 120 | 210 | 15 | 190 |
| 4 | 230 | 175 | 17 | 226 |
| 5 | 260 | 243 | 18 | 261 |
| 6 | 270 | 266 | 19 | 284 |
| 7 | 290 | 287 | 19 | 306 |
| 8 | 270 | 288 | 17 | 305 |
| 9 | Forecast |
Note: Numbers have been rounded.
The table gives an example of forecasting using the trend-enhanced model. The forecast for period 9 is found by first calculating the forecast base value:

Then updating the trend index:

And, finally, adding the two for the period 9 trend-enhanced forecast:

Season-Enhanced Forecast (SEF)
In the tables, there was an outlying point in period 3 that threw all the forecasts off. Suppose that the forecasting periods are manufacturing periods and period 3 corresponds to March, when demand for this item has traditionally been low. The forecast should take this into account. This is especially important with highly seasonal goods, such as winter clothing, holiday cards and decorations, and even vaccinations and antibiotics (more people get sick during the winter than summer).
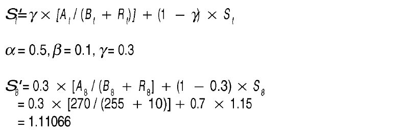
To take seasonal demand variations into account, you must first enter seasonality indices for each period indicating how much demand during the period is above or below average. A seasonality index of 2 indicates that demand during this period is twice the average demand. Therefore, an index of 0.5 indicates that demand during this period is half the average demand; 1 means demand is average during this period. If the average seasonality index entered is not equal to 1, Oracle Inventory normalizes the indices so that this is the case.
The same kind of logic that is used for adjusting for trend in the TEF is used to adjust for the seasonal variations. Demand is deseasonalized by dividing by the seasonality index for that period, and then exponential smoothing is used to produce a new base value. The base value is then multiplied by the seasonal index for the period being forecasted to produce the season-enhanced forecast (SEF).

The seasonality index for the prior season is adjusted using yet another user-specified smoothing factor.

| Period t | Actual Demand At | Old Season Index St | Forecast Base Bt | Forecast Demand SEFt | New Season Index S’t |
|---|---|---|---|---|---|
| 1 | 200 | 1.05 | |||
| 2 | 220 | 1.00 | 190 | 190 | 1.05 |
| 3 | 120 | 0.65 | 200 | 130 | 0.63 |
| 4 | 230 | 0.95 | 195 | 185 | 1.02 |
| 5 | 260 | 1.05 | 210 | 221 | 1.11 |
| 6 | 270 | 1.10 | 223 | 245 | 1.13 |
| 7 | 290 | 1.15 | 230 | 265 | 1.18 |
| 8 | 270 | 1.15 | 238 | 273 | 1.15 |
| 9 | Forecast | 1.10 | 237 | 260 |
Note: Numbers have been rounded.
This table shows an example of season-enhanced forecasting. Notice how, since a drop in demand was expected in period 3, the forecast dropped in the same period in anticipation.
We begin by adjusting last periodís seasonality index:

The period 9 forecast can now be found by calculating the forecast base-value:

And then multiplying by the period 9 seasonality index:

When we receive period 9 results we can recalculate period 9ís seasonality index and then forecast for period 10.
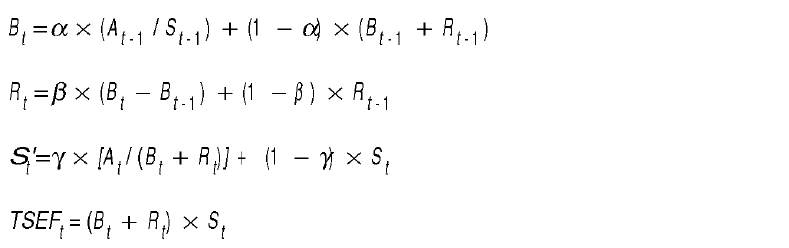
Trend and Season-Enhanced Forecast (TSEF)
Despite the seasonal adjustments made in the SEF, there remained a trend element that can be seen in the gradual increase in the forecast base, B. The TEF and the SEF may be combined to make a trend and season-enhanced forecast (TSEF).
A combination of the TEF and SEF can be illustrated by showing the formulae and example provided in the previous table. The TSEF uses all three smoothing factors.

| Period t | Actual Demand At | Old Season Index St | Forecast Base Bt | Trend Index Rt | Forecast Demand TSEFt | New Season Index S’t |
|---|---|---|---|---|---|---|
| 1 | 200 | 1.05 | ||||
| 2 | 220 | 1.00 | 190 | 190 | 1.05 | |
| 3 | 120 | 0.65 | 200 | 10 | 137 | 0.63 |
| 4 | 230 | 0.95 | 201 | 9 | 199 | 0.99 |
| 5 | 260 | 1.05 | 221 | 10 | 242 | 1.07 |
| 6 | 270 | 1.10 | 236 | 11 | 272 | 1.10 |
| 7 | 290 | 1.15 | 247 | 11 | 296 | 1.14 |
| 8 | 270 | 1.15 | 255 | 10 | 306 | 1.11 |
| 9 | Forecast | 1.10 | 254 | 9 | 290 |
Note: Numbers have been rounded.
As with the SEF, we can calculate the new period 8 seasonality index as soon as period 8 results are in.

To make our period 9 forecast, we first calculate the period 9 basevalue:

And the new trend factor:

Add them together and multiply in the seasonality factor to get the period 9 trend and season-enhanced forecast:
