|   | |
| Sun Java System Portal Server 6 2005Q1 °ü¸® ¼³¸í¼ | |
6Àå
ÀÎÁõ, »ç¿ëÀÚ ¹× ¼ºñ½º °ü¸®ÀÌ Àå¿¡¼´Â Sun Java System Access Manager¸¦ »ç¿ëÇÏ¿© ÀÎÁõ, »ç¿ëÀÚ ¹× ¼ºñ½º¸¦ °ü¸®ÇÏ´Â ¹æ¹ý¿¡ ´ëÇØ ¼³¸íÇÕ´Ï´Ù. ÀÌ Àå¿¡¼´Â Access ManagerÀÇ ¸ðµç Ãø¸éÀ» ¼³¸íÇÏÁö ¾Ê½À´Ï´Ù. Sun Java System Portal Server¿¡ °ü·ÃµÈ ºÎºÐ¸¸ ÁýÁßÀûÀ¸·Î ´Ù·ì´Ï´Ù. ÀÚ¼¼ÇÑ ³»¿ëÀº Access Manager ¹®¼¸¦ ÂüÁ¶ÇϽʽÿÀ.
À̹ø ÀåÀº ´ÙÀ½ Àý·Î ±¸¼ºµË´Ï´Ù.
Sun Java System Access Manager °³¿äSun Java System Portal Server (ÀÌÀü ¸íĪ Sun ONE Portal Server) ±¸Çö¿¡¼´Â Á¦Ç° ÀÚü¸¦ ÅëÇØ ÀÎÁõ ¹æ¹ýÀ» °ü¸®ÇÏ°í µµ¸ÞÀÎ, ¿ªÇÒ ¹× »ç¿ëÀÚ¸¦ »ý¼ºÇϸç ÇÁ·ÎÇÊ ¼Ó¼º ¹× ·Î±×¿Í °°Àº ±âŸ µ¥ÀÌÅ͸¦ °ü¸®ÇÕ´Ï´Ù. iPlanet Portal Server 3.0 API¸¦ »ç¿ëÇÏ¿© »ç¿ëÀÚ Á¤ÀÇ ÀÀ¿ë ÇÁ·Î±×·¥À» °³¹ßÇϱ⵵ ÇÕ´Ï´Ù.
ÀÌÁ¦ Portal Server 6 Á¦Ç°¿¡¼´Â Access Manager °ü¸® ±â´É°ú ÀÌÀü¿¡ iPlanet Portal Server 3.0 ÀÚü ³»¿¡ ÀÖ´ø API¸¦ »ç¿ëÇÕ´Ï´Ù. Access Manager´Â Sun Java System Directory ServerÀÇ °ü¸® ¹× º¸¾È ´É·ÂÀ» Ȱ¿ëÇÏ´Â ÀÏ´ÜÀÇ µµ±¸ÀÔ´Ï´Ù. Access ManagerÀÇ ¸ñÀûÀº Sun Java System Directory Server¸¦ »ç¿ëÇÏ´Â Á¶Á÷¿¡ »ç¿ëÀÚ °´Ã¼, Á¤Ã¥ ¹× ¼ºñ½º¸¦ °ü¸®Çϱâ À§ÇÑ ÀÎÅÍÆäÀ̽º¸¦ Á¦°øÇÏ´Â °ÍÀÔ´Ï´Ù.
Access Manager·Î ´ÙÀ½ÀÌ °¡´ÉÇØÁý´Ï´Ù.
- Sun Java System Directory Server°¡ »ç¿ëÀÚ ÀÎÁõ°ú ´ÜÀÏ »çÀοÂÀ» ¼öÇàÇÏ¿© µ¥ÀÌÅÍ º¸¾ÈÀ» °ÈÇÒ ¼ö ÀÖ½À´Ï´Ù.
- »ç¿ëÀÚ Ç׸ñ¿¡¼ ¼Ó¼ºÀ¸·Î ³ªÅ¸³ª´Â Ç׸ñ ±×·ìÈ ¸ÞÄ¿´ÏÁòÀ» ÅëÇØ °ü¸®ÀÚ°¡ ¿ªÇÒÀ» ¹ÙÅÁÀ¸·Î »ç¿ëÀÚ Ç׸ñÀ» ½ÃÀÛÇÒ ¼ö ÀÖ½À´Ï´Ù.
- °³¹ßÀÚ°¡ ¼ö ¸¹Àº ±âº» ¹× »ç¿ëÀÚ Á¤ÀÇ ¼ºñ½ºÀÇ ±¸¼º ¸Å°³ º¯¼ö¸¦ Á¤ÀÇÇÏ°í °ü¸®ÇÒ ¼ö ÀÖ½À´Ï´Ù.
±×·¡ÇÈ »ç¿ëÀÚ ÀÎÅÍÆäÀ̽ºÀÎ À¥ ±â¹Ý Access Manager °ü¸® ÄܼÖÀ» ÅëÇØ ÀÌ·¯ÇÑ 3°¡Áö ±â´É¿¡ ¾×¼¼½ºÇÕ´Ï´Ù. ¶ÇÇÑ ¸í·ÉÁÙ ÀÎÅÍÆäÀ̽ºÀÎ amadminÀ» »ç¿ëÇÏ¸é µð·ºÅ丮 ¼¹ö¿¡¼ Àϰý °ü¸® ÀÛ¾÷À» ¼öÇàÇÒ ¼ö ÀÖ½À´Ï´Ù. ¿¹¸¦ µé¾î, »õ·Î¿î ¼ºñ½º¸¦ »ý¼º, Ãß°¡ ¹× Ȱ¼ºÈÇϰí Á¶Á÷, »ç¶÷ ÄÁÅ×À̳Ê, ±×·ì, ¿ªÇÒ ¹× »ç¿ëÀÚ¸¦ »ý¼º, »èÁ¦ ¹× ÀÐÀ»(°¡Á®¿À±â) ¼ö ÀÖ½À´Ï´Ù.
Access Manager ±â´É ¿ä¾à
Access Manager´Â ´ÙÀ½ °ü¸® ±¸¼º ¿ä¼Ò¸¦ Á¦°øÇÕ´Ï´Ù. ÀÌÀü¿¡ ÀÌ·¯ÇÑ ±¸¼º ¿ä¼Ò´Â Portal Server 3.0 ÇÁ·¹ÀÓ¿öÅ© ÀÚü ³»¿¡ ÀÖ¾ú½À´Ï´Ù.
- »ç¿ëÀÚ °ü¸®¡ª»ç¿ëÀÚ °ü·Ã °´Ã¼(»ç¿ëÀÚ, ¿ªÇÒ, ±×·ì, »ç¶÷ ÄÁÅ×À̳Ê, Á¶Á÷, ÇÏÀ§ Á¶Á÷ ¹× Á¶Á÷ ´ÜÀ§ °´Ã¼)¸¦ »ý¼º ¹× °ü¸®ÇÕ´Ï´Ù. ÀÌ·¯ÇÑ °´Ã¼´Â Access Manager ÄܼÖÀ̳ª ¸í·ÉÁÙ ÀÎÅÍÆäÀ̽º¸¦ »ç¿ëÇÏ¿© Á¤ÀÇ, ¼öÁ¤ ¶Ç´Â »èÁ¦ÇÒ ¼ö ÀÖ½À´Ï´Ù.
- ÀÎÁõ¡ª»ç¿ëÀÚ ÀÎÁõÀ» À§ÇÑ Ç÷¯±×ÀÎ ¼Ö·ç¼ÇÀ» Á¦°øÇÕ´Ï´Ù. ƯÁ¤ »ç¿ëÀÚ¸¦ ÀÎÁõÇÒ ¶§ ÇÊ¿äÇÑ ±âÁØÀº Portal Server ±â¾÷¿¡¼ °¢ Á¶Á÷¿¡ ´ëÇØ ±¸¼ºµÈ ÀÎÁõ ¼ºñ½º¸¦ ¹ÙÅÁÀ¸·Î ÇÕ´Ï´Ù. Portal Server ¼¼¼Ç¿¡ ¾×¼¼½ºÇÏ·Á¸é »ç¿ëÀÚ´Â ÀÎÁõ °úÁ¤À» ¼º°øÀûÀ¸·Î Åë°úÇØ¾ß ÇÕ´Ï´Ù.
- ´ÜÀÏ »çÀο¡ª»ç¿ëÀÚ°¡ ÀÎÁõµÇ¸é ´ÜÀÏ »çÀοÂ(SSO)¿ë Access Manager API°¡ ³Ñ°Ü ¹Þ½À´Ï´Ù. ÀÎÁõ »ç¿ëÀÚ°¡ º¸È£µÈ ÆäÀÌÁö¿¡ ¾×¼¼½º¸¦ ½ÃµµÇÒ ¶§¸¶´Ù SSO API°¡ »ç¿ëÀÚÀÇ ÀÎÁõ ÀÚ°Ý Áõ¸í Á¤º¸¸¦ ¹ÙÅÁÀ¸·Î »ç¿ëÀÚ¿¡°Ô ÇÊ¿äÇÑ ±ÇÇÑÀÌ ÀÖ´ÂÁö¸¦ °áÁ¤ÇÕ´Ï´Ù. »ç¿ëÀÚ°¡ À¯È¿Çϸé Ãß°¡ ÀÎÁõ ¾øÀÌ ÆäÀÌÁö¿¡ ´ëÇÑ ¾×¼¼½º°¡ Çã¿ëµË´Ï´Ù. ±×·¸Áö ¾ÊÀ¸¸é »ç¿ëÀÚ¿¡°Ô ÀÎÁõÀ» ´Ù½Ã ¿ä±¸ÇÕ´Ï´Ù.
- ¼ºñ½º °ü¸®¡ªPortal Server Á¦Ç° ÀÚüÀÇ ¼ºñ½º(Æ÷ÅÐ µ¥½ºÅ©Å¾, Rewriter, °Ë»ö ¹× NetMail)¸¦ Æ÷ÇÔÇÑ ±âº» ¹× ¸ÂÃã Á¦ÀÛ ¼ºñ½º¸¦ À§ÇÑ ±¸¼º ¸Å°³ º¯¼ö¸¦ ÁöÁ¤ÇÕ´Ï´Ù.
- Á¤Ã¥ °ü¸®¡ªºñÁî´Ï½º ÀÚ¿ø¿¡ ´ëÇÑ ¾×¼¼½º¸¦ Á¦¾îÇÏ´Â ±ÔÄ¢À» Á¤ÀÇ, ¼öÁ¤ ¶Ç´Â Á¦°ÅÇÕ´Ï´Ù.ÁýÇÕÀûÀ¸·Î ÀÌ·¯ÇÑ ±ÔÄ¢À» Á¤Ã¥À̶ó°í ÇÕ´Ï´Ù. Á¤Ã¥Àº ±ÔÄ¢ ±â¹Ý ¶Ç´Â Á¶Á÷ ±â¹ÝÀÏ ¼ö ÀÖÀ¸¸ç ±ÇÇÑÀ» Á¦°øÇϰųª Á¦ÇÑÀ» Á¤ÀÇÇÒ ¼ö ÀÖ½À´Ï´Ù.
ºñ±³: Portal Server 3.0 ¹× Portal Server 6.2
Ç¥ 6-1Àº Portal Server Á¦Ç°ÀÇ ÁÖ¿ä º¯°æ »çÇ׿¡ ´ëÇÑ °³¿äÀÔ´Ï´Ù. ÀÌÀü¿¡ Sun ONE Portal Server 3.0 (ÀÌÀü ¸íĪ iPlanet Portal Server 3.0) Á¦Ç°ÀÇ ÀϺο´´ø ¸¹Àº ±â´É°ú Ư¡µéÀÌ ÀÌÁ¦´Â Access Manager¿¡ Æ÷ÇԵǾú½À´Ï´Ù. Ç¥¿¡¼ ù ¹øÂ° ¿Àº °³³ä°ú ¿ë¾îÀÌ°í µÎ ¹øÂ° ¿Àº Portal Server 3.0 Á¦Ç°¿¡¼ ÀÌ·¯ÇÑ ¿ë¾î¿¡ ´ëÇÑ ±â´ÉÀ̳ª Ư¡À» Á¤ÀÇÇÏ¸ç ¼¼ ¹øÂ° ¿Àº Portal Server 6.2 Á¦Ç°¿¡¼ ±×¿¡ ÇØ´çÇÏ´Â ±â´É°ú Ư¡À» ¼³¸íÇÕ´Ï´Ù.
Âü°í
ÀÌ º¯°æ »çÇ×Àº Sun Java System 2003Q4 Á¦Ç°¿¡ Æ÷ÇԵǾúÀ¸¸ç ÀÌ Á¤º¸´Â ÇØ´ç Á¦Ç°ÀÇ »ç¿ëÀÚµéÀ» À§ÇØ º¸Á¸µË´Ï´Ù.
Ç¥ 6-1 Portal Server 3.0°ú Portal Server 6.2 ºñ±³
°³³ä ¶Ç´Â ¿ë¾î
Portal Server 3.0
Portal Server 6.2
¿ªÇÒ Æ®¸®
»ç¿ëÀÚ ¹× ÀÀ¿ë ÇÁ·Î±×·¥À» Á¶Á÷Çϱâ À§ÇØ Portal Server 3.0¿¡¼ ±¸¼ºÇÏ´Â °èÃþ. 4°¡Áö ¼öÁØÀÇ ¿ªÇÒ Æ®¸®:
¿ªÇÒ Æ®¸®ÀÇ °³³äÀº ´õ ÀÌ»ó Àû¿ëµÇÁö ¾Ê½À´Ï´Ù.
´ë½Å, Access Manager´Â Sun Java System Directory ServerÀÇ ±â´ÉÀ» Ȱ¿ëÇϱ⠶§¹®¿¡ DIT (Directory Information Tree)¸¦ »ç¿ëÇÏ¿© »ç¿ëÀÚ, Á¶Á÷, ÇÏÀ§ Á¶Á÷ µîÀ» ±¸¼ºÇÕ´Ï´Ù.
µµ¸ÞÀÎ/
Á¶Á÷Á÷¿øÀ̳ª °í°´°ú °°ÀÌ °øÅë ÀÌÇØ°ü°è¸¦ °¡Áø »ç¿ëÀÚÀÇ ÃÖ»óÀ§ Æí¼º ±×·ì. À̰ÍÀº DNS µµ¸ÞÀΰú ´Ù¸£¸ç Portal Server 3.0¿¡¼ »ç¿ëÀÚ¸¦ ³í¸®Àû Ä¿¹Â´ÏƼ·Î ±×·ìÈÇϱâ À§ÇØ »ç¿ëÇÏ´Â ¼ö´ÜÀÔ´Ï´Ù.
µµ¸ÞÀÎÀÇ °³³äÀº ´õ ÀÌ»ó Àû¿ëµÇÁö ¾Ê½À´Ï´Ù. ´ë½Å Access Manager Á¶Á÷ÀÌ ±â¾÷¿¡¼ ºÎ¼¿Í ÀÚ¿øÀ» °ü¸®Çϱâ À§ÇØ »ç¿ëÇÏ´Â °èÃþÀû ±¸Á¶ÀÇ ÃÖ»óÀ§¸¦ ´ëÇ¥ÇÕ´Ï´Ù.
¼³Ä¡ ½Ã¿¡ Access Manager°¡ ·çÆ® Á¢¹Ì¾î¸¦ ¹¯°í µµ¸ÞÀÎ À̸§¿¡¼ ±âº»°ªÀÌ ¾ò¾îÁý´Ï´Ù(¿¹¸¦ µé¾î, µµ¸ÞÀÎ sun.comÀÇ °æ¿ì ±âº»°ªÀº dc=sun, dc=comÀÔ´Ï´Ù). ¼³Ä¡ ÈÄ¿¡ Ãß°¡ Á¶Á÷À» ¸¸µé¾î º°µµ ±â¾÷À» °ü¸®ÇÒ ¼ö ÀÖ½À´Ï´Ù. »ý¼ºµÇ´Â ¸ðµç Á¶Á÷Àº ÃÖ»óÀ§ Á¶Á÷ ¾Æ·¡¿¡ ³õÀÔ´Ï´Ù. ÀÌ·¯ÇÑ ÇÏÀ§ Á¶Á÷ ³»¿¡¼ ´Ù¸¥ ÇÏÀ§ Á¶Á÷À» Áßø½Ãų ¼ö ÀÖ½À´Ï´Ù. Áßø ±¸Á¶ÀÇ ±íÀÌ¿¡´Â Á¦ÇÑÀÌ ¾ø½À´Ï´Ù.
¿ªÇÒ
±â´É¿¡ µû¶ó µµ¸ÞÀÎÀÇ ±¸¼º¿øÀ» ³ª´¯´Ï´Ù. ¿ªÇÒ¿¡´Â »ç¿ëÀÚÀÇ µ¥½ºÅ©Å¾ Á¤Ã¥À» Á¤ÀÇÇÏ´Â ¼Ó¼º°ú Á¤Ã¥ÀÇ ÁýÇÕÀÌ µé¾î ÀÖ½À´Ï´Ù.
»ç¿ëÀÚ¿¡°Ô Çã¿ëÇÒ ¼ö ÀÖ´Â ±Ç¸®¸¦ Æ÷ÇÔÇÕ´Ï´Ù. ¿©±â¿¡´Â Sun Java System Directory Server¿¡ ÀúÀåµÈ ID Á¤º¸ ¾×¼¼½º¿Í °ü¸® ¹× Access Manager Á¤Ã¥ ¸ðµâ¿¡ ÀÇÇØ º¸È£µÇ´Â ±ÇÇÑ ¾×¼¼½º°¡ Æ÷ÇԵ˴ϴÙ. Access Manager ¿ªÇÒÀº ±×¿Í ¿¬°üµÈ ÇÁ·ÎÇʵµ °¡Áö°í ÀÖÀ¸¸ç ¼ºñ½º Ŭ·¡½º ÅÛÇø®Æ®¿¡ ÀúÀåµË´Ï´Ù.
¿ªÇÒÀº Access Manager¿¡¼ ´Ù¸£°Ô Á¤ÀǵǸç ÀÌÀü¿¡ Áö¿øµÇÁö ¾Ê¾ÒÁö¸¸ ÇÑ »ç¿ëÀÚ°¡ ¿©·¯ ¿ªÇÒÀ» °¡Áú ¼ö ÀÖ½À´Ï´Ù.
¿ªÇÒ¿¡ ´ëÇÑ ±ÇÇÑÀº ACI (access control instructions)¿¡¼ Á¤Àǵ˴ϴÙ. Access Manager¿¡´Â ¸î °¡Áö ¹Ì¸® Á¤ÀÇµÈ ¿ªÇÒÀÌ Æ÷ÇԵǾî ÀÖ½À´Ï´Ù. Access Manager Äֿܼ¡¼ ¿ªÇÒÀÇ ACI¸¦ ÆíÁýÇÏ¿© DIT ³»ÀÇ ¾×¼¼½º ±ÇÇÑÀ» ÇÒ´çÇÒ ¼ö ÀÖ½À´Ï´Ù.
¼Ó¼º
Àü¿ª°ú »ç¿ëÀÚ ±¸¼º °¡´ÉÀÇ µÎ ¼Ó¼º À¯ÇüÀ» Áö¿øÇÕ´Ï´Ù. Àü¿ª ¼Ó¼ºÀº Àüü Ç÷§Æû¿¡ Àû¿ëµÇ°í ¼öÆÛ °ü¸®ÀÚ¸¸ÀÌ ±¸¼ºÇÕ´Ï´Ù. »ç¿ëÀÚ ±¸¼º °¡´É ¼Ó¼ºÀº ´ÙÀ½ ºÎºÐ¿¡¼ ¼³¸íÇÏ´Â °Íó·³ ¿ªÇÒ Æ®¸®ÀÇ ÇϺΠ¼öÁØ¿¡ Àû¿ëµË´Ï´Ù. À§ÀÓ ¹ÞÀº µµ¸ÞÀÎ °ü¸®ÀÚ°¡ µµ¸ÞÀÎ, »óÀ§ ¿ªÇÒ, ÇÏÀ§ ¿ªÇÒ ¹× »ç¿ëÀÚ ¼öÁØ¿¡ ÀÌ·¯ÇÑ ¼Ó¼ºÀ» ±¸¼ºÇÒ ¼ö ÀÖ½À´Ï´Ù. »ç¿ëÀÚ ¿ªÇÒ Æ®¸® ¼öÁØ¿¡¼ ¸î °¡Áö ¼Ó¼ºÀº °¢ »ç¿ëÀÚ¿¡ ÀûÇÕÇÏ°Ô »ç¿ëÀÚ Á¤ÀÇÇÒ ¼ö ÀÖ½À´Ï´Ù.
´ÙÀ½ À¯Çü Áß Çϳª°¡ µÉ ¼ö ÀÖ´Â Access Manager ¼Ó¼ºÀ» »ç¿ëÇÕ´Ï´Ù.
- Àü¿ª¡ªÀü¿ª ¼Ó¼º¿¡ Àû¿ëµÇ´Â °ªÀº Access Manager ±¸¼º Àü¹Ý¿¡ °ÉÃÄ Àû¿ëµÇ¸ç ¸ðµç ±¸¼ºµÈ Á¶Á÷¿¡ »ó¼ÓµË´Ï´Ù.
- µ¿Àû¡ªµ¿Àû ¼Ó¼ºÀº Access Manager ±¸¼ºµÈ ¿ªÇÒ ¶Ç´Â Á¶Á÷¿¡ ÇÒ´çÇÒ ¼ö ÀÖ½À´Ï´Ù. ¿ªÇÒÀÌ »ç¿ëÀÚ¿¡°Ô ÇÒ´çµÇ°Å³ª Á¶Á÷¿¡¼ »ç¿ëÀÚ°¡ ¸¸µé¾îÁú ¶§ µ¿Àû ¼Ó¼ºÀÌ »ç¿ëÀÚÀÇ Æ¯Â¡ÀÌ µË´Ï´Ù.
- Á¶Á÷¡ªÁ¶Á÷¿¡¸¸ ÇÒ´çµÇ´Â ¼Ó¼ºÀÔ´Ï´Ù. ÀÌ·¯ÇÑ Ãø¸é¿¡¼ ÀÌµé ¼Ó¼ºÀº µ¿Àû ¼Ó¼ºÀ¸·Î ÀÛ¿ëÇÕ´Ï´Ù. ±×·¯³ª ÀÌµé ¼Ó¼ºÀº ÇÏÀ§ Æ®¸®ÀÇ Ç׸ñ¿¡¼ »ó¼ÓÇÏÁö ¾Ê±â ¶§¹®¿¡ µ¿Àû ¼Ó¼º°ú´Â ´Ù¸¨´Ï´Ù.
- »ç¿ëÀÚ¡ªÀÌ ¼Ó¼ºÀº °¢ »ç¿ëÀÚ¿¡°Ô Á÷Á¢ ÇÒ´çµË´Ï´Ù. ÀÌ ¼Ó¼ºÀº ¿ªÇÒÀ̳ª Á¶Á÷¿¡¼ »ó¼ÓµÇÁö ¾ÊÀ¸¸ç ÀϹÝÀûÀ¸·Î °¢ »ç¿ëÀÚ¸¶´Ù ´Ù¸¨´Ï´Ù.
- Á¤Ã¥¡ªÁ¤Ã¥ ¼Ó¼ºÀº ±ÇÇÑ ¼Ó¼ºÀÔ´Ï´Ù. Á¤Ã¥ÀÌ ±¸¼ºµÇ¸é ¿ªÇÒÀ̳ª Á¶Á÷¿¡ ÇÒ´çÇÒ ¼ö ÀÖ½À´Ï´Ù. À̰ÍÀÌ µ¿Àû ¼Ó¼º°ú Á¤Ã¥ ¼Ó¼º »çÀÌÀÇ À¯ÀÏÇÑ Â÷ÀÌÁ¡ÀÔ´Ï´Ù. µ¿Àû ¼Ó¼ºÀº ¿ªÇÒÀ̳ª Á¶Á÷¿¡ Á÷Á¢ ÇÒ´çµÇ¸ç Á¤Ã¥ ¼Ó¼ºÀº Á¤Ã¥À» ±¸¼ºÇϴµ¥ »ç¿ëµÈ ´ÙÀ½ ¿ªÇÒÀ̳ª Á¶Á÷¿¡ Àû¿ëµË´Ï´Ù.
Á¤Ã¥
ÀÀ¿ë ÇÁ·Î±×·¥, µ¥½ºÅ©Å¾, NetFile, Netlet µî¿¡ ´ëÇÑ Æ÷ÅÐ ¾×¼¼½º Á¤Ã¥À» ±¸¼ºÇÕ´Ï´Ù.
´©°¡ ¾î¶² ÀÚ¿ø¿¡ ¾î¶² ÀÛ¾÷À» ÇÒ ¼ö ÀÖ´ÂÁö¸¦ Á¤ÀÇÇÏ´Â ±ÔÄ¢. Access Manager Á¤Ã¥ ¼ºñ½º¸¦ ÅëÇØ Á¶Á÷Àº ÀÌ·¯ÇÑ ±ÔÄ¢À̳ª Á¤Ã¥À» ¼³Á¤ÇÒ ¼ö ÀÖ½À´Ï´Ù. ÀϹÝÀûÀ¸·Î Á¤Ã¥Àº Á¶Á÷(¶Ç´Â ÇÏÀ§ Á¶Á÷) ¼öÁØ¿¡¼ ¸¸µé¾îÁ® Á¶Á÷ Æ®¸® Àüü¿¡ »ç¿ëµË´Ï´Ù. ¸í¸íµÈ Á¤Ã¥À» ¸¸µé±â À§Çؼ´Â ¸ÕÀú Á¤Ã¥À» ¸¸µé Á¶Á÷¿¡ ƯÁ¤ Á¤Ã¥ ¼ºñ½º¸¦ Ãß°¡ÇØ¾ß ÇÕ´Ï´Ù.
Sun Java System Identity Server 6.2¿¡¼´Â Á¤Ã¥ ¼ºñ½º°¡ Çã¿ë ¶Ç´Â °ÅºÎµÇ´Â URLÀÇ ¸ñ·Ï¸¸À¸·Î ±¸¼ºµË´Ï´Ù. Portal Server°¡ ÄÁÅÙÆ®¿¡ ´ëÇÑ Á¤Ã¥ ±â¹Ý µ¥½ºÅ©Å¾À» ±¸ÃàÇϱâ À§Çؼ´Â À̰ÍÀ¸·Î ÃæºÐÇÏÁö ¾Ê½À´Ï´Ù. À̰ÍÀÌ Ã¤³Î ¾×¼¼½º¿¡ ´ëÇÑ Á¤Ã¥ÀÌ µ¥½ºÅ©Å¾ÀÇ µð½ºÇ÷¹ÀÌ ÇÁ·ÎÇÊ¿¡ ±¸¼ºµÇ´Â ÀÌÀ¯ÀÔ´Ï´Ù. Portal Server 6 µ¥½ºÅ©Å¾Àº ¿©·¯ ¿ªÇÒ¿¡¼ ä³Î ¸ñ·ÏÀ» º´ÇÕÇÒ ¼ö ÀÖµµ·Ï ÇÏ´Â µð½ºÇ÷¹ÀÌ ÇÁ·ÎÇÊÀ» Áö¿øÇÕ´Ï´Ù. ¿¹¸¦ µé¾î, 25°³ÀÇ ¿ªÇÒÀÌ ÀÖ°í °¢ ¿ªÇÒ¿¡ ±×¿Í °ü·ÃµÈ ¾à°£ÀÇ Ã¤³ÎÀÌ ÀÖ´Â °æ¿ì ÀÌ·¯ÇÑ ¿ªÇÒÀ» ¸î °³¶óµµ °¡Áú ¼ö ÀÖµµ·Ï »ç¿ëÀÚ¸¦ ±¸¼ºÇÒ ¼ö ÀÖ°í À̵éÀÌ °®´Â µ¥½ºÅ©Å¾ÀÌ ¸ðµç ¿ªÇÒÀ» ÁýÇÕÀûÀ¸·Î Á¦°øÇÕ´Ï´Ù. º´ÇÕ Àǹ̷ÐÀº ´Ù¾çÇÑ ¿ªÇÒÀÇ Ã¤³ÎÀÌ °áÇÕ ¶Ç´Â º´ÇյǴ ¹æ½ÄÀ» Á¦¾îÇÕ´Ï´Ù. µð½ºÇ÷¹ÀÌ ÇÁ·ÎÇÊÀ» º´ÇÕÇϱâ À§ÇÑ ¸ñÀûÀ¸·Î Portal ServerÀÇ ¿ªÇÒ¿¡ °èÃþÀû Á¤·ÄÀÌ °Á¦µË´Ï´Ù. º´ÇÕÀº °¡Àå ³·Àº ¿ì¼± ¼øÀ§ÀÇ ¹®¼(ÃÖÇÏ ¹øÈ£)¿¡¼ ½ÃÀÛµÇ¾î °¡Àå ³ôÀº ¿ì¼± ¼øÀ§ÀÇ ÇÁ·ÎÇÊÀ» °®´Â »ç¿ëÀÚ(º£À̽º)¿¡ µµ´ÞÇÒ ¶§±îÁö ³ôÀº ¹øÈ£ÀÇ ¿ì¼± ¼øÀ§·Î ÁøÇàÇÕ´Ï´Ù. µð½ºÇ÷¹ÀÌ ÇÁ·ÎÇÊ º´ÇÕ¿¡ ´ëÇÑ ÀÚ¼¼ÇÑ ³»¿ëÀº 10 Àå, "µð½ºÇ÷¹ÀÌ ÇÁ·ÎÇÊ °ü¸®"¸¦ ÂüÁ¶ÇϽʽÿÀ.
±¸¼º ¿ä¼Ò/
¼ºñ½ºPortal Server 3.0ÀÇ 4°¡Áö ÁÖ¿ä ±¸¼º ¿ä¼Ò´Â ¼¹ö ÀÚü, ÇÁ·ÎÇÊ ¼¹ö, °ÔÀÌÆ®¿þÀÌ ¹× ¹æÈº®ÀÔ´Ï´Ù.
±¸¼º ¿ä¼Ò°¡ °øÅë À̸§ ÇÏ¿¡ Á¤ÀÇµÈ ¼Ó¼º ±×·ìÀÎ Access Manager ¼ºñ½º¿¡ ÀÇÇØ ±³Ã¼µÇ¾ú½À´Ï´Ù. ÀÌ ¼Ó¼ºÀº ¼ºñ½º°¡ Á¶Á÷¿¡ Á¦°øÇÏ´Â ¸Å°³ º¯¼ö¸¦ Á¤ÀÇÇÕ´Ï´Ù. Access Manager°¡ ¼ºñ½º ÇÁ·¹ÀÓ¿öÅ©ÀÔ´Ï´Ù.
Portal Server 6´Â ÀÎÁõ, »ç¿ëÀÚ °ü¸® ¹× Á¤Ã¥ °ü¸®¿Í °°Àº ÇÙ½É ¼ºñ½º¸¦ Á¦°øÇϱâ À§ÇØ, ±×¸®°í ÇÁ·¹ÀÓ¿öÅ©°¡ Portal Server¿¡¼ ƯÁ¤ ¼ºñ½º(µ¥½ºÅ©Å¾, NetMail, Rewriter ¹× °Ë»ö)¸¦ ½ÇÇàÇϱâ À§ÇØ Access Manager¿¡ ÀÇÁ¸ÇÕ´Ï´Ù.
°ü¸® ÀÎÅÍÆäÀ̽º
Portal Server 3.0 ±¸¼º ¿ä¼Ò¸¸À» °ü¸®Çϱâ À§ÇÑ °íÀ¯ °ü¸® ÄܼÖÀ» Á¦°øÇÕ´Ï´Ù.
¸í·ÉÁÙ ÀÎÅÍÆäÀ̽º´Â ipsadminÀÔ´Ï´Ù.
Access Manager °ü¸® ÄܼÖÀ» »ç¿ëÇÏ¿© Access Manager ¼ºñ½º, »ç¿ëÀÚ ¹× Á¤Ã¥, ±×¸®°í Portal Server¿¡¼ ƯÁ¤ ¼ºñ½º(µ¥½ºÅ©Å¾, NetMail, Rewriter ¹× °Ë»ö)¸¦ °ü¸®ÇÕ´Ï´Ù.
ipsadminÀ» ´ëüÇÏ´Â ¸í·ÉÁÙ ÀÎÅÍÆäÀ̽º´Â amadmin, dpadmin ¹× rwadminÀÔ´Ï´Ù.
ºñ±³: Portal Server 6.0 ¹× Portal Server 6.2
Ç¥ 6-2´Â Portal Server 6.0 Á¦Ç°°ú Portal Server 6.2 Á¦Ç° °£ÀÇ º¯°æ »çÇ׿¡ ´ëÇÑ °³¿ä¸¦ Á¦°øÇÕ´Ï´Ù. Ç¥¿¡¼ ù ¹øÂ° ¿Àº °³³ä°ú ¿ë¾îÀÌ°í µÎ ¹øÂ° ¿Àº Portal Server 6.0 Á¦Ç°¿¡¼ ÀÌ·¯ÇÑ ¿ë¾î¿¡ ´ëÇÑ ±â´ÉÀ̳ª Ư¡À» Á¤ÀÇÇÏ¸ç ¼¼ ¹øÂ° ¿Àº Portal Server 6.2 Á¦Ç°¿¡¼ ±×¿¡ ÇØ´çÇÏ´Â ±â´É°ú Ư¡À» ¼³¸íÇÕ´Ï´Ù.
Âü°í
ÀÌ º¯°æ »çÇ×Àº Sun Java System 2003Q4 Á¦Ç°¿¡ Æ÷ÇԵǾúÀ¸¸ç ÀÌ Á¤º¸´Â ÇØ´ç Á¦Ç°ÀÇ »ç¿ëÀÚµéÀ» À§ÇØ º¸Á¸µË´Ï´Ù.
Ç¥ 6-2 Portal Server 6.0°ú Portal Server 6 ºñ±³
°³³ä ¶Ç´Â ¿ë¾î
Sun Java System Portal Server 6.0
Portal Server 6
Á¤Ã¥
»ç¿ëÀÚ¿¡°Ô Á¤Ã¥À» ÇÒ´çÇÕ´Ï´Ù. Á¤Ã¥ÀÌ ¸í¸íµÇ°í ¸¸µé¾îÁö¸é Á¶Á÷À̳ª ¿ªÇÒ¿¡ ÇÒ´çÇÒ ¼ö ÀÖ½À´Ï´Ù. Á¶Á÷ ¼öÁØ¿¡¼ Á¤Ã¥À» ÇÒ´çÇϸé Á¶Á÷ÀÇ ¸ðµç °´Ã¼°¡ ±× ¼Ó¼ºÀ» »ç¿ëÇÒ ¼ö ÀÖ½À´Ï´Ù. Á¤Ã¥À» ¿ªÇÒ¿¡ ÇÒ´çÇÏ¸é ¿ªÇÒ ¼Ó¼ºÀ» Æ÷ÇÔÇÏ´Â ¸ðµç »ç¿ëÀÚ°¡ ±× ¼Ó¼ºÀ» »ç¿ëÇÒ ¼ö ÀÖ½À´Ï´Ù.
Á¶Á÷ÀÇ Á¤Ã¥ Á¤ÀÇ¿Í ÀÇ»ç °áÁ¤À» ´Ù¸¥ Á¶Á÷¿¡ À§ÀÓÇÕ´Ï´Ù. (¶Ç´Â ÀÚ¿ø¿¡ ´ëÇÑ Á¤Ã¥ ÀÇ»ç °áÁ¤À» ´Ù¸¥ Á¤Ã¥ Á¦Ç°¿¡ À§ÀÓÇÒ ¼ö ÀÖ½À´Ï´Ù.) À§Å¹ Á¤Ã¥Àº Á¤Ã¥ »ý¼º°ú Æò°¡ ¸ðµÎ¿¡¼ ÀÌ Á¤Ã¥ÀÇ À§ÀÓÀ» Á¦¾îÇÕ´Ï´Ù.
¾×¼¼½º ±ÇÇÑÀ» Á¤ÀÇÇÏ´Â ÀÏ¹Ý Á¤Ã¥À» ¸¸µì´Ï´Ù. ÀÏ¹Ý Á¤Ã¥Àº ¿©·¯ °¡Áö ±ÔÄ¢, ÁÖÁ¦ ¹× Á¶°ÇÀ¸·Î ±¸¼ºµÉ ¼ö ÀÖ½À´Ï´Ù.
ÀÎÁõ ¸Þ´º
Sun ONE Identity Server 5.1 °ü¸® Äֿܼ¡¼ Á¦°øÇÏ´Â ÀÎÁõ ¸Þ´º ±¸¼º ±â´ÉÀº »ç¿ëÀÚ°¡ ¼±ÅÃÇÏ´Â ÀÎÁõ ¸ðµâÀÇ ¸Þ´º¸¦ Áö¿øÇÕ´Ï´Ù.
¼±Åà °¡´ÉÇÑ À¯È¿ ÀÎÁõ ¸ðµâ ¸ñ·ÏÀ» ±¸¼ºÇØ¾ß ÇÏ´Â °æ¿ì, Sun Java System Identity Server °ü¸® ÄܼÖÀ» »ç¿ëÇÏ¿© ÀÎÁõ ¼öÁØ ¼Ó¼º¿¡¼¿Í °°Àº °ªÀ¸·Î °¢ ÀÎÁõ ¸ðµâÀ» ¼³Á¤ÇÕ´Ï´Ù. ÀÎÁõ ¸ðµâ ±¸¼º¿¡ ´ëÇÑ ³»¿ëÀº 6 Àå, "ÀÎÁõ, »ç¿ëÀÚ ¹× ¼ºñ½º °ü¸®"¸¦ ÂüÁ¶ÇϽʽÿÀ.
Access Manager Á¦ÇÑ
Access Manager¸¦ »ç¿ëÇÒ ¶§ ´ÙÀ½ Á¦ÇÑÀÌ µû¸¨´Ï´Ù.
- »çÀü Á¤ÀÇµÈ Access Manager ¿ªÇÒÀ» ¿©·¯ Á¶Á÷¿¡ º´·Ä·Î Àû¿ëÇÒ ¼ö ¾ø½À´Ï´Ù. ±×·¯³ª ¾î¶² ¿ªÇÒÀ» ÀÌ ¿ªÇÒÀÌ °ü·ÃµÈ Á¶Á÷ÀÇ ÇÏÀ§ Á¶Á÷¿¡ ÀÖ´Â »ç¿ëÀÚ¿¡°Ô ÇÒ´çÇÒ ¼ö ÀÖ½À´Ï´Ù. ¶ÇÇÑ »ç¿ëÀÚ Á¤ÀÇ ¿ªÇÒÀ» ¸¸µé°í ÇÊ¿äÇÑ ACI (Access Control Instructions)¸¦ Á¤ÀÇÇÏ¿© ¿ªÇÒ¿¡ ÇÊ¿äÇÑ ±ÇÇÑÀ» ºÎ¿©ÇÔÀ¸·Î½á ¿©·¯ µµ¸ÞÀÎÀÇ ÀÚ¿ø¿¡ ´ëÇÑ ¾×¼¼½ºµµ »ç¿ëÇÒ ¼ö ÀÖ½À´Ï´Ù.
- »ç¿ëÀÚ´Â ÇÑ Á¶Á÷¿¡ ¼ÓÇØ¾ß Çϸç ÀÌ Á¶Á÷¿¡¸¸ ¼ÓÇÒ ¼ö ÀÖ½À´Ï´Ù.
- °èÃþÀû ±ÔÄ¢Àº Áö¿øµÇÁö ¾Ê½À´Ï´Ù. ¿¹¸¦ µé¾î, ¿ªÇÒ A¿Í ¿ªÇÒ BÀÇ ÇÕ°ú °°µµ·Ï ¿ªÇÒ C¸¦ ¸¸µé ¼ö ¾øÀ¸¸ç ¿ªÇÒ A¿¡ ¸í½ÃÀûÀ¸·Î ÇÒ´çÇÏÁö ¾Ê°í ¿ªÇÒ C¸¦ °®´Â »ç¿ëÀÚ°¡ ¿ªÇÒ AÀÇ ÀÚ¿ø¿¡ ´ëÇÑ ¾×¼¼½º¸¦ °®µµ·Ï ÇÒ ¼ö ¾ø½À´Ï´Ù.
- RoleAdministratorRole¿¡ ´ëÇÑ ¾×¼¼½º ±ÇÇÑÀº ÇØ´ç ACI¸¦ Á÷Á¢ ÆíÁýÇØ¼¸¸ ±¸¼ºÇÒ ¼ö ÀÖ½À´Ï´Ù.
- ¿ªÇÒ °ü¸®ÀÚ(À§ÀÓ ¹ÞÀº °ü¸®ÀÚ)´Â Access Manager °ü¸® Äֿܼ¡ ·Î±×ÀÎÇÒ ¶§ ¸ðµç ¿ªÇÒ ¹× °ü·Ã ¼ºñ½º³ª µî·Ï Á¤º¸¿¡ ´ëÇÑ ¼öÁ¤ ±ÇÇÑ ¾øÀ̵µ °°Àº Á¶Á÷ ¾Æ·¡¿¡¼ º¼ ¼ö ÀÖ½À´Ï´Ù.
Access Manager ÀÎÅÍÆäÀ̽º
Access Manager °ü¸® ÄܼÖ
ÀÌ ºê¶ó¿ìÀú ±â¹Ý ÄܼÖÀº Portal Server ¼ºñ½º¸¦ Æ÷ÇÔÇÏ¿© Access Manager ±â¾÷À» °ü¸®Çϱâ À§ÇÑ ±×·¡ÇÈ »ç¿ëÀÚ ÀÎÅÍÆäÀ̽º¸¦ Á¦°øÇÕ´Ï´Ù. °ü¸® Äֿܼ¡´Â ¼ºñ½º, Á¤Ã¥ ¹× »ç¿ëÀÚ¸¦ ¸¸µé°í °ü¸®ÇÒ ¶§ »ç¿ëµÇ´Â ¿©·¯ °¡Áö ±ÇÇÑÀÇ ±âº» °ü¸®ÀÚ°¡ ÀÖ½À´Ï´Ù. (¿ªÇÒ¿¡ µû¶ó À§ÀÓ °ü¸®ÀÚ¸¦ Ãß°¡·Î ¸¸µé ¼ö ÀÖ½À´Ï´Ù.) ÀÚ¼¼ÇÑ ³»¿ëÀº 7 Àå, "À§ÀÓ °ü¸® ±¸¼º"À» ÂüÁ¶ÇϽʽÿÀ.
Access Manager °ü¸® Äֿܼ¡´Â À§Ä¡ Ç¥½Ã ¿µ¿ª, Ž»ö Ç¥½Ã ¿µ¿ª ¹× µ¥ÀÌÅÍ Ç¥½Ã ¿µ¿ªÀÇ 3ºÎºÐÀÌ ÀÖ½À´Ï´Ù. ÀÌ 3ºÎºÐÀ» ¸ðµÎ »ç¿ëÇÏ¿© µð·ºÅ丮¸¦ Ž»öÇÏ°í »ç¿ëÀÚ¿Í ¼ºñ½º ±¸¼ºÀ» ¼öÇàÇϸç Á¤Ã¥À» ¸¸µì´Ï´Ù.
ÀÚ¼¼ÇÑ ³»¿ëÀº 1 Àå, "Sun Java System Portal Server°ü¸® ¼Ò°³"¸¦ ÂüÁ¶ÇϽʽÿÀ.
Access Manager ¸í·ÉÁÙ
Access Manager ¸í·ÉÁÙ ÀÎÅÍÆäÀ̽º´Â ¼¹ö¸¦ °ü¸®ÇÏ´Â amadminÀÔ´Ï´Ù. ¶ÇÇÑ amadmin Àº XML ¼ºñ½º ÆÄÀÏÀ» µð·ºÅ丮¿¡ ·ÎµåÇÏ°í µð·ºÅ丮 Æ®¸®¿¡ ´ëÇØ Àϰý °ü¸® ÀÛ¾÷À» ¼öÇàÇÏ´Â µ¥¿¡µµ »ç¿ëµË´Ï´Ù. iPlanet Portal Server 3.0 ¸í·ÉÁÙ ÀÎÅÍÆäÀ̽º ipsadmin ¹× ipsserver´Â ´õ ÀÌ»ó »ç¿ëµÇÁö ¾Ê½À´Ï´Ù.
amadmin¿¡ ´ëÇÑ ÀÚ¼¼ÇÑ ³»¿ëÀº Access Manager ¼³¸í¼¸¦ ÂüÁ¶ÇϽʽÿÀ.
Access Manager °ü¸® Äֿܼ¡ ·Î±×ÀÎAccess Manager Äֿܼ¡´Â µÎ °¡Áö ¹æ¹ýÀ¸·Î ·Î±×ÀÎÇÒ ¼ö ÀÖ½À´Ï´Ù.
°ü¸® Äֿܼ¡ ·Î±×ÀÎÇÒ ¶§ Á¦°øµÇ´Â ±â´ÉÀº ¾×¼¼½º ±ÇÇÑ¿¡ ´Þ·ÁÀÖ½À´Ï´Ù. ¾×¼¼½º ±ÇÇÑÀº ÇÒ´çµÈ ACI³ª ¿ªÇÒÀ» ±âÁØÀ¸·Î °áÁ¤µË´Ï´Ù. ¿¹¸¦ µé¾î, ¼öÆÛ À¯Àú¿¡°Ô´Â °ü¸® ÄܼÖÀÇ ¸ðµç ±â´ÉÀÌ Ç¥½ÃµË´Ï´Ù. À§ÀÓ °ü¸®ÀÚ¿¡°Ô´Â ÀÌ ±â´ÉÀÇ ÀϺÎ(º¸Åë ÇÏÀ§ Á¶Á÷¿¡ ´ëÇÑ ±â´É)¸¸ Ç¥½ÃµË´Ï´Ù. ÃÖÁ¾ »ç¿ëÀÚ¿¡°Ô´Â ƯÁ¤ ¾ÆÀ̵𿡠°ü·ÃµÈ »ç¿ëÀÚ ¼Ó¼º¸¸ Ç¥½ÃµË´Ï´Ù.
ÇöÀç °ü¸® Äֿܼ¡ ·Î±×ÀÎÇÒ ¶§ µÎ °¡Áö URLÀ» »ç¿ëÇÒ ¼ö ÀÖ½À´Ï´Ù.
/amconsole URLÀº Access Manager °ü¸® Äֿܼ¡ ´ëÇÑ HTML ÆäÀÌÁö¸¦ ¸í½ÃÀûÀ¸·Î ¿äûÇÕ´Ï´Ù. /amconsoleÀ» »ç¿ëÇÏ¿© ·Î±×ÀÎÇÏ´Â °æ¿ì, °ü¸® ÄܼÖÀÌ ³ªÅ¸³ª°í »ç¿ëÀÚ°¡ ÀÎÁõÇÒ ¼ö ÀÖµµ·Ï URLÀÌ /amserver/UI/loginÀ¸·Î º¯°æµË´Ï´Ù. ±¸¼º¿¡ °ü°è ¾øÀÌ ÀÌ URLÀ» »ç¿ëÇÏ¿© °ü¸® Äֿܼ¡ ¾×¼¼½ºÇÒ ¼ö ÀÖ½À´Ï´Ù.
/amserver URLÀº Access Manager ¼ºñ½º¿¡ ´ëÇÑ HTML ÆäÀÌÁö¸¦ ¿äûÇÕ´Ï´Ù. Portal Server°¡ ¼³Ä¡µÉ ¶§ÀÇ ±âº» ¼³Á¤ÀÌ °ü¸® Äֿܼ¡ ·Î±×ÀÎÇϵµ·Ï ÀÌ URLÀ» ¸®µð·º¼ÇÇÏ´Â °ÍÀÌÁö¸¸ /amserver URLÀÌ Access Manager ¼ºñ½º¿¡ ¾×¼¼½ºÇϱ⠶§¹®¿¡ ÀÌ URLÀ» »ç¿ëÇÏ¿© ÄÜ¼Ö À̿ܿ¡ ´Ù¸¥ ¼ºñ½ºµµ »ç¿ë °¡´ÉÇϵµ·Ï ÇÒ ¼ö ÀÖ½À´Ï´Ù. ¿¹:
- »ç¿ëÀÚ°¡ À߸øµÈ ¼¼¼ÇÀ¸·Î ÀÀ¿ë ÇÁ·Î±×·¥¿¡ ¾×¼¼½ºÇÏ´Â °æ¿ì ÀÀ¿ë ÇÁ·Î±×·¥ÀÌ goto ¸Å°³ º¯¼ö¸¦ ÅëÇØ /amserver URL ¿äûÀ» amserver/UI/loginÀ¸·Î ¸®µð·º¼ÇÇÒ ¼ö ÀÖ½À´Ï´Ù. ¿¹¸¦ µé¾î, Portal Server µ¥½ºÅ©Å¾»Ó¸¸ ¾Æ´Ï¶ó Access Manager ¿¡ÀÌÀüÆ®µµ ÀÌ·¸°Ô ÀÛµ¿ÇÕ´Ï´Ù.
- °í°´Àº ¾î¶² ÀÀ¿ë ÇÁ·Î±×·¥À̳ª Æ÷Åп¡ ÁøÀÔÇÏ´Â ½ÃÀÛ À§Ä¡·Î »ç¿ëÀÚ¸¦ amserver/UI/loginÀ¸·Î ¿¬°á½Ãų ¼ö ÀÖ½À´Ï´Ù. ±×·¯¸é À̵éÀÇ ±âº» ¸®µð·º¼Ç URLÀÌ ¾î¶² Æ÷ÅÐ ÀÀ¿ë ÇÁ·Î±×·¥À̳ª »ç¿ëÀÚ Á¤ÀÇ ÀÀ¿ë ÇÁ·Î±×·¥ÀÏ ¼ö ÀÖ½À´Ï´Ù.
- »ç¿ëÀÚ Á¤ÀÇ ÀÀ¿ë ÇÁ·Î±×·¥ÀÌ ÀÎÁõÀ» À§ÇØ amserver/UI/loginÀ» Á÷Á¢ È£ÃâÇÒ ¼ö ÀÖ½À´Ï´Ù.
Access Manager °ü¸® Äֿܼ¡ ·Î±×ÀÎÇÏ·Á¸é
IP ÁÖ¼Ò¸¦ »ç¿ëÇÏ¿© °ü¸® Äֿܼ¡ ·Î±×ÀÎ ±¸¼º
¼¹öÀÇ IP ÁÖ¼Ò¸¦ »ç¿ëÇÏ¿© Access Manager °ü¸® Äֿܼ¡ ·Î±×ÀÎÇÒ ¼ö ¾ø½À´Ï´Ù. Access ManagerÀÇ ÄíŰ µµ¸ÞÀÎ ¼³Á¤ ¶§¹®ÀÔ´Ï´Ù.
±×·¯³ª °ü¸® Äֿܼ¡¼ ÄíŰ µµ¸ÞÀÎ ¸ñ·Ï¿¡ ·ÎÄà ȣ½ºÆ®ÀÇ IP ÁÖ¼Ò¸¦ Ãß°¡ÇÒ ¼ö ÀÖ½À´Ï´Ù.
ÀÌÁ¦ µµ¸ÞÀÎ À̸§ÀÌ ¾Æ´Ñ IP ÁÖ¼Ò·Î °ü¸® Äֿܼ¡ ¾×¼¼½ºÇÒ ¼ö ÀÖ½À´Ï´Ù.
±âº» Á¤º¸ º¸±âPortal ServerÀÇ ¹öÀü°ú ºôµå ³¯Â¥ ¹× jar ÆÄÀÏÀÇ ¹öÀü°ú ºôµå ³¯Â¥¿Í °°Àº Á¦Ç° °ü·Ã ±âº» Á¤º¸¸¦ Ç¥½ÃÇϱâ À§ÇØ ½ºÅ©¸³Æ®¸¦ »ç¿ëÇÒ ¼ö ÀÖ½À´Ï´Ù. ¹öÀü ½ºÅ©¸³Æ®´Â PortalServer-base/SUNWps/bin µð·ºÅ丮¿¡ ¼³Ä¡µÇ¸ç, ¿©±â¼ PortalServer-base ´Â Portal Server¸¦ ¼³Ä¡ÇÑ ±âº» µð·ºÅ丮ÀÔ´Ï´Ù. ±âº»°ªÀº /optÀÔ´Ï´Ù.
Á¦Ç° Á¤º¸¸¦ º¸·Á¸é
Portal ServerÀÇ ½ÃÀÛ ¹× ÁßÁöÀÌ Àý¿¡¼´Â Portal Server¸¦ ½ÃÀÛ ¹× ÁßÁöÇÏ´Â ¹æ¹ý¿¡ ´ëÇØ ¼³¸íÇÕ´Ï´Ù. À¥ ÄÁÅ×À̳ʿ¡ ´ëÇÑ ½ºÅ©¸³Æ®¸¦ »ç¿ëÇÏ¿© °¢ À¥ ÄÁÅ×ÀÌ³Ê ÀνºÅϽº¸¦ ´Ù½Ã ½ÃÀÛÇØ¾ß ÇÕ´Ï´Ù. ¿¹:
ÀÌ·¯ÇÑ ¸í·ÉÀº À¥ ÄÁÅ×À̳ʿ¡ µû¶ó ´Ù¸¦ ¼ö ÀÖ½À´Ï´Ù. ÀÚ¼¼ÇÑ ³»¿ëÀº À¥ ÄÁÅ×ÀÌ³Ê ¼³¸í¼¸¦ ÂüÁ¶ÇϽʽÿÀ.
Portal Server´Â ´Ù¾çÇÑ Ç÷§Æû ·ÎÄÌÀ» Áö¿øÇÕ´Ï´Ù. ¼³Ä¡µÈ ±âº»°ª ÀÌ¿ÜÀÇ °ªÀ¸·Î Portal Server¸¦ ½ÃÀÛÇÏ´Â ¹æ¹ýÀº Sun Java System Portal Server 6 2005Q1 Developer’s Guide¸¦ ÂüÁ¶ÇϽʽÿÀ.
Access Manager ¼ºñ½º °ü¸®ÀÌ Àý¿¡¼´Â Portal Server¿¡¼ »ç¿ëµÇ´Â Access Manager ¼ºñ½º¿¡ ´ëÇØ ¼Ò°³ÇÕ´Ï´Ù. ÀÚ¼¼ÇÑ ³»¿ëÀº Access Manager ¼³¸í¼¸¦ ÂüÁ¶ÇϽʽÿÀ.
¼³Ä¡ ¹× Sun Java System Web Server ÆÐŰ¡
- Access Manager°¡ ¼³Ä¡µÇ¾î ÀÖÁö ¾ÊÀ¸¸é Portal Server ¼³Ä¡ ÇÁ·Î±×·¥ÀÌ Access Manager ¼³Ä¡ ÇÁ·Î±×·¥À» ½ÇÇàÇÕ´Ï´Ù.
- Portal Server´Â Access Manager¿Í À¥ ÄÁÅ×À̳ʸ¦ °øÀ¯ÇÕ´Ï´Ù. À¥ ÄÁÅ×À̳ʴ µ¿½Ã¼º, ¹èÆ÷, ¶óÀÌÇÁ»çÀÌŬ °ü¸®, º¸¾È, Æ®·£Àè¼Ç ¹× ±âŸ ¼ºñ½º¸¦ Æ÷ÇÔÇÏ¿© À¥ ±¸¼º ¿ä¼ÒÀÇ ·±Å¸ÀÓ È¯°æÀ» ÁöÁ¤ÇÕ´Ï´Ù.
- Portal Server´Â Access Manager°¡ Á¦°øÇÏ´Â JVM ¹× ±âŸ ±¸¼º ¿ä¼Ò¸¦ »ç¿ëÇÕ´Ï´Ù.
»ç¿ëÀÚ °ü¸®
- Portal Server´Â Access Manager API¸¦ »ç¿ëÇÏ¿© ±× ÇÁ·ÎÇÊ Á¤º¸¸¦ Access Manager¿¡ ÀúÀåÇÕ´Ï´Ù.
- Portal Server´Â Access ManagerÀÇ ´ÙÁß ¿ªÇÒ Áö¿øÀ» Ȱ¿ëÇÕ´Ï´Ù.
- Portal Server´Â ¿¹¸¦ µé¾î givenName°ú °°Àº °íÀ¯ÇÏÁö ¾ÊÀº °³¹æµÈ Ç¥ÁØ ½ºÅ°¸¶ ¼Ó¼ºÀ» »ç¿ëÇÕ´Ï´Ù.
- Access Manager´Â LDAP µð·ºÅ丮¿¡ Á÷Á¢ ¾×¼¼½º¸¦ Á¦°øÇÕ´Ï´Ù.
´ÜÀÏ »çÀοÂ/ÀÎÁõ
¼ºñ½º °ü¸®
Portal Server 6´Â ´ÙÀ½ Access Manager ¼ºñ½º¸¦ Á¤ÀÇÇÕ´Ï´Ù.
- µ¥½ºÅ©Å¾—Æ÷ÅÐ ÇÁ·ÐÆ® ¿£µåÀÌ¸ç Æ÷Åп¡ ´ëÇÑ ±âº» ÃÖÁ¾ »ç¿ëÀÚ ÀÎÅÍÆäÀ̽ºÀÔ´Ï´Ù. Æ÷ÅÐ µ¥½ºÅ©Å¾ ¼³Ä¡ ¹× °ü¸®¿¡ ´ëÇÑ ÀÚ¼¼ÇÑ ³»¿ëÀº 8 Àå, "Æ÷ÅÐ µ¥½ºÅ©Å¾ ¼ºñ½º °ü¸®"¸¦ ÂüÁ¶ÇϽʽÿÀ.
- NetMail—ÀÎÅͳݿ¡¼ IMAP ¹× SMTP ¸ÞÀÏ ¼¹ö¿¡ ¾×¼¼½ºÇÏ¿© »ç¿ëÀÚµéÀÌ Æ÷ÅÐÀ» ÅëÇØ ¸ÞÀÏÀ» ¾×¼¼½ºÇÏ°Ô ÇÒ ¼ö ÀÖ½À´Ï´Ù. NetMail ¼³Ä¡¿Í °ü¸®¿¡ ´ëÇÑ ÀÚ¼¼ÇÑ ³»¿ëÀº 11 Àå, "NetMail ¼ºñ½º °ü¸®"¸¦ ÂüÁ¶ÇϽʽÿÀ.
- Rewriter—°ü¸®ÀÚ°¡ ÀûÀýÇÑ ¾×¼¼½º¸¦ Á¦°øÇϱâ À§ÇØ URLÀ» ´Ù½Ã ¾²µµ·Ï ¼³Á¤ÇÑ ±ÔÄ¢À» ±¸ÇöÇÕ´Ï´Ù. RewriterÀÇ ¼³Ä¡¿Í °ü¸®¿¡ ´ëÇÑ ÀÚ¼¼ÇÑ ³»¿ëÀº 12 Àå, "Rewriter ¼ºñ½º °ü¸®"¸¦ ÂüÁ¶ÇϽʽÿÀ.
- °Ë»ö—»ç¿ë °¡´ÉÇÑ ¹®¼¿¡ ´ëÇÑ ±âº» ¹× °í±Þ °Ë»ö ä³ÎÀ» Æ÷ÇÔÇÑ Portal Server °Ë»ö ±â´ÉÀ» Á¦°øÇÕ´Ï´Ù. °Ë»ö ¼ºñ½ºÀÇ ¼³Ä¡¿Í °ü¸®¿¡ ´ëÇÑ ÀÚ¼¼ÇÑ ³»¿ëÀº 13 Àå, "°Ë»ö ¿£Áø ¼ºñ½º °ü¸®"¸¦ ÂüÁ¶ÇϽʽÿÀ.
Portal Server »ç¿ëÀÚ °ü¸®DIT (Directory Information Tree)´Â »ç¿ëÀÚ, Á¶Á÷, ÇÏÀ§ Á¶Á÷ µîÀ» ³í¸®Àû ¶Ç´Â °èÃþÀû ±¸Á¶·Î ü°èÈÇÏ¿© ÀÌ·¯ÇÑ ¿ªÇÒÀ» °®°Å³ª ÀÌ·¯ÇÑ Á¶Á÷ ³»¿¡ Æ÷ÇÔµÈ »ç¿ëÀÚ¸¦ È¿°úÀûÀ¸·Î °ü¸®Çϰí ÀûÇÕÇÑ ¾×¼¼½º¸¦ ÇÒ´çÇÒ ¼ö ÀÖµµ·Ï ÇÕ´Ï´Ù. ÀÌ Àý¿¡¼´Â Á¶Á÷, ÇÏÀ§ Á¶Á÷ ¹× ¿ªÇÒÀÇ ±â´É°ú ´É·Â¿¡ ´ëÇÑ Á¤º¸¿Í ÇÔ²² Á¶Á÷, ¿ªÇÒ ¹× »ç¿ëÀÚ¸¦ ¸¸µé°í °ü¸®Çϱâ À§ÇÑ ÀýÂ÷¸¦ Á¦°øÇÏ¿© Æ÷ÅÐ ¼¹ö ±¸ÇöÀÇ ±âÀú¸¦ ÀÌ·ç´Â µð·ºÅ丮 ±¸Á¶ ¶Ç´Â Æ®¸®¸¦ ½±°Ô °èȹÇϱâ À§ÇÑ Á¤º¸¸¦ Á¦°øÇÕ´Ï´Ù.
Âü°í
Portal Server 6´Â Á¶Á÷À» Áö¿øÇÕ´Ï´Ù. ÀÌÀü¿¡ Portal Server 3.0¿¡¼´Â µµ¸ÞÀÎÀÇ °³³äÀ» »ç¿ëÇß½À´Ï´Ù.
Access Manager¿¡¼ Á¶Á÷ Æ®¸®ÀÇ ÃÖ»óÀ§´Â ¼³Ä¡ ½Ã¿¡ ÁöÁ¤µË´Ï´Ù. ¼³Ä¡ ÈÄ¿¡ Ãß°¡ Á¶Á÷À» ¸¸µé¾î º°µµ ±â¾÷À» °ü¸®ÇÒ ¼ö ÀÖ½À´Ï´Ù. »ý¼ºµÇ´Â ¸ðµç Á¶Á÷Àº ÃÖ»óÀ§ Á¶Á÷ ¾Æ·¡¿¡ ³õÀÔ´Ï´Ù. ÀÌ·¯ÇÑ ÇÏÀ§ Á¶Á÷ ³»¿¡¼ ´Ù¸¥ ÇÏÀ§ Á¶Á÷À» Áßø½Ãų ¼ö ÀÖ½À´Ï´Ù. Áßø ±¸Á¶ÀÇ ±íÀÌ¿¡´Â Á¦ÇÑÀÌ ¾ø½À´Ï´Ù.
Âü°í
Æ®¸®ÀÇ ÃÖ»óÀ§¸¦ isp¶ó°í ºÎ¸¦ ÇÊ¿ä´Â ¾ø½À´Ï´Ù. ¾î¶»°Ôµµ ºÎ¸¦ ¼ö ÀÖ½À´Ï´Ù. ±×·¯³ª ¿¹¸¦ µé¾î ispÀÇ ÀϹÝÀû ÃÖ»óÀ§·Î Æ®¸®°¡ ±¸¼ºµÈ °æ¿ì¿¡ Æ®¸® ³»ÀÇ Á¶Á÷µéÀÌ ¿ªÇÒÀ» °øÀ¯ÇÒ ¼ö ÀÖ½À´Ï´Ù.
¿ªÇÒÀº ÀÀ¿ë ÇÁ·Î±×·¥¿¡ ´õ¿í È¿°úÀûÀÌ°í ½±°Ô »ç¿ëÇϵµ·Ï ¼³°èµÈ »õ·Î¿î ±×·ìÈ ¸ÞÄ¿´ÏÁòÀÔ´Ï´Ù. °¢ ¿ªÇÒ¿¡´Â ÀÌ ¿ªÇÒÀ» ¼ÒÀ¯ÇÏ´Â ±¸¼º¿ø ¶Ç´Â Âü°¡ÀÚ°¡ ÀÖ½À´Ï´Ù. ±×·ì¿¡¼¿Í ¸¶Âù°¡Áö·Î ¿ªÇÒ ±¸¼º¿øÀ» ¸í½ÃÀûÀ¸·Î ¶Ç´Â µ¿ÀûÀ¸·Î ÁöÁ¤ÇÒ ¼ö ÀÖ½À´Ï´Ù. ¿ªÇÒ ¸ÞÄ¿´ÏÁòÀº Ç׸ñÀÌ ±¸¼º¿øÀÎ ¸ðµç ¿ªÇÒ Á¤ÀÇÀÇ DNÀ» Æ÷ÇÔÇÏ´Â nsRole ¼Ó¼ºÀ» ÀÚµ¿À¸·Î »ý¼ºÇÕ´Ï´Ù. °¢ ¿ªÇÒ¿¡´Â »ç¿ëÀÚ¿¡°Ô ºÎ¿©ÇÒ ¼ö ÀÖ´Â ±Ç¸®°¡ Æ÷ÇԵ˴ϴÙ. Portal Server 6¿¡¼´Â ÇÑ »ç¿ëÀÚ¿¡°Ô ¿©·¯ ¿ªÇÒÀ» ÇÒ´çÇÒ ¼ö ÀÖ½À´Ï´Ù. ¿ªÇÒ¿¡ ´ëÇÑ ±ÇÇÑÀº ACI (Access Control Instructions)¿¡¼ Á¤Àǵ˴ϴÙ. Portal Server¿¡´Â ¸î °¡Áö ¹Ì¸® Á¤ÀÇµÈ ¿ªÇÒÀÌ Æ÷ÇԵǾî ÀÖ½À´Ï´Ù. Access Manager Äֿܼ¡¼ ¿ªÇÒÀÇ ACI¸¦ ÆíÁýÇÏ¿© DIT ³»ÀÇ ¾×¼¼½º ±ÇÇÑÀ» ÇÒ´çÇÒ ¼ö ÀÖ½À´Ï´Ù. ³»Àå ¿¹Á¦·Î Top-level Admin Role ¹× Top-level Help Desk Admin RoleÀÌ Æ÷ÇԵǾî ÀÖ½À´Ï´Ù. Àüü Á¶Á÷¿¡¼ °øÀ¯ÇÒ ¼ö ÀÖ´Â ´Ù¸¥ ¿ªÇÒÀ» ¸¸µé ¼ö ÀÖ½À´Ï´Ù.
Á¶Á÷, ÇÏÀ§ Á¶Á÷ ¹× ¿ªÇÒ °èȹ
DIT ±¸Á¶¸¦ °èȹÇÒ ¶§ °èÃþÀû Æ®¸® ±¸Á¶ ¶Ç´Â Æò¸éÀû Æ®¸® ±¸Á¶ Áß ¾î´À °ÍÀ» »ç¿ëÇÒÁö °áÁ¤ÇØ¾ß ÇÕ´Ï´Ù. ÀϹÝÀûÀ¸·Î, °¡´ÉÇÏ¸é Æ®¸®¸¦ Æò¸éÀûÀ¸·Î ¸¸µé·Á°í ³ë·ÂÇØ¾ß ÇÕ´Ï´Ù. ±×·¯³ª Á¶Á÷ÀÇ ±Ô¸ð°¡ Ä¿Áö¸é¼ »ç¿ëÀÚ ¾×¼¼½º¸¦ ½±°Ô Çã°¡ÇÏ°í °ü¸®Çϱâ À§ÇØ ¾î´À Á¤µµÀÇ °èÃþȰ¡ Áß¿äÇØÁý´Ï´Ù. DIT ±¸Á¶¸¦ ±¸¼ºÇϱâ À§ÇØ Access Manager¿¡´Â Á¶Á÷(¶Ç´Â ÇÏÀ§ Á¶Á÷), ¿ªÇÒ ¹× »ç¿ëÀÚÀÇ 3°¡Áö ÁÖ¿ä ±¸Á¶ Ç׸ñÀÌ ÀÖ½À´Ï´Ù. ±¸Á¶¸¦ °èȹÇϱâ Àü¿¡ °¢ Ç׸ñÀÇ ±â´É, Ư¼º ¹× »óÈ£ °ü°è¸¦ ÀÌÇØÇØ¾ß ÇÕ´Ï´Ù.
Á¶Á÷ ¹× ÇÏÀ§ Á¶Á÷
- ±â¾÷ ¶Ç´Â Á¶Á÷ÀÇ °èÃþÀ» ´ëÇ¥Çϰųª ¸ðµ¨¸µÇÒ ¼ö ÀÖ´Â °èÃþÀû °ü°è¸¦ ¸¸µé ¼ö ÀÖ½À´Ï´Ù.
- ÇØ´ç °ü¸®ÀÚ°¡ ¸¸µç »ç¿ëÀÚ¸¦ Æ÷ÇÔÇÒ ¼ö ÀÖ½À´Ï´Ù. °ü¸®¿Í ¾×¼¼½º Á¦¾î ¸ñÀûÀ¸·Î »ç¿ëÀÚ¸¦ ±×·ìÈÇÏ´Â ¹æ¹ýÀ¸·Î À̸¦ »ç¿ëÇÒ ¼ö ÀÖ½À´Ï´Ù. ºñ½ÁÇÑ Çʿ伺À» °¡Áø »ç¿ëÀÚ¸¦ ÇÔ²² ±×·ìÈÇÏ¸é ´ë°³ ¾×¼¼½º¸¦ °ü¸®Çϰí Á¦¾îÇϱⰡ ´õ ½¬¿öÁý´Ï´Ù.
- °ü¸®ÀÚ°¡ °ü¸® ÄܼÖÀ» ÅëÇØ »óÀ§ Á¶Á÷À̳ª ÇÏÀ§ Á¶Á÷¿¡¼ ½±°Ô ¸¸µé°í Á¦°ÅÇÒ ¼ö ÀÖ½À´Ï´Ù. ±×·¯³ª Á¦°ÅÇÏ´Â °æ¿ì ¸ðµç Á¾¼Ó Á¶Á÷°ú »ç¿ëÀÚµµ Á¦°ÅµÇ±â ¶§¹®¿¡ À̸§À̳ª ±¸Á¶°¡ º¯°æµÇ±â ½¬¿î °æ¿ì¿¡´Â ÀûÇÕÇÏÁö ¾Ê½À´Ï´Ù.
¿ªÇÒ
- »ç¿ëÀÚ¿¡°Ô ±ÇÇÑÀ» ÇÒ´çÇÒ ¼ö ÀÖ½À´Ï´Ù. ÇÑ Á¶Á÷ ³»¿¡¼ »ç¿ëÀÚ¿¡°Ô ƯÁ¤ ±ÇÇÑ ÁýÇÕÀ» Á¦°øÇϵµ·Ï ¿©·¯ ¿ªÇÒÀ» Á¤ÀÇÇÒ ¼ö ÀÖ½À´Ï´Ù.
- ACI (Access Control Instructions)¸¦ Á÷Á¢ ÆíÁýÇÏ¿© ±ÇÇÑÀ» Á¤ÀÇÇÕ´Ï´Ù. Á¤ÀÇÇÑ ÈÄ¿¡´Â Á¶Á÷, ÇÏÀ§ Á¶Á÷ ¶Ç´Â »ç¿ëÀÚ¿¡°Ô ½±°Ô ÇÒ´ç ¶Ç´Â ÇÒ´ç ÇØÁ¦ÇÒ ¼ö ÀÖ½À´Ï´Ù. ÇÑ °³Ã¼¿¡¼ ¿ªÇÒÀ» ÇÒ´ç ÇØÁ¦ÇÏ´Â °ÍÀº ÇØ´ç °³Ã¼¿¡¸¸ Àû¿ëµË´Ï´Ù. ¿ªÇÒÀº °è¼Ó Á¸ÀçÇÏ¿© ÇÒ´çµÈ »óÅ·Π³²À¸¸ç ´Ù¸¥ ½Çü¿¡ ´Ù½Ã ÇÒ´çÇÒ ¼ö Àֱ⠶§¹®¿¡ ¾×¼¼½º¸¦ ÀÚÁÖ º¯°æÇØ¾ß ÇÏ´Â Á¶Á÷¿¡ ´õ ÀûÇÕÇÕ´Ï´Ù.
- ä³ÎÀÇ Ç¥½Ã ¿©ºÎ¿Í »ç¿ëÀÚÀÇ Ã¤³Î µ¤¾î¾²±â ¿©ºÎ¸¦ Á¦¾îÇÒ ¼ö ÀÖ½À´Ï´Ù. ±âº»ÀûÀ¸·Î XML µð½ºÇ÷¹ÀÌ ÇÁ·ÎÇÊ ³»ÀÇ ¼³Á¤À¸·Î XML ¹®¼ÀÇ Ã¤³ÎÀ» º¸À̵µ·Ï ¶Ç´Â º¸ÀÌÁö ¾Êµµ·Ï ÇÒ ¼ö ÀÖ½À´Ï´Ù. ¶ÇÇÑ XML ¹®¼ÀÇ ±âº» ä³ÎÀÌ µ¤¾î¾º¿öÁö´Â °ÍÀ» ¹æÁöÇÒ ¼ö ÀÖ½À´Ï´Ù.
»ç¿ëÀÚ
- »ç¶÷ÀÇ ½Å¿øÀ» ³ªÅ¸³À´Ï´Ù. °ü¸®ÀÚ°¡ Á¶Á÷ ¶Ç´Â ÇÏÀ§ Á¶Á÷ ³»¿¡¼ ¸¸µé ¼ö ÀÖ½À´Ï´Ù.
- ¿©·¯ ¿ªÇÒ°ú ¿¬°ü½Ãų ¼ö ÀÖÁö¸¸ »ç¿ëÀÚ´Â ±× ¿ªÇÒ ¹üÀ§ ³»¿¡ ÀÖ¾î¾ß ÇÕ´Ï´Ù. ¶ÇÇÑ »ç¿ëÀÚ´Â ÇÏÀ§ Á¶Á÷¿¡¼ ¼Ó¼ºÀ» »ó¼ÓÇÕ´Ï´Ù.
- ÇϳªÀÇ Á¶Á÷ ¶Ç´Â ÇÏÀ§ Á¶Á÷¿¡¸¸ ¼ÓÇÕ´Ï´Ù. ±×·¯³ª °ü¸®ÀÚ¿¡°Ô ±ÇÇÑÀÌ ÀÖ´Ù¸é »ç¿ëÀÚ¸¦ ÇÑ Á¶Á÷¿¡¼ ´Ù¸¥ Á¶Á÷À¸·Î ½±°Ô À̵¿½Ãų ¼ö ÀÖ½À´Ï´Ù.
- ä³ÎÀÇ Ç¥½Ã ¿©ºÎ¸¦ °³º°ÈÇÒ ¼ö ÀÖ½À´Ï´Ù.
½Ã³ª¸®¿À 1: ÇÏÀ§ Á¶Á÷°ú ¿ªÇÒÀÌ ÀÖ´Â °èÃþÀû ±¸Á¶
°¡´ÉÇÏ¸é Æò¸éÀû ±¸Á¶¸¦ Ãß±¸ÇØ¾ß °ÚÁö¸¸ ÇÊ¿äÇÑ ±×·ìȸ¦ ¾ò±â À§ÇØ ¾î´À Á¤µµÀÇ °èÃþÀÌ À¯¿ëÇÕ´Ï´Ù. °èÃþÀû ±¸Á¶¸¦ ¸¸µé±â À§ÇÑ °í±Þ ´Ü°è´Â ´ÙÀ½°ú °°½À´Ï´Ù.
- ÃÖ»óÀ§ Á¶Á÷À» ¸¸µì´Ï´Ù.
- ±â¾÷¿¡¼ »ç¿ëÀÚÀÇ ¸ðµç ±â´ÉÀû ¶Ç´Â Á¶Á÷Àû ±×·ìÀ» È®ÀÎÇÏ°í ¾î¶² ±×·ì¿¡ DITÀÇ ±¸Á¶Àû ½Çü¸¦ ¸¸µé·Á´ÂÁö Áï, ƯÁ¤ ±ÇÇÑÀ» °¡Á®¾ß ÇÏ´Â ±×·ìÀ» °áÁ¤ÇÕ´Ï´Ù. ÀϹÝÀûÀ¸·Î ÀÌ´Â ±â¾÷¿¡¼ °¡Àå Å« ÇÏÀ§ ºÎ¼¿Í À̸¦ °ü¸®Çϱâ À§ÇÑ °ü¸®ÀÚ¿©¾ß ÇÕ´Ï´Ù. À籸¼º°ú À̸§ º¯°æÀ¸·Î ¹®Á¦°¡ »ý±âÁö ¾Êµµ·Ï ÀϹÝÀûÀÌ°í ±â´ÉÀûÀÎ À̸§À» »ç¿ëÇϽʽÿÀ.
- ÃÖ»óÀ§ Á¶Á÷°ú ¾î´À Á¤µµÀÇ ¼Ò¼Ó °ü°è¸¦ °®´Â °¢ DIT ½Çü¿¡ ´ëÇØ ÇÏÀ§ Á¶Á÷(Áï, Access Manager ¹üÀ§¿¡¼ ¶Ç ´Ù¸¥ Á¶Á÷ ¾Æ·¡¿¡ ÀÖ´Â Á¶Á÷) ¶Ç´Â ÀÌ ½Çü¿¡ ´ëÇÑ ¿ªÇÒÀ» ¸¸µì´Ï´Ù.
´ÙÀ½ Áöħ¿¡ µû¶ó ÇÏÀ§ Á¶Á÷ ¶Ç´Â ¿ªÇÒÀ» »ç¿ëÇÒÁö ¿©ºÎ¸¦ °áÁ¤ÇÕ´Ï´Ù.
- À¯»çÇÑ ¾×¼¼½º Çʿ伺À» °®´Â »ç¿ëÀÚ ±×·ìÀ» Æ÷ÇÔÇÏ´Â ½ÇüÀÇ ÇÏÀ§ Á¶Á÷À» Á¤ÀÇÇÕ´Ï´Ù. ÀϹÝÀûÀ¸·Î ÀÌ´Â ´ÜÀÏÇÑ ±ÇÇÑ ÁýÇÕÀ» ÇÒ´çÇØ¾ß ÇÏ´Â Æø ³ÐÀº ±â´ÉÀû ¶Ç´Â Á¶Á÷Àû ½ÇüÀÔ´Ï´Ù.
- ÇÏÀ§ Á¶Á÷ÀÇ »ç¿ëÀÚ°¡ ÀÌ ¿ªÇÒÀ» °¡Áú ¼ö ÀÖ´Â °æ¿ì¿¡ ¿ªÇÒÀ» Á¤ÀÇÇÕ´Ï´Ù. ¸ðµç »ç¿ëÀÚ´Â Á¶Á÷ ¶Ç´Â ÇÏÀ§ Á¶Á÷¿¡ ¼ÓÇÕ´Ï´Ù. ¾î¶² ¿ªÇÒµµ ÇÒ´çµÇÁö ¾ÊÀ¸¸é »ç¿ëÀÚ´Â ÀÚ½ÅÀÌ Á¸ÀçÇÏ´Â Á¶Á÷¿¡¼ ±ÇÇÑÀ» »ó¼ÓÇÕ´Ï´Ù. µû¶ó¼, »ç¿ëÀÚ°¡ ±×µéÀÌ Á¸ÀçÇÏ´Â Á¶Á÷°ú »óÀ§ Á¶Á÷ÀÇ ¼Ó¼ºÀ» °®µµ·Ï ÇÏ·Á¸é ¿ªÇÒ ¸ÞÄ¿´ÏÁòÀ» »ç¿ëÇÏ¿© À̵鿡°Ô ¿©·¯ ¿ªÇÒÀ» ÇÒ´çÇØ¾ß ÇÕ´Ï´Ù.
- °¢ ¿ªÇÒ¿¡ ´ëÇØ ¿ªÇÒÀ» °ü¸®ÇÒ RoleAdministratorRoleÀ» Á¤ÀÇÇÕ´Ï´Ù. ±×·± ´ÙÀ½ ACI¸¦ ÀûÇÕÇÏ°Ô ¼³Á¤ÇÕ´Ï´Ù(°ü¸® ±ÇÇÑ: »ç¿ëÀÚ Ãß°¡ ¶Ç´Â »èÁ¦, ¿ªÇÒ ¼Ó¼º ¼öÁ¤ µî).
- ±â¾÷¿¡ ¾×¼¼½ºÇÒ »ç¿ëÀÚ¸¦ Á¤ÀÇÇÕ´Ï´Ù. »ç¿ëÀÚ°¡ ±×µéÀÇ Á¶Á÷¿¡¼ ±ÇÇÑÀ» »ó¼ÓÇÏ´Â °æ¿ì À̵éÀ» ÇØ´ç Á¶Á÷¿¡ ³õ½À´Ï´Ù. »ç¿ëÀÚ°¡ ¿ªÇÒ ÇÒ´çÀ» ÅëÇØ ±ÇÇÑÀ» ¾ò´Â °æ¿ì À̵éÀÌ ¿ªÇÒÀÇ ¹üÀ§ ³»¿¡ ÀÖµµ·Ï Áï, ¿ªÇÒÀÌ Á¤ÀÇµÈ Á¶Á÷ ¶Ç´Â ÇÏÀ§ Á¶Á÷ ³»¿¡ ÀÖµµ·Ï À§Ä¡½ÃÄÑ¾ß ÇÕ´Ï´Ù.
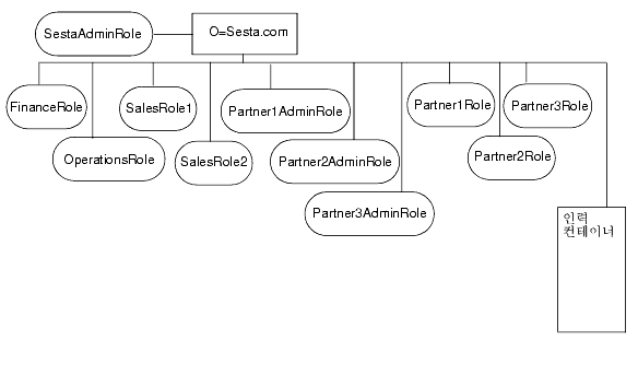
±×¸² 6-1Àº °èÃþÀû µð·ºÅ丮 ±¸Á¶¸¦ º¸¿©ÁÝ´Ï´Ù. ÀÌ ±×¸²¿¡¼ ÃÖ»óÀ§ Á¶Á÷Àº Sesta.comÀÔ´Ï´Ù. ÃÖ»óÀ§ ¹Ù·Î ¾Æ·¡¿¡´Â Á¶Á÷°ú Corporate ¹× Partners ÇÏÀ§ Á¶Á÷À» °ü¸®Çϱâ À§ÇÑ SestaAdminRoleÀÌ ÀÖ½À´Ï´Ù. Corporate Á¶Á÷¿¡´Â Finance, Operations ¹× SalesÀÇ 3°¡Áö ÇÏÀ§ Á¶Á÷ÀÌ ÀÖ½À´Ï´Ù. Sales Á¶Á÷ ³»¿¡ ¿©·¯ À¯ÇüÀÇ »ç¿ëÀÚ°¡ Àֱ⠶§¹®¿¡ SalesRole1°ú SalesRole 2ÀÇ µÎ ¿ªÇÒÀÌ Á¤Àǵ˴ϴÙ. Partners Á¶Á÷ ³»¿¡´Â Partner1, Partner2 ¹× Partner3ÀÇ 3°¡Áö ÇÏÀ§ Á¶Á÷ÀÌ ÀÖ½À´Ï´Ù. ÀÌ·¯ÇÑ °¢ Á¶Á÷¿¡´Â °íÀ¯ÇÑ °ü¸®ÀÚ°¡ ÇÊ¿äÇϱ⠶§¹®¿¡ 3°¡Áö ¿ªÇÒÀÌ Á¤ÀÇµÇ°í °¢ ¿ªÇÒÀº ÇØ´ç Á¶Á÷°ú ¿¬°üµË´Ï´Ù. ÆÄÆ®³Ê ¿ªÇÒÀº PartnerAdmin1, PartnerAdmin2 ¹× PartnerAdmin3ÀÔ´Ï´Ù.
±×¸² 6-1 °èÃþÀû µð·ºÅ丮 ±¸Á¶
½Ã³ª¸®¿À 2: Æò¸éÀû Æ®¸® ±¸Á¶
Á¶Á÷ÀÌ ÀÚÁÖ º¯°æµÇ´Â °æ¿ì Æò¸éÀû ¶Ç´Â ¿ÏÀüÈ÷ Æò¸éÀÎ Æ®¸® ±¸Á¶°¡ ÀûÇÕÇÒ ¼ö ÀÖ½À´Ï´Ù. ±â¾÷ÀÌ ÀÚÁÖ º¯°æµÈ´Ù¸é ÇϳªÀÇ Á¶Á÷, ÇϳªÀÇ »ç¶÷ ÄÁÅ×ÀÌ³Ê ¹× ¿ªÇÒÀ» ¸ðµÎ µ¿ÀÏ ¼öÁØ¿¡¼ °¡Áö°í ÀÖ´Â ±¸Á¶°¡ À¯¿ëÇÑ °æ¿ì°¡ ¸¹½À´Ï´Ù. Á¶Á÷ÀÌ Çϳª¸é ±â¾÷ÀÌ º¯°æµÇ¾îµµ DIT¿¡ ¿µÇâÀÌ ¾ø½À´Ï´Ù. ¸ðµç ¾×¼¼½º ±ÇÇÑÀº ¿ªÇÒÀ» »ç¿ëÇÏ¿© Á¤ÀÇµÇ°í ¸ðµç »ç¿ëÀÚ°¡ ´ÜÀÏ »ç¶÷ ÄÁÅ×À̳ʿ¡ ÀÖ°í ¸ðµç ¿ªÇÒÀÌ µ¿ÀÏ ¼öÁØ¿¡ Àֱ⠶§¹®¿¡ »ç¿ëÀÚ¿¡°Ô ¾î¶² ¿ªÇÒµµ ÇÒ´çÇÒ ¼ö ÀÖ½À´Ï´Ù.
±×¸² 6-2´Â Æò¸éÀû µð·ºÅ丮 ±¸Á¶¸¦ º¸¿©ÁÝ´Ï´Ù. ÀÌ ±×¸²¿¡¼ ÃÖ»óÀ§ÀÌ¸é¼ À¯ÀÏÇÑ Á¶Á÷Àº Sesta.comÀÔ´Ï´Ù. ¸ðµç ½Çü´Â ÀÌ ÃÖ»óÀ§ Á¶Á÷ ¹Ù·Î ¾Æ·¡¿¡¼ Á¤Àǵ˴ϴÙ. ¿©±â¿¡´Â Á¶Á÷À» °ü¸®Çϱâ À§ÇÑ SestaAdminRole°ú Finance, Operations, Sales1 ¹× Sales2 »ç¿ëÀÚ¿¡°Ô ÇÊ¿äÇÑ ´Ù¾çÇÑ È¸»ç ±â´ÉÀ» À§ÇÑ 4°¡Áö ¿ªÇÒ ±×¸®°í ÆÄÆ®³Ê¿¡°Ô ÇÊ¿äÇÑ »ç¿ëÀÚ ±â´ÉÀ» À§ÇÑ Partner1Role, Partner2Role, Partner3Role, Partner1AdminRole, Partner2AdminRole ¹× Partner3AdminRoleÀÇ 6°¡Áö ¿ªÇÒÀÌ Æ÷ÇԵ˴ϴÙ.
±×¸² 6-2 Æò¸éÀû µð·ºÅ丮 ±¸Á¶
»õ Á¶Á÷ ¹× ÇÏÀ§ Á¶Á÷ ¸¸µé±â
Á¶Á÷ ¹× ÇÏÀ§ Á¶Á÷À» ÀÌ¿ëÇÏ¿© °ü¸®¿Í ¾×¼¼½º Á¦¾î¸¦ À§ÇØ »ç¿ëÀÚ¸¦ ±¸¼ºÇÏ°í ±×·ìÈÇÒ ¼ö ÀÖ½À´Ï´Ù. ±â¾÷À» À§ÇÑ °èÃþ ¶Ç´Â ±¸Á¶¸¦ °áÁ¤ÇßÀ¸¸é À̸¦ ±¸ÇöÇÏ´Â µ¥ ÇÊ¿äÇÑ Á¶Á÷ ¹× ÇÏÀ§ Á¶Á÷À» ¸¸µé¾î¾ß ÇÕ´Ï´Ù. ±âº»ÀûÀ¸·Î »õ Á¶Á÷À̳ª ÇÏÀ§ Á¶Á÷À» ¸¸µé ¶§ ¿©±â¿¡ Á¤ÀǵǴ ¼ºñ½º, Á¤Ã¥, »ç¿ëÀÚ ¶Ç´Â ¿ªÇÒÀº ¾ø½À´Ï´Ù. µû¶ó¼ »õ Á¶Á÷À̳ª ÇÏÀ§ Á¶Á÷À» ¸¸µé ¶§¸¶´Ù ´ÙÀ½ °í±Þ ´Ü°è¸¦ ¼öÇàÇÏ¿© À̸¦ ±¸¼ºÇØ¾ß ÇÕ´Ï´Ù.
- Á¶Á÷¿¡¼ »ç¿ëÇÒ ¼ö ÀÖµµ·Ï ÇÒ ¸ðµç ¼ºñ½º¸¦ Ãß°¡ÇÕ´Ï´Ù. ÀÚ¼¼ÇÑ ³»¿ëÀº ¼ºñ½º¸¦ Ãß°¡ÇÏ·Á¸éÀ» ÂüÁ¶ÇϽʽÿÀ. ÀϹÝÀûÀ¸·Î ÃÖ¼ÒÇÑ ´ÙÀ½ ¼ºñ½º¸¦ Ãß°¡ÇØ¾ß ÇÕ´Ï´Ù.
- ÀÎÁõ. ÇÙ½É ÀÎÁõ ¼ºñ½º ¹× Á¶Á÷ÀÇ »ç¿ëÀÚ°¡ ÀÎÁõÀ» À§ÇØ »ç¿ëÇÏ´Â ÀÎÁõ ¼ºñ½º(LDAP, À͸í). ÀÚ¼¼ÇÑ ³»¿ëÀº ÀÎÁõ ±¸¼ºÀ» ÂüÁ¶ÇϽʽÿÀ.
- URL Á¤Ã¥ ¿¡ÀÌÀüÆ®.
- »ç¿ëÀÚ.
- Portal Server ±¸¼º. Á¶Á÷ÀÇ »ç¿ëÀÚ°¡ »ç¿ëÇÒ ¼ö ÀÖµµ·Ï ÇÒ ¸ðµç Portal Server ¼ºñ½º(Æ÷ÅÐ µ¥½ºÅ©Å¾ ¹× NetMail).
- Ãß°¡µÈ °¢ ¼ºñ½º¿¡ ´ëÇØ ÅÛÇø®Æ®¸¦ ¸¸µì´Ï´Ù. ÀÚ¼¼ÇÑ ³»¿ëÀº ¼ºñ½º¿¡ ´ëÇÑ ÅÛÇø®Æ®¸¦ ¸¸µé·Á¸éÀ» ÂüÁ¶ÇϽʽÿÀ.
- Á¶Á÷ ³»ÀÇ »ç¿ëÀÚ¿¡°Ô ¾×¼¼½º ±ÇÇÑÀ» ºÎ¿©Çϴµ¥ ÇÊ¿äÇÑ Á¤Ã¥À» ¸¸µì´Ï´Ù. Á¤Ã¥ »ç¿ë¿¡ ´ëÇÑ ÀÚ¼¼ÇÑ ³»¿ëÀº Portal Server°¡ Á¤Ã¥ °ü¸®¸¦ »ç¿ëÇÏ´Â ¹æ½Ä¿¡ ´ëÇÑ °³¿ä¸¦ ÂüÁ¶ÇϽÿÀ.
- Á¶Á÷¿¡ »ç¿ëÀÚ¸¦ Ãß°¡ÇÕ´Ï´Ù. ÀÚ¼¼ÇÑ ³»¿ëÀº »õ »ç¿ëÀÚ¸¦ Ãß°¡ÇÏ·Á¸éÀ» ÂüÁ¶ÇϽʽÿÀ.
- Á¶Á÷¿¡¼ ÇÊ¿äÇÑ ¿ªÇÒÀ» ¸¸µé°í ÇÒ´çÇÕ´Ï´Ù. ÀÚ¼¼ÇÑ ³»¿ëÀº »õ ¿ªÇÒÀ» ¸¸µé·Á¸é ¹× »ç¿ëÀÚ¿¡°Ô ¿ªÇÒÀ» ÇÒ´çÇÏ·Á¸éÀ» ÂüÁ¶ÇϽʽÿÀ.
- Á¶Á÷¿¡ Ȱ¼ºÈµÈ ¼ºñ½º¸¦ ±¸¼ºÇÕ´Ï´Ù. µ¥½ºÅ©Å¾À» ±¸¼ºÇϱâ À§ÇÑ ÀÚ¼¼ÇÑ ³»¿ëÀº 8 Àå, "Æ÷ÅÐ µ¥½ºÅ©Å¾ ¼ºñ½º °ü¸®"¸¦ ÂüÁ¶ÇϽʽÿÀ. NetMailÀ» ±¸¼ºÇÏ´Â ¹æ¹ýÀº 11 Àå, "NetMail ¼ºñ½º °ü¸®"¸¦ ÂüÁ¶ÇϽʽÿÀ.
»õ Á¶Á÷À» ¸¸µé°í Æ÷ÅÐÀ» »ç¿ëÇϵµ·Ï À̸¦ ±¸¼ºÇÏ´Â ºü¸¥ ÀýÂ÷´Â »õ·Î¿î Æ÷ÅÐ Á¶Á÷ ºü¸¥ ½ÃÀÛ ¸¸µé±â¸¦ ÂüÁ¶ÇϽʽÿÀ.
»õ Á¶Á÷ ¶Ç´Â ÇÏÀ§ Á¶Á÷À» ¸¸µé·Á¸é
Portal Server¿¡¼ »ç¿ëÇϱâ À§ÇØ Á¶Á÷ ¹× ÇÏÀ§ Á¶Á÷À» °èȹÇÏ´Â ¹æ¹ý¿¡ ´ëÇÑ ±ÇÀå »çÇ×Àº Á¶Á÷, ÇÏÀ§ Á¶Á÷ ¹× ¿ªÇÒ °èȹÀ» ÂüÁ¶ÇϽʽÿÀ.
Âü°í
Access Manager °ü¸® Äֿܼ¡ ´ëÇÑ ÃֽŠÁ¤º¸ ¹× ÀÚ¼¼ÇÑ Á¤º¸´Â Sun Java System Access Manager 2005Q1 °ü¸® ¼³¸í¼¸¦ ÂüÁ¶ÇϽʽÿÀ.
- Sun Java System Access Management Server °ü¸® Äֿܼ¡ °ü¸®ÀÚ·Î ·Î±×ÀÎÇÕ´Ï´Ù.
±âº»ÀûÀ¸·Î À§Ä¡ Ç¥½Ã ¿µ¿ª¿¡¼ [ Identity °ü¸®]°¡ ¼±Åõǰí Ž»ö Ç¥½Ã ¿µ¿ª¿¡¼ »ý¼ºµÈ ¸ðµç [Á¶Á÷]ÀÌ Ç¥½ÃµË´Ï´Ù.
- ÇÏÀ§ Á¶Á÷À» ¸¸µå´Â °æ¿ì, Ž»ö Ç¥½Ã ¿µ¿ª¿¡¼ ÇÏÀ§ Á¶Á÷ÀÌ ¸¸µé¾îÁú Á¶Á÷À» ¼±ÅÃÇÕ´Ï´Ù.
- Ž»ö Ç¥½Ã ¿µ¿ª¿¡¼ [»õ·Î ¸¸µé±â]¸¦ ´©¸¨´Ï´Ù.
µ¥ÀÌÅÍ Ç¥½Ã ¿µ¿ª¿¡ [»õ Á¶Á÷] ÆäÀÌÁö°¡ Ç¥½ÃµË´Ï´Ù.
- »õ Á¶Á÷ ÆäÀÌÁö¿¡¼ Á¶Á÷ ¶Ç´Â ÇÏÀ§ Á¶Á÷ÀÇ À̸§¿¡ ´ëÇÑ °ªÀ» ÀÔ·ÂÇÕ´Ï´Ù.
- Active ¶Ç´Â InactiveÀÇ »óŸ¦ ¼±ÅÃÇÕ´Ï´Ù.
±âº»°ªÀº ActiveÀÔ´Ï´Ù. µî·Ï Á¤º¸ È»ìÇ¥¸¦ ¼±ÅÃÇÏ¿© Á¶Á÷ ¶Ç´Â ÇÏÀ§ Á¶Á÷ÀÌ Á¸ÀçÇÏ´Â µ¿¾È ¾ðÁ¦¶óµµ À̸¦ º¯°æÇÒ ¼ö ÀÖ½À´Ï´Ù. inactive¸¦ ¼±ÅÃÇϸé Á¶Á÷À̳ª ÇÏÀ§ Á¶Á÷¿¡ ·Î±×ÀÎÀÌ »ç¿ëµÇÁö ¾Ê½À´Ï´Ù.
- [È®ÀÎ]À» ´©¸¨´Ï´Ù.
Ž»ö Ç¥½Ã ¿µ¿ª¿¡ »õ Á¶Á÷ ¶Ç´Â ÇÏÀ§ Á¶Á÷ÀÌ Ç¥½ÃµË´Ï´Ù.
- [º¸±â] ¸Þ´º¿¡¼ [¼ºñ½º]¸¦ ¼±ÅÃÇÕ´Ï´Ù.
- [»õ·Î ¸¸µé±â]¸¦ ´©¸¨´Ï´Ù.
- »õ Á¶Á÷¿¡ µ¥½ºÅ©Å¾ ¼ºñ½ºÀÇ »ç¿ëÀ» ¼³Á¤ÇÕ´Ï´Ù.
- À§Ä¡ Ç¥½Ã ¿µ¿ª¿¡¼ [ Identity °ü¸®]¸¦ ¼±ÅÃÇÕ´Ï´Ù.
- [º¸±â] ¸Þ´º¿¡¼ [Á¶Á÷]À» ¼±ÅÃÇÕ´Ï´Ù.
- »õ·Î ¸¸µç Á¶Á÷À» ¼±ÅÃÇÕ´Ï´Ù.
- [º¸±â] ¸Þ´º¿¡¼ [¼ºñ½º]¸¦ ¼±ÅÃÇÕ´Ï´Ù.
- [Æ÷ÅÐ µ¥½ºÅ©Å¾]À» ¼±ÅÃÇÕ´Ï´Ù.
- ±âº» ä³Î À̸§ÀÇ °ªÀ» DummyChannel¿¡¼ JSPTabContainer (¶Ç´Â »õ Á¶Á÷¿¡¼ »ç¿ëÇÒ ÃÖ»óÀ§ ¼öÁØ ÄÁÅ×À̳ÊÀÇ À̸§)·Î º¯°æÇÕ´Ï´Ù.
- Æ÷ÅÐ µ¥½ºÅ©Å¾ À¯ÇüÀÇ °ªÀ» ±âº»°ª¿¡¼ sampleportal (¶Ç´Â »õ Á¶Á÷¿¡¼ »ç¿ëÇÒ µ¥½ºÅ©Å¾ À¯Çü)·Î º¯°æÇÕ´Ï´Ù.
¼ºñ½º¸¦ Ãß°¡ÇÏ·Á¸é
Âü°í
Access Manager °ü¸® Äֿܼ¡ ´ëÇÑ ÃֽŠÁ¤º¸ ¹× ÀÚ¼¼ÇÑ Á¤º¸´Â Sun Java System Access Manager 2005Q1 °ü¸® ¼³¸í¼¸¦ ÂüÁ¶ÇϽʽÿÀ.
- Sun Java System Access Management Server °ü¸® Äֿܼ¡ °ü¸®ÀÚ·Î ·Î±×ÀÎÇÕ´Ï´Ù.
±âº»ÀûÀ¸·Î À§Ä¡ Ç¥½Ã ¿µ¿ª¿¡ [ Identity °ü¸®]°¡ ¼±ÅõǾî ÀÖ°í Ž»ö Ç¥½Ã ¿µ¿ª¿¡ [Á¶Á÷]ÀÌ ¼±ÅõǾî ÀÖ½À´Ï´Ù.
- ¼ºñ½º¸¦ Ãß°¡ÇÒ Á¶Á÷ ¶Ç´Â ÇÏÀ§ Á¶Á÷À¸·Î À̵¿ÇÕ´Ï´Ù.
Ž»ö Ç¥½Ã ¿µ¿ª¿¡¼ [º¸±â] ¸Þ´º¸¦ »ç¿ëÇÕ´Ï´Ù.
- [º¸±â] ¸Þ´º¿¡¼ [¼ºñ½º]¸¦ ¼±ÅÃÇÕ´Ï´Ù.
- [»õ·Î ¸¸µé±â]¸¦ ´©¸¨´Ï´Ù.
- µ¥ÀÌÅÍ Ç¥½Ã ¿µ¿ª¿¡¼ µî·ÏÇÒ ¼ºñ½º¸¦ ¼±ÅÃÇϰí [È®ÀÎ]À» ´©¸¨´Ï´Ù.
¼ºñ½º¿¡ ´ëÇÑ ÅÛÇø®Æ®¸¦ ¸¸µé·Á¸é
Âü°í
Access Manager °ü¸® Äֿܼ¡ ´ëÇÑ ÃֽŠÁ¤º¸ ¹× ÀÚ¼¼ÇÑ Á¤º¸´Â Sun Java System Access Manager 2005Q1 °ü¸® ¼³¸í¼¸¦ ÂüÁ¶ÇϽʽÿÀ.
- Sun Java System Access Management Server °ü¸® Äֿܼ¡ °ü¸®ÀÚ·Î ·Î±×ÀÎÇÕ´Ï´Ù.
±âº»ÀûÀ¸·Î À§Ä¡ Ç¥½Ã ¿µ¿ª¿¡ [ Identity °ü¸®]°¡ ¼±ÅõǾî ÀÖ°í Ž»ö Ç¥½Ã ¿µ¿ª¿¡ [Á¶Á÷]ÀÌ ¼±ÅõǾî ÀÖ½À´Ï´Ù.
- Ãß°¡µÈ ¼ºñ½º°¡ ÀÖ´Â Á¶Á÷ ¶Ç´Â ÇÏÀ§ Á¶Á÷À¸·Î À̵¿ÇÕ´Ï´Ù.
Ž»ö Ç¥½Ã ¿µ¿ª¿¡¼ [º¸±â] ¸Þ´º¸¦ »ç¿ëÇÕ´Ï´Ù.
- [º¸±â] ¸Þ´º¿¡¼ [¼ºñ½º]¸¦ ¼±ÅÃÇÕ´Ï´Ù.
- Ãß°¡µÈ ¼ºñ½º ¿·ÀÇ µî·Ï Á¤º¸ È»ìÇ¥¸¦ ´©¸¨´Ï´Ù.
- ¼ºñ½º¿¡ ´ëÇÑ ±âº» ¼Ó¼º°ªÀ» ±×´ë·Î »ç¿ëÇϰųª ¼öÁ¤Çϰí [ÀúÀå]À» ´©¸¨´Ï´Ù.
Access ManagerÀÇ Æ¯Á¤ ¼ºñ½º ¼Ó¼ºÀÇ ¼³Á¤¿¡ ´ëÇÑ ³»¿ëÀº Access Manager Administration Guide¸¦ ÂüÁ¶ÇϽʽÿÀ. Portal ServerÀÇ Æ¯Á¤ ¼ºñ½º ¼Ó¼ºÀÇ ¼³Á¤¿¡ ´ëÇÑ ³»¿ëÀº º» ¼³¸í¼ÀÇ ÇØ´ç ºÎ·ÏÀ» ÂüÁ¶ÇϽʽÿÀ.
»õ »ç¿ëÀÚ¸¦ Ãß°¡ÇÏ·Á¸é
Âü°í
Access Manager °ü¸® Äֿܼ¡ ´ëÇÑ ÃֽŠÁ¤º¸ ¹× ÀÚ¼¼ÇÑ Á¤º¸´Â Sun Java System Access Manager 2005Q1 °ü¸® ¼³¸í¼¸¦ ÂüÁ¶ÇϽʽÿÀ.
- Sun Java System Access Management Server °ü¸® Äֿܼ¡ °ü¸®ÀÚ·Î ·Î±×ÀÎÇÕ´Ï´Ù.
±âº»ÀûÀ¸·Î À§Ä¡ Ç¥½Ã ¿µ¿ª¿¡ [ Identity °ü¸®]°¡ ¼±ÅõǾî ÀÖ°í Ž»ö Ç¥½Ã ¿µ¿ª¿¡ [Á¶Á÷]ÀÌ ¼±ÅõǾî ÀÖ½À´Ï´Ù.
- »ç¿ëÀÚ¸¦ ¸¸µé Á¶Á÷ ¶Ç´Â ÇÏÀ§ Á¶Á÷À¸·Î À̵¿ÇÕ´Ï´Ù.
- [º¸±â] ¸Þ´º¿¡¼ [»ç¿ëÀÚ]¸¦ ¼±ÅÃÇϰí [»õ·Î ¸¸µé±â]¸¦ ´©¸¨´Ï´Ù.
µ¥ÀÌÅÍ Ç¥½Ã ¿µ¿ª¿¡ [»õ »ç¿ëÀÚ] ÆäÀÌÁö°¡ Ç¥½ÃµË´Ï´Ù.
- »ç¿ëÀÚ¿¡°Ô ÇÒ´çÇÒ ¼ºñ½º¸¦ ¼±ÅÃÇϰí [´ÙÀ½]À» ´©¸¨´Ï´Ù.
ÀϹÝÀûÀ¸·Î, ´ëºÎºÐÀÇ »ç¿ëÀÚ¿¡°Ô ÃÖ¼ÒÇÑ Æ÷ÅÐ µ¥½ºÅ©Å¾, ÀÎÁõ ±¸¼º ¹× °¡ÀÔ ¼ºñ½º¸¦ Ãß°¡ÇØ¾ß ÇÕ´Ï´Ù.
- »ç¿ëÀÚ Á¤º¸¸¦ ÀÔ·ÂÇϰí [¿Ï·á]¸¦ ´©¸¨´Ï´Ù.
Ž»ö Ç¥½Ã ¿µ¿ª¿¡ [»õ »ç¿ëÀÚ]°¡ Ç¥½ÃµË´Ï´Ù.
»ç¿ëÀÚ¿¡°Ô ¼ºñ½º¸¦ Ãß°¡ÇÏ·Á¸é
Âü°í
Access Manager °ü¸® Äֿܼ¡ ´ëÇÑ ÃֽŠÁ¤º¸ ¹× ÀÚ¼¼ÇÑ Á¤º¸´Â Sun Java System Access Manager 2005Q1 °ü¸® ¼³¸í¼¸¦ ÂüÁ¶ÇϽʽÿÀ.
- Sun Java System Access Management Server °ü¸® Äֿܼ¡ °ü¸®ÀÚ·Î ·Î±×ÀÎÇÕ´Ï´Ù.
±âº»ÀûÀ¸·Î À§Ä¡ Ç¥½Ã ¿µ¿ª¿¡ [ Identity °ü¸®]°¡ ¼±ÅõǾî ÀÖ°í Ž»ö Ç¥½Ã ¿µ¿ª¿¡ [Á¶Á÷]ÀÌ ¼±ÅõǾî ÀÖ½À´Ï´Ù.
- »ç¿ëÀÚ¸¦ ¸¸µé Á¶Á÷ ¶Ç´Â ÇÏÀ§ Á¶Á÷À¸·Î À̵¿ÇÕ´Ï´Ù.
- [º¸±â] ¸Þ´º¿¡¼ [»ç¿ëÀÚ]¸¦ ¼±ÅÃÇÕ´Ï´Ù.
- Ž»ö Ç¥½Ã ¿µ¿ª¿¡¼ »ç¿ëÀÚ¸¦ ¼±ÅÃÇÏ°í µî·Ï Á¤º¸ È»ìÇ¥¸¦ ´©¸¨´Ï´Ù.
- [º¸±â] ¸Þ´º¿¡¼ [¼ºñ½º]¸¦ ¼±ÅÃÇÕ´Ï´Ù.
- [»õ·Î ¸¸µé±â]¸¦ ´·¯ »ç¿ëÀÚ¿¡°Ô ÇÒ´çÇÒ ¼ºñ½º¸¦ ¼±ÅÃÇÕ´Ï´Ù.
- ¼ºñ½º¸¦ ¼±ÅÃÇϰí [È®ÀÎ]À» ´©¸¨´Ï´Ù.
ÀϹÝÀûÀ¸·Î, ´ëºÎºÐÀÇ »ç¿ëÀÚ¿¡°Ô ÃÖ¼ÒÇÑ Æ÷ÅÐ µ¥½ºÅ©Å¾°ú °¡ÀÔ ¼ºñ½º¸¦ Ãß°¡ÇØ¾ß ÇÕ´Ï´Ù.
»õ ¿ªÇÒÀ» ¸¸µé·Á¸é
Âü°í
Access Manager °ü¸® Äֿܼ¡ ´ëÇÑ ÃֽŠÁ¤º¸ ¹× ÀÚ¼¼ÇÑ Á¤º¸´Â Sun Java System Access Manager 2005Q1 °ü¸® ¼³¸í¼¸¦ ÂüÁ¶ÇϽʽÿÀ.
- Sun Java System Access Management Server °ü¸® Äֿܼ¡ °ü¸®ÀÚ·Î ·Î±×ÀÎÇÕ´Ï´Ù.
±âº»ÀûÀ¸·Î À§Ä¡ Ç¥½Ã ¿µ¿ª¿¡ [ Identity °ü¸®]°¡ ¼±ÅõǾî ÀÖ°í Ž»ö Ç¥½Ã ¿µ¿ª¿¡ [Á¶Á÷]ÀÌ ¼±ÅõǾî ÀÖ½À´Ï´Ù.
- ¿ªÇÒÀ» ¸¸µé Á¶Á÷ ¶Ç´Â ÇÏÀ§ Á¶Á÷À¸·Î À̵¿ÇÕ´Ï´Ù.
- [º¸±â] ¸Þ´º¿¡¼ [¿ªÇÒ]À» ¼±ÅÃÇϰí [»õ·Î ¸¸µé±â]¸¦ ´©¸¨´Ï´Ù.
µ¥ÀÌÅÍ Ç¥½Ã ¿µ¿ª¿¡ [»õ ¿ªÇÒ] ÆäÀÌÁö°¡ Ç¥½ÃµË´Ï´Ù.
- ¿ªÇÒ Á¤º¸(À̸§, ¼³¸í, ¿ªÇÒ À¯Çü, ¾×¼¼½º ±ÇÇÑ)¸¦ ÀÔ·ÂÇϰí [¸¶Ä§]À» ´©¸¨´Ï´Ù.
Ž»ö Ç¥½Ã ¿µ¿ª¿¡ [»õ ¿ªÇÒ]ÀÌ Ç¥½ÃµË´Ï´Ù.
Âü°í
À§ÀÓµÈ °ü¸®¸¦ À§ÇØ »ç¿ëÀÚ Á¤ÀÇµÈ ¿ªÇÒÀ» ¸¸µå´Â °æ¿ì ÀÌÀü¿¡ ÀÌ ¿ªÇÒ¿¡ ´ëÇÑ ACI ±ÇÇÑÀ» Á¤ÀÇÇß¾î¾ß ÇÕ´Ï´Ù. ÀÚ¼¼ÇÑ ³»¿ëÀº 7 Àå, "À§ÀÓ °ü¸® ±¸¼º"À» ÂüÁ¶ÇϽʽÿÀ.
»ç¿ëÀÚ¿¡°Ô ¿ªÇÒÀ» ÇÒ´çÇÏ·Á¸é
Âü°í
Access Manager °ü¸® Äֿܼ¡ ´ëÇÑ ÃֽŠÁ¤º¸ ¹× ÀÚ¼¼ÇÑ Á¤º¸´Â Sun Java System Access Manager 2005Q1 °ü¸® ¼³¸í¼¸¦ ÂüÁ¶ÇϽʽÿÀ.
- Sun Java System Access Management Server °ü¸® Äֿܼ¡ °ü¸®ÀÚ·Î ·Î±×ÀÎÇÕ´Ï´Ù.
±âº»ÀûÀ¸·Î À§Ä¡ Ç¥½Ã ¿µ¿ª¿¡ [ Identity °ü¸®]°¡ ¼±ÅõǾî ÀÖ°í Ž»ö Ç¥½Ã ¿µ¿ª¿¡ [Á¶Á÷]ÀÌ ¼±ÅõǾî ÀÖ½À´Ï´Ù.
- ¿ªÇÒÀ» ¸¸µé Á¶Á÷ ¶Ç´Â ÇÏÀ§ Á¶Á÷À¸·Î À̵¿ÇÕ´Ï´Ù.
- [º¸±â] ¸Þ´º¿¡¼ [»ç¿ëÀÚ]¸¦ ¼±ÅÃÇÕ´Ï´Ù.
- ¿ªÇÒÀ» ÇÒ´çÇÒ »ç¿ëÀÚ ¿·ÀÇ µî·Ï Á¤º¸ È»ìÇ¥¸¦ ´©¸¨´Ï´Ù.
µ¥ÀÌÅÍ Ç¥½Ã ¿µ¿ª¿¡ »ç¿ëÀÚ ÇÁ·ÎÇÊ Á¤º¸°¡ Ç¥½ÃµË´Ï´Ù.
- µ¥ÀÌÅÍ Ç¥½Ã ¿µ¿ªÀÇ [º¸±â] ¸Þ´º¿¡¼ ¿ªÇÒÀ» ´©¸¨´Ï´Ù.
[¿ªÇÒ Ãß°¡] ÆäÀÌÁö°¡ ³ªÅ¸³³´Ï´Ù.
- ÇÒ´çÇÒ ¿ªÇÒ ¿·ÀÇ »óÀÚ¸¦ ¼±ÅÃÇϰí [ÀúÀå]À» ´©¸¨´Ï´Ù.
[ÀÌ »ç¿ëÀÚÀÇ ¿ªÇÒ] »óÀÚ°¡ ÇÒ´çµÈ ¿ªÇÒ·Î ¾÷µ¥ÀÌÆ®µË´Ï´Ù.
- [ÀúÀå]À» ´·¯ º¯°æ »çÇ×À» ÀúÀåÇÕ´Ï´Ù.
±âÁ¸ »ç¿ëÀÚ°¡ Portal Server¿¡ ¾×¼¼½ºÇϵµ·Ï ¼³Á¤
±âÁ¸ Access Manager ÀνºÅϽº¿¡ Portal Server¸¦ ¼³Ä¡ÇÏ´Â °æ¿ì »ç¿ëÀÚ°¡ Portal Server µ¥½ºÅ©Å¾À» »ç¿ëÇϵµ·Ï Ãß°¡µÇÁö ¾Ê½À´Ï´Ù. »ç¿ëÀÚ°¡ µ¥½ºÅ©Å¾¿¡ ¾×¼¼½ºÇϵµ·Ï ÇÏ·Á¸é ´ÙÀ½À» Ȱ¼ºÈ½ÃÄÑ¾ß ÇÕ´Ï´Ù. ´ÙÀ½ ÀýÂ÷¿¡ µû¶ó ±âº» Á¶Á÷À̳ª ´Ù¸¥ Á¶Á÷¿¡¼ »ç¿ëÀÚ¸¦ Ȱ¼ºÈÇÕ´Ï´Ù.
±âº» Á¶Á÷¿¡¼ »ç¿ëÀÚ¸¦ Ȱ¼ºÈÇÏ·Á¸é
½ÃÀÛÇϱâ Àü¿¡ ¸î °¡Áö ±¸¼º Á¤º¸¸¦ ¾ò¾î¾ß ÇÕ´Ï´Ù. ±¸¼º¿¡ ´ëÇØ ÀÚ¼¼È÷ ¸ð¸£¸é /var/sadm/pkg/SUNWps/pkginfo ÆÄÀÏ¿¡¼ ½ºÅ©¸³Æ®¸¦ »ç¿ëÇÏ¿© Á¤º¸¸¦ °Ë»öÇÒ ¼ö ÀÖ½À´Ï´Ù.
Âü°í
Access Manager °ü¸® Äֿܼ¡ ´ëÇÑ ÃֽŠÁ¤º¸ ¹× ÀÚ¼¼ÇÑ Á¤º¸´Â Sun Java System Access Manager 2005Q1 °ü¸® ¼³¸í¼¸¦ ÂüÁ¶ÇϽʽÿÀ.
- /var/sadm/pkg/SUNWps/pkginfo ÆÄÀÏ¿¡¼ ´ÙÀ½ Á¤º¸¸¦ È®ÀÎ ¶Ç´Â °Ë»öÇÕ´Ï´Ù.
- µð·ºÅ丮 °ü¸®ÀÚ¿¡ ´ëÇÑ ±¸ºÐ À̸§( DS_DIRMGR_DN/À¸·Î ÂüÁ¶). ±âº»°ªÀº cn=Directory ManagerÀÔ´Ï´Ù.
- µð·ºÅ丮 °ü¸®ÀÚ ºñ¹Ð¹øÈ£(DS_DIRMGR_PASSWORD/·Î ÂüÁ¶)
- µð·ºÅ丮 ¼¹öÀÇ Á¤±Ô À̸§(DS_HOST/·Î ÂüÁ¶)
- µð·ºÅ丮 ¼¹ö°¡ ½ÇÇàµÇ´Â Æ÷Æ®(DS_PORT/·Î ÂüÁ¶). ±âº»°ªÀº 389ÀÔ´Ï´Ù.
- µð·ºÅ丮 Æ®¸®ÀÇ ·çÆ® Á¢µÎ¾î(DS_ROOT_SUFFIX/·Î ÂüÁ¶). ±âº»°ªÀº dc=orgname,dc=com (¿¹: dc=sun,dc=com )ÀÔ´Ï´Ù.
- Portal Server ¼³Ä¡ÀÇ ±âº» Á¶Á÷(DS_DEFAULT_ORG/·Î ÂüÁ¶). ±âº»°ªÀº o=domain-nameÀÔ´Ï´Ù.
- Portal Server ¼³Ä¡ÀÇ ±âº» µð·ºÅ丮. ±âº»°ªÀº /optÀÔ´Ï´Ù.
±¸¼º Á¤º¸¸¦ ¸ð¸£¸é ´ÙÀ½ ½ºÅ©¸³Æ®¸¦ ½ÇÇàÇÏ¿© ¾ò¾îÁö´Â °á°ú¿¡¼ ÀÌ ÀýÂ÷¸¦ ¿Ï·áÇϱâ À§ÇÑ Á¤º¸¸¦ ¾òÀ¸½Ê½Ã¿À.
- µð·ºÅ丮¸¦ Access Manager À¯Æ¿¸®Æ¼ µð·ºÅ丮·Î º¯°æÇÕ´Ï´Ù. ¿¹¸¦ µé¾î ±âº» µð·ºÅ丮°¡ /opt¶ó¸é ´ÙÀ½À» ÀÔ·ÂÇÕ´Ï´Ù.
cd /AccessManager-base/SUNWam/bin
- µð·ºÅ丮 ¼¹ö¿Í ±âº» Á¶Á÷ÀÇ ·çÆ® Á¢µÎ¾î°¡ °°Áö ¾ÊÀ¸¸é ´ÙÀ½ ¸í·ÉÀ» ½ÇÇàÇϽʽÿÀ.
./ldapsearch -h /DS_HOST/ -p /DS_PORT/ -D /DS_DIRMGR_DN/ -w /DS_DIRMGR_PASSWORD/ -b "ou=People,/DS_DEFAULT_ORG/,/DS_ROOT_SUFFIX/" "(uid=*)" dn | /usr/bin/sed ’s/^version.*//’ > /tmp/.tmp_ldif_file1
- µð·ºÅ丮 ¼¹ö¿Í ±âº» Á¶Á÷ÀÇ ·çÆ® Á¢µÎ¾î°¡ °°À¸¸é ´ÙÀ½ ¸í·ÉÀ» ½ÇÇàÇϽʽÿÀ.
./ldapsearch -h /DS_HOST/ -p /DS_PORT/ -D /DS_DIRMGR_DN/ -w /DS_DIRMGR_PASSWORD/ -b "ou=People,/DS_ROOT_SUFFIX/" "(uid=*)" dn | /usr/bin/sed ’s/^version.*//’ > /tmp/.tmp_ldif_file1
- ´ÙÀ½ ¸í·ÉÀ» ½ÇÇàÇÕ´Ï´Ù.
grep "^dn" /tmp/.tmp_ldif_file1 | awk ’{
print $0
print "changetype: modify"
print "add: objectclass"
print "objectclass: sunPortalDesktopPerson"
print "objectclass: sunPortalNetmailPerson\n" }’ >
/tmp/.tmp_ldif_file2- ´ÙÀ½ ¸í·ÉÀ» ½ÇÇàÇÕ´Ï´Ù.
./ldapmodify -c -h DS_HOST -p DS_PORT \ -D DS_DIRMGR_DN -w DS_DIRMGR_PASSWORD -f /tmp/.tmp_ldif_file2
- ¸ðµç Àӽà ÆÄÀÏÀ» Á¦°ÅÇÕ´Ï´Ù.
rm /tmp/.tmp_ldif_file1 /tmp/.tmp_ldif_file2
±âº»ÀÌ ¾Æ´Ñ Á¶Á÷¿¡¼ »ç¿ëÀÚ¸¦ Ȱ¼ºÈÇÏ·Á¸é
Âü°í
Access Manager °ü¸® Äֿܼ¡ ´ëÇÑ ÃֽŠÁ¤º¸ ¹× ÀÚ¼¼ÇÑ Á¤º¸´Â Sun Java System Access Manager 2005Q1 °ü¸® ¼³¸í¼¸¦ ÂüÁ¶ÇϽʽÿÀ.
- /var/sadm/pkg/SUNWps/pkginfo ÆÄÀÏ¿¡¼ ´ÙÀ½ Á¤º¸¸¦ È®ÀÎ ¶Ç´Â °Ë»öÇÕ´Ï´Ù.
- µð·ºÅ丮 °ü¸®ÀÚ¿¡ ´ëÇÑ ±¸ºÐ À̸§(DS_DIRMGR_DN/À¸·Î ÂüÁ¶). ±âº»°ªÀº cn=Directory ManagerÀÔ´Ï´Ù.
- µð·ºÅ丮 °ü¸®ÀÚ ºñ¹Ð¹øÈ£(DS_DIRMGR_PASSWORD/·Î ÂüÁ¶).
- µð·ºÅ丮 ¼¹öÀÇ Á¤±Ô À̸§(DS_HOST/·Î ÂüÁ¶).
- µð·ºÅ丮 ¼¹ö°¡ ½ÇÇàµÇ´Â Æ÷Æ®(DS_PORT/·Î ÂüÁ¶). ±âº»°ªÀº 389ÀÔ´Ï´Ù.
- µð·ºÅ丮 Æ®¸®ÀÇ ·çÆ® Á¢µÎ¾î(DS_ROOT_SUFFIX/·Î ÂüÁ¶). ±âº»°ªÀº dc=orgname,dc=com (¿¹: dc=sun,dc=com)ÀÔ´Ï´Ù.
- »ç¿ëÀÚ¸¦ ¾÷µ¥ÀÌÆ®ÇÒ Portal Server ¼³Ä¡ÀÇ Á¶Á÷(DS_ORG_TO_UPDATE/·Î ÂüÁ¶). ±âº»°ªÀº "ÀÔ´Ï´Ù.
- Portal Server ¼³Ä¡ÀÇ ±âº» µð·ºÅ丮. ±âº»°ªÀº /optÀÔ´Ï´Ù.
- Ȱ¼ºÈÇÒ ±âÁ¸ »ç¿ëÀÚ¸¦ Æ÷ÇÔÇÑ Á¶Á÷ ¶Ç´Â ÇÏÀ§ Á¶Á÷¿¡ ¼ºñ½º¸¦ Ãß°¡ÇÕ´Ï´Ù. ÀýÂ÷¿¡ ´ëÇÑ ³»¿ëÀº ¼ºñ½º¸¦ Ãß°¡ÇÏ·Á¸éÀ» ÂüÁ¶ÇϽʽÿÀ.
- Ãß°¡ÇÏ´Â °¢ ¼ºñ½º¿¡ ´ëÇØ ÅÛÇø®Æ®¸¦ ¸¸µì´Ï´Ù. ÀýÂ÷¿¡ ´ëÇÑ ÀÚ¼¼ÇÑ ³»¿ëÀº ¼ºñ½º¿¡ ´ëÇÑ ÅÛÇø®Æ®¸¦ ¸¸µé·Á¸éÀ» ÂüÁ¶ÇϽʽÿÀ.
- °¢ ¼ºñ½º¿¡ ´ëÇÑ Á¤Ã¥À» ¸¸µé°í ÇÒ´çÇÕ´Ï´Ù. ÀÚ¼¼ÇÑ ³»¿ëÀº ÇÇ¾î ¶Ç´Â ÇÏÀ§ Á¶Á÷¿¡ ´ëÇÑ Á¤Ã¥ ¼ºñ½º¸¦ Ãß°¡ÇÏ·Á¸é, ÇÇ¾î ¶Ç´Â ÇÏÀ§ Á¶Á÷¿¡ ´ëÇÑ À§Å¹ Á¤Ã¥À» ¸¸µé·Á¸é ¹× ÇÇ¾î ¶Ç´Â ÇÏÀ§ Á¶Á÷¿¡ ´ëÇÑ ÀÏ¹Ý Á¤Ã¥À» ¸¸µé·Á¸éÀ» ÂüÁ¶ÇϽʽÿÀ.
- ¼º°øÀûÀ¸·Î ÀÎÁõµÈ »ç¿ëÀÚ¸¦ Á¶Á÷¿¡¼ ¸®µð·º¼ÇÇÒ URLÀ» ¼³Á¤ÇÕ´Ï´Ù. ¼º°øÀûÀ¸·Î ·Î±×ÀÎÇÑ »ç¿ëÀÚ¸¦ Æ÷ÅÐ µ¥½ºÅ©Å¾ URL·Î ¸®µð·º¼ÇÇÏ·Á¸éÀ» ÂüÁ¶ÇϽʽÿÀ.
- µð·ºÅ丮¸¦ Access Manager À¯Æ¿¸®Æ¼ µð·ºÅ丮·Î º¯°æÇÕ´Ï´Ù. ¿¹¸¦ µé¾î ±âº» µð·ºÅ丮°¡ /opt¶ó¸é ´ÙÀ½À» ÀÔ·ÂÇÕ´Ï´Ù.
cd /AccessManager-base/SUNWam/bin
- Á¶Á÷ ³»¿¡¼ »ç¿ëÀÚ¸¦ Ȱ¼ºÈÇÏ·Á¸é ´ÙÀ½ Áß Çϳª¸¦ ¼öÇàÇÕ´Ï´Ù.
- DS_ORG_TO_UPDATE/·Î Á¤ÀÇµÈ Æ¯Á¤ Á¶Á÷ ³»¿¡¼¸¸ »ç¿ëÀÚ¸¦ Ȱ¼ºÈÇÏ·Á¸é ´ÙÀ½ ¸í·ÉÀ» »ç¿ëÇÕ´Ï´Ù(ÇÑ ÇàÀ¸·Î ÀÔ·ÂÇØ¾ß ÇÔ).
./ldapsearch -h /DS_HOST/ -p /DS_PORT/ -D /DS_DIRMGR_DN/ -w /DS_DIRMGR_PASSWORD/
-b "ou=People,/DS_ORG_TO_UPDATE/,/DS_ROOT_SUFFIX/" "(uid=*)" dn |
/usr/bin/sed ’s/^version.*//’ > /tmp/.tmp_ldif_file1- ¸ðµç Á¶Á÷¿¡¼ »ç¿ëÀÚ¸¦ Ȱ¼ºÈÇÏ·Á¸é ´ÙÀ½ ¸í·ÉÀ» »ç¿ëÇÕ´Ï´Ù(ÇÑ ÁÙ·Î ÀÔ·ÂÇØ¾ß ÇÔ).
./ldapsearch -h /DS_HOST/ -p /DS_PORT/ -D /DS_DIRMGR_DN/ -w /DS_DIRMGR_PASSWORD/
-b "/DS_ROOT_SUFFIX/" "(uid=*)" dn | /usr/bin/sed ’s/^version.*//’ > /tmp/.tmp_ldif_file1- ´ÙÀ½ ¸í·ÉÀ» ½ÇÇàÇÕ´Ï´Ù.
grep "^dn" /tmp/.tmp_ldif_file1 | awk ’{
print $0
print "changetype: modify"
print "add: objectclass"
print "objectclass: sunPortalDesktopPerson"
print "objectclass: sunPortalNetmailPerson\n" }’ > /tmp/.tmp_ldif_file2- ´ÙÀ½ ¸í·ÉÀ» ½ÇÇàÇÕ´Ï´Ù.
./ldapmodify -c -h DS_HOST -p DS_PORT \ -D "DS_DIRMGR_DN" -w DS_DIRMGR_PASSWORD -f /tmp/.tmp_ldif_file2
- ¸ðµç Àӽà ÆÄÀÏÀ» Á¦°ÅÇÕ´Ï´Ù.
rm /tmp/.tmp_ldif_file1 /tmp/.tmp_ldif_file2
- µð·ºÅ丮¸¦ Portal Server À¯Æ¿¸®Æ¼ µð·ºÅ丮·Î º¯°æÇÕ´Ï´Ù.
cd /AccessManager-base/SUNWps/bin
- ´ÙÀ½À» ½ÇÇàÇÏ¿© ±âº»ÀÌ ¾Æ´Ñ Á¶Á÷¿¡ ´ëÇÑ µð½ºÇ÷¹ÀÌ ÇÁ·ÎÇÊÀ» ·ÎµåÇÕ´Ï´Ù.
./dpadmin modify -u "uid=amadmin,ou=people,DS_DEFAULT_ORG,DS_ROOT_SUFFIX" -w DS_DIRMGR_PASSWORD -d "NON_DEFAULT_ORG,DS_DEFAULT_ORG,DS_ROOT_SUFFIX" AccessManager-base/SUNWps/samples/desktop/dp-org.xml
»õ·Î¿î Æ÷ÅÐ Á¶Á÷ ºü¸¥ ½ÃÀÛ ¸¸µé±â
´ÙÀ½ ÀÛ¾÷Àº »õ·Î¿î Á¶Á÷À» ¸¸µé°í Æ÷ÅÐ »ç¿ëÀ» À§ÇØ À̸¦ Ȱ¼ºÈÇÏ´Â ´Ü°è¸¦ ¼³¸íÇÕ´Ï´Ù. ±âº»ÀûÀ¸·Î ·Î±×ÀÎÇÒ ¶§ À§Ä¡ Ç¥½Ã ¿µ¿ª¿¡ [ Identity °ü¸®]°¡ ¼±ÅõǾî ÀÖ°í Ž»ö Ç¥½Ã ¿µ¿ª¿¡ [Á¶Á÷]ÀÌ ¼±ÅõǾî ÀÖ½À´Ï´Ù.
Âü°í
Access Manager °ü¸® Äֿܼ¡ ´ëÇÑ ÃֽŠÁ¤º¸ ¹× ÀÚ¼¼ÇÑ Á¤º¸´Â Sun Java System Access Manager 2005Q1 °ü¸® ¼³¸í¼¸¦ ÂüÁ¶ÇϽʽÿÀ.
- »õ Á¶Á÷À» ¸¸µì´Ï´Ù.
- »õ Á¶Á÷¿¡ ¼ºñ½º¸¦ Ãß°¡ÇÕ´Ï´Ù.
- »óÀ§ Á¶Á÷¿¡¼ »õ Á¶Á÷À¸·Î º¸³¾ µ¥½ºÅ©Å¾ À§Å¹ Á¤Ã¥À» ¸¸µì´Ï´Ù.
À§Å¹Àº ±ÔÄ¢¿¡¼ »óÀ§ Á¶Á÷À» ÀÚ¿øÀ¸·Î Á¤ÀÇÇØ¾ß Çϰí ÇÏÀ§ Á¶Á÷À» À§Å¹ÀÇ °ªÀ¸·Î ÇÏ¿© SubOrgReferralÀ» Æ÷ÇÔÇØ¾ß ÇÕ´Ï´Ù.
- À§Ä¡ Ç¥½Ã ¿µ¿ª¿¡¼ [ Identity °ü¸®]¸¦ ¼±ÅÃÇÕ´Ï´Ù.
- »óÀ§ Á¶Á÷À» ¼±ÅÃÇÕ´Ï´Ù.
- [º¸±â] ¸Þ´º¿¡¼ [Á¤Ã¥]À» ¼±ÅÃÇÕ´Ï´Ù.
- [»õ·Î ¸¸µé±â]¸¦ ´·¯ »õ Á¤Ã¥À» ¸¸µì´Ï´Ù.
µ¥ÀÌÅÍ Ç¥½Ã ¿µ¿ª¿¡ [Á¤Ã¥ ¸¸µé±â] ÆäÀÌÁö°¡ Ç¥½ÃµË´Ï´Ù.
- Á¤Ã¥ À¯Çü¿¡ ´ëÇØ [À§Å¹]À» ¼±ÅÃÇÕ´Ï´Ù.
- À̸§À¸·Î SubOrgReferral_µ¥½ºÅ©Å¾À» ÀÔ·ÂÇÕ´Ï´Ù. ±×·± ´ÙÀ½ [È®ÀÎ]À» ´©¸¨´Ï´Ù.
[Á¤Ã¥]ÀÌ ¸¸µé¾îÁö°í [Á¤Ã¥] ¾Æ·¡¿¡ ³ªÅ¸³³´Ï´Ù.
- SunOrgReferral_Desktop ¿·ÀÇ µî·Ï Á¤º¸ È»ìÇ¥¸¦ ´©¸¨´Ï´Ù.
- µ¥ÀÌÅÍ Ç¥½Ã ¿µ¿ªÀÇ [º¸±â] ¸Þ´º¿¡¼ [±ÔÄ¢]À» ´©¸£°í [»õ·Î ¸¸µé±â]¸¦ ´©¸¨´Ï´Ù. Æ÷ÅÐ µ¥½ºÅ©Å¾ÀÌ ¼±ÅõǾú´ÂÁö È®ÀÎÇϰí [´ÙÀ½]À» ´©¸¨´Ï´Ù.
- Æ÷ÅÐ µ¥½ºÅ©Å¾ ±ÔÄ¢ÀÇ À̸§À» ÁöÁ¤Çϰí [¸¶Ä§]À» ´©¸¨´Ï´Ù.
- µ¥ÀÌÅÍ Ç¥½Ã ¿µ¿ªÀÇ [º¸±â] ¸Þ´º¿¡¼ [À§Å¹]À» ´©¸£°í [Ãß°¡]¸¦ ´©¸¨´Ï´Ù. µ¥ÀÌÅÍ Ç¥½Ã ¿µ¿ª¿¡¼ ÇÏÀ§ Á¶Á÷ÀÇ À̸§ÀÌ °ªÀ¸·Î ¼±ÅõǾú´ÂÁö È®ÀÎÇϰí [¸¸µé±â]¸¦ ´·¯ Á¤Ã¥ÀÇ ±¸¼ºÀ» ¸¶Ä¨´Ï´Ù.
- »õ Á¶Á÷¿¡ ´ëÇØ ÀÏ¹Ý Æ÷ÅÐ µ¥½ºÅ©Å¾ Á¤Ã¥À» ¸¸µì´Ï´Ù.
- ÇÏÀ§ Á¶Á÷À¸·Î À̵¿ÇÕ´Ï´Ù.
- [º¸±â] ¸Þ´º¿¡¼ [Á¤Ã¥]À» ¼±ÅÃÇÕ´Ï´Ù.
ÇØ´ç Á¶Á÷¿¡ ´ëÇÑ Á¤Ã¥ÀÌ Ç¥½ÃµË´Ï´Ù.
- Ž»ö Ç¥½Ã ¿µ¿ª¿¡¼ [»õ·Î ¸¸µé±â]¸¦ ¼±ÅÃÇÕ´Ï´Ù. µ¥ÀÌÅÍ Ç¥½Ã ¿µ¿ª¿¡ [»õ Á¤Ã¥] ÆäÀÌÁö°¡ ¿¸³´Ï´Ù.
- [Á¤Ã¥ À¯Çü]¿¡¼ [ÀϹÝ]À» ¼±ÅÃÇØ¾ß ÇÕ´Ï´Ù.
- Á¤Ã¥ À̸§À» ÀÔ·ÂÇÕ´Ï´Ù.
- [È®ÀÎ]À» ´©¸¨´Ï´Ù.
- µ¥ÀÌÅÍ Ç¥½Ã ¿µ¿ªÀÇ [º¸±â] ¸Þ´º¿¡¼ [±ÔÄ¢]À» ´©¸£°í [»õ·Î ¸¸µé±â]¸¦ ¼±ÅÃÇÕ´Ï´Ù. µ¥ÀÌÅÍ Ç¥½Ã ¿µ¿ª¿¡ [±ÔÄ¢ Ãß°¡] ÆäÀÌÁö°¡ ¿¸³´Ï´Ù.
- ±ÔÄ¢ÀÇ À̸§À» ÁöÁ¤Çϰí [±ÔÄ¢ ÀÛ¾÷ ¼³Á¤] ¾Æ·¡¿¡¼ ÀÛ¾÷À» ¼±ÅÃÇÕ´Ï´Ù. [¸¶Ä§]À» ´©¸¨´Ï´Ù.
- µ¥ÀÌÅÍ Ç¥½Ã ¿µ¿ªÀÇ [º¸±â] ¸Þ´º¿¡¼ [ÁÖÁ¦]¸¦ ¼±ÅÃÇϰí [»õ·Î ¸¸µé±â]¸¦ ´©¸¨´Ï´Ù. µ¥ÀÌÅÍ Ç¥½Ã ¿µ¿ª¿¡ [Á¦¸ñ Ãß°¡] ÆäÀÌÁö°¡ ¿¸³´Ï´Ù.
- Æ÷ÅÐ µ¥½ºÅ©Å¾ Á¤Ã¥ÀÌ Àû¿ëµÉ Á¦¸ñÀ» ¼±ÅÃÇϰí [´ÙÀ½]À» ¼±ÅÃÇÏ¿© Á¦¸ñ ±¸¼ºÀ» ¿Ï·áÇÕ´Ï´Ù.
- [¸¶Ä§]À» ´·¯ Á¤Ã¥ÀÇ ±¸¼ºÀ» ¿Ï·áÇÕ´Ï´Ù.
- »õ Á¶Á÷¿¡¼ »õ »ç¿ëÀÚ¸¦ ¸¸µì´Ï´Ù.
- À§Ä¡ Ç¥½Ã ¿µ¿ª¿¡¼ [ Identity °ü¸®]¸¦ ¼±ÅÃÇÕ´Ï´Ù.
- [º¸±â] ¸Þ´º¿¡¼ [Á¶Á÷]À» ¼±ÅÃÇÕ´Ï´Ù.
- »õ·Î ¸¸µç Á¶Á÷À» ¼±ÅÃÇÕ´Ï´Ù.
- [º¸±â] ¸Þ´º¿¡¼ [»ç¿ëÀÚ]¸¦ ¼±ÅÃÇÕ´Ï´Ù.
- [»õ·Î ¸¸µé±â]¸¦ ´©¸¨´Ï´Ù.
- »ç¿ëÀÚ¿¡ ´ëÇØ µî·ÏÇÒ ¼ºñ½º¸¦ ¼±ÅÃÇÕ´Ï´Ù.
- [´ÙÀ½]À» ´©¸¨´Ï´Ù.
- ÅØ½ºÆ® Çʵ忡 »ç¿ëÀÚ Á¤º¸¸¦ ÀÔ·ÂÇÕ´Ï´Ù.
- [¸¶Ä§]À» ´©¸¨´Ï´Ù.
- »õ Á¶Á÷¿¡ µ¥½ºÅ©Å¾ ¼ºñ½ºÀÇ »ç¿ëÀ» ¼³Á¤ÇÕ´Ï´Ù.
- »õ Á¶Á÷ÀÇ µ¥½ºÅ©Å¾¿¡ ¾×¼¼½ºÇÕ´Ï´Ù.
ÀÎÁõ ±¸¼ºÀÌ Àý¿¡¼´Â Portal Server ÀÎÁõÀ» ±¸¼ºÇÏ´Â ¹æ¹ý¿¡ ´ëÇØ ¼³¸íÇÕ´Ï´Ù. Access Manager°¡ ÀÎÁõÀ» À§ÇÑ ÇÁ·¹ÀÓ¿öÅ©¸¦ Á¦°øÇÕ´Ï´Ù. ÀÎÁõÀº »ç¿ëÀÚÀÇ ½ÅºÐÀ» °ËÁõÇÏ´Â Ç÷¯±×ÀÎ ¸ðµâÀ» ÅëÇØ ±¸ÇöµË´Ï´Ù. Access Manager´Â 7°¡Áö ÀÎÁõ ¸ðµâ°ú ÇϳªÀÇ ÇÙ½É ÀÎÁõ ¸ðµâÀ» Á¦°øÇÕ´Ï´Ù. Access Manager °ü¸® ÄܼÖÀ» »ç¿ëÇÏ¿© ±âº»°ª ¼³Á¤, ÀÎÁõ ¼ºñ½º Ãß°¡, Á¶Á÷ÀÇ ÀÎÁõ ÅÛÇø®Æ® »ý¼º ¹× ¼ºñ½º Ȱ¼ºÈ¸¦ ¼öÇàÇÕ´Ï´Ù. ÇÙ½É ÀÎÁõ ¸ðµâÀÌ ÀÎÁõÀ» À§ÇÑ Àü¹ÝÀûÀÎ ±¸¼ºÀ» Á¦°øÇϱ⠶§¹®¿¡ ƯÁ¤ ÀÎÁõ ¸ðµâÀ» ±¸¼ºÇÏ·Á¸é ¸ÕÀú ÇÙ½É ÀÎÁõ ¸ðµâÀ» Ãß°¡Çϰí ÀÌ¿¡ ´ëÇÑ ÅÛÇø®Æ®¸¦ °¢ Á¶Á÷¿¡ ´ëÇØ ¸¸µé¾î¾ß ÇÕ´Ï´Ù.
Âü°í
Sun ONE Identity Server 5.1 °ü¸® Äֿܼ¡¼ Á¦°øÇÏ´ø ÀÎÁõ ¸Þ´º ±¸¼º ±â´ÉÀº Sun Java System Access Manager ÇöÀç ¸±¸®½º¿¡¼ Áö¿øµÇÁö ¾Ê½À´Ï´Ù. ¼±Åà °¡´ÉÇÑ À¯È¿ ÀÎÁõ ¸ðµâ ¸ñ·ÏÀ» ±¸¼ºÇØ¾ß ÇÏ´Â °æ¿ì, Access Manager °ü¸® ÄܼÖÀ» »ç¿ëÇÏ¿© ÀÎÁõ ¼öÁØ ¼Ó¼º¿¡¼¿Í °°Àº °ªÀ¸·Î °¢ ÀÎÁõ ¸ðµâÀ» ¼³Á¤ÇÕ´Ï´Ù. ÀÎÁõ ¸ðµâ ±¸¼º¿¡ ´ëÇÑ ³»¿ëÀº ÀÎÁõ ¸Þ´º¸¦ ±¸¼ºÇÏ·Á¸éÀ» ÂüÁ¶ÇϽʽÿÀ.
¼³Ä¡ Áß¿¡ ÇÙ½É ÀÎÁõÀÌ Ãß°¡µÇ°í ±âº» Á¶Á÷¿¡¼ ÀÌ¿¡ ´ëÇÑ ÅÛÇø®Æ®°¡ ¸¸µé¾îÁý´Ï´Ù. ¶ÇÇÑ ¼³Ä¡ Áß¿¡ ´ÙÀ½ ÀÎÁõ ¸ðµâµµ Ãß°¡µÇ°í ±×¿¡ ´ëÇÑ ÅÛÇø®Æ®°¡ ¸¸µé¾îÁý´Ï´Ù.
- LDAP¡ªLDAP ÀÎÁõÀ» ÅëÇØ µð·ºÅ丮 Æ®¸®ÀÇ °Ë»ö ±âÁØÀ¸·Î À¯È¿ÇÑ »ç¿ëÀÚ°¡ Portal Server¿¡ ·Î±×ÀÎÇÒ ¼ö ÀÖ½À´Ï´Ù. ¿©±â¼ »ç¿ëÀÚ¿¡°Ô ƯÁ¤ ±ÔÄ¢ÀÌ ÀÚµ¿À¸·Î ÇÒ´çµË´Ï´Ù.
- ȸ¿ø¡ªÈ¸¿ø ÀÎÁõÀ» ÅëÇØ »ç¿ëÀÚ´Â °ü¸®ÀÚÀÇ µµ¿ò ¾øÀÌ °èÁ¤À» ¸¸µé°í °³ÀÎÈÇÒ ¼ö ÀÖ½À´Ï´Ù. »ç¿ëÀÚ´Â ÀÌ »õ °èÁ¤À» °¡Áö°í Ãß°¡µÈ »ç¿ëÀÚ·Î ¾×¼¼½ºÇÒ ¼ö ÀÖ½À´Ï´Ù.
´ÙÀ½Àº ÀÎÁõ ¸ðµâÀ» ±¸¼ºÇϱâ À§ÇÑ °í±Þ ´Ü°èÀÔ´Ï´Ù.
- »õ·Î¿î °¢ Á¶Á÷¿¡ ÇÙ½É ÀÎÁõ ¼ºñ½º¸¦ Ãß°¡ÇÕ´Ï´Ù. ¼ºñ½º Ãß°¡¸¦ À§ÇÑ ÀýÂ÷´Â ¼ºñ½º¸¦ Ãß°¡ÇÏ·Á¸éÀ» ÂüÁ¶ÇϽʽÿÀ.
- ÇÙ½É ÀÎÁõ ¼ºñ½º¿¡ ´ëÇÑ ÅÛÇø®Æ®¸¦ ¸¸µì´Ï´Ù. ¼ºñ½º¿¡ ´ëÇÑ ÅÛÇø®Æ® ¸¸µé±âÀÇ ÀýÂ÷´Â ¼ºñ½º¿¡ ´ëÇÑ ÅÛÇø®Æ®¸¦ ¸¸µé·Á¸éÀ» ÂüÁ¶ÇϽʽÿÀ.
- °¢ Á¶Á÷¿¡ ´ëÇØ Áö¿øÇÒ ÀÎÁõ ¼ºñ½º¸¦ Ãß°¡ÇÕ´Ï´Ù. ¼ºñ½º Ãß°¡¸¦ À§ÇÑ ÀýÂ÷´Â ¼ºñ½º¸¦ Ãß°¡ÇÏ·Á¸éÀ» ÂüÁ¶ÇϽʽÿÀ.
- Á¶Á÷¿¡ ´ëÇØ Áö¿øÇÒ ÀÎÁõ ¼ºñ½ºÀÇ ¼ºñ½º ÅÛÇø®Æ®¸¦ ¸¸µì´Ï´Ù. ÀÎÁõ ¼ºñ½º¿¡ ´ëÇÑ ÅÛÇø®Æ® ¸¸µé±âÀÇ ÀýÂ÷´Â ¼ºñ½º¿¡ ´ëÇÑ ÅÛÇø®Æ®¸¦ ¸¸µé·Á¸éÀ» ÂüÁ¶ÇϽʽÿÀ. ¼ºñ½º ¼Ó¼ºÀÇ ¼³Á¤¿¡ ´ëÇÑ ÀÚ¼¼ÇÑ ³»¿ëÀº Access Manager °ü¸® ¼³¸í¼ 5Àå 'ÀÎÁõ ȯ°æ ¼³Á¤'À» ÂüÁ¶ÇϽʽÿÀ.
- ÀÎÁõ ¸Þ´º¸¦ ±¸¼ºÇÕ´Ï´Ù. ÀÎÁõ ¼ø¼¸¦ ±¸¼ºÇϱâ À§ÇÑ ´Ü°è´Â ÀÎÁõ ¸Þ´º¸¦ ±¸¼ºÇÏ·Á¸éÀ» ÂüÁ¶ÇϽʽÿÀ.
- ÀÎÁõ ¼ºñ½º¸¦ »ç¿ëÇÒ ¼ø¼¸¦ ±¸¼ºÇÕ´Ï´Ù. ÀÎÁõ ¼ø¼¸¦ ±¸¼ºÇϱâ À§ÇÑ ´Ü°è´Â ÀÎÁõ ¼ø¼¸¦ ±¸¼ºÇÏ·Á¸éÀ» ÂüÁ¶ÇϽʽÿÀ.
ÀÎÁõ ¼öÁغ° ÀÎÁõ
°¢ ÀÎÁõ ¸ðµâÀº ±× ÀÎÁõ ¼öÁØ¿¡ ´ëÇÑ Á¤¼ö °ª°ú ¿¬°ü½Ãų ¼ö ÀÖ½À´Ï´Ù. ÀÎÁõ ¼öÁØÀº ¼ºñ½º ±¸¼º¿¡¼ ÀÎÁõ ¸ðµâÀÇ µî·Ï Á¤º¸ È»ìÇ¥¸¦ ´©¸£°í ¸ðµâÀÇ ÀÎÁõ ¼öÁØ ¼Ó¼ºÀÇ ÇØ´ç °ªÀ» º¯°æÇÏ¿© ÇÒ´çÇÒ ¼ö ÀÖ½À´Ï´Ù. ³ôÀº ÀÎÁõ ¼öÁØÀº »ç¿ëÀÚ°¡ Çϳª ¶Ç´Â ¿©·¯ ÀÎÁõ ¸ðµâ¿¡ ÀÎÁõÀ» ¾òÀº ÈÄ¿¡ »ç¿ëÀÚ¿¡ ³ôÀº ½Å·Úµµ¸¦ Á¤ÀÇÇÕ´Ï´Ù.
ÀÎÁõ ¸Þ´º¸¦ ±¸¼ºÇÏ·Á¸é
»ç¿ëÀڴ ƯÁ¤ ÀÎÁõ ¼öÁØÀ¸·Î ÀÎÁõ ¸ðµâ¿¡ ¾×¼¼½ºÇÒ ¼ö ÀÖ½À´Ï´Ù. ¿¹¸¦ µé¾î, »ç¿ëÀÚ´Â ´ÙÀ½ ±¸¹®À» ÅëÇØ »ç¿ëÀÚ·Î ·Î±×ÀÎÇÕ´Ï´Ù.
http://hostname:port/deploy_uri/UI/Login?authlevel=auth_level_value
ÀÎÁõ ¼öÁØÀÌ auth_level_valueº¸´Ù Å©°Å³ª °°Àº ¸ðµç ¸ðµâÀº »ç¿ëÀÚ°¡ ¼±ÅÃÇÏ´Â ÀÎÁõ ¸Þ´º·Î Ç¥½ÃµË´Ï´Ù. ÀÏÄ¡ÇÏ´Â ¸ðµâÀÌ ÇϳªÀ̸é ÀÌ ÀÎÁõ ¸ðµâ¿¡ ´ëÇÑ ÀÎÁõ ÆäÀÌÁö°¡ Á÷Á¢ Ç¥½ÃµË´Ï´Ù.
Âü°í
Access Manager °ü¸® Äֿܼ¡ ´ëÇÑ ÃֽŠÁ¤º¸ ¹× ÀÚ¼¼ÇÑ Á¤º¸´Â Sun Java System Access Manager 2005Q1 °ü¸® ¼³¸í¼¸¦ ÂüÁ¶ÇϽʽÿÀ.
- Sun Java System Access Management Server °ü¸® Äֿܼ¡ °ü¸®ÀÚ·Î ·Î±×ÀÎÇÕ´Ï´Ù.
±âº»ÀûÀ¸·Î ·Î±×ÀÎÇÒ ¶§ À§Ä¡ Ç¥½Ã ¿µ¿ª¿¡ [ Identity °ü¸®]°¡ ¼±ÅõǾî ÀÖ°í Ž»ö Ç¥½Ã ¿µ¿ª¿¡ [Á¶Á÷]ÀÌ ¼±ÅõǾî ÀÖ½À´Ï´Ù.
- ÀÎÁõÀ» ±¸¼ºÇÒ Á¶Á÷ ¶Ç´Â ÇÏÀ§ Á¶Á÷À¸·Î À̵¿ÇÕ´Ï´Ù.
Ž»ö Ç¥½Ã ¿µ¿ª¿¡¼ [º¸±â] ¸Þ´º¸¦ »ç¿ëÇÕ´Ï´Ù.
- [º¸±â] ¸Þ´º¿¡¼ [¼ºñ½º]¸¦ ¼±ÅÃÇϰí [»õ·Î ¸¸µé±â]¸¦ ´©¸¨´Ï´Ù.
- ÇÙ½É ¿·ÀÇ µî·Ï Á¤º¸ È»ìÇ¥¸¦ ´©¸¨´Ï´Ù.
- ÇØ´ç ÀÎÁõ ¸ðµâÀ» [Á¶Á÷] ºÎºÐÀÇ [Á¶Á÷ ÀÎÁõ ¸ðµâ] Çʵ忡¼ ¼±ÅÃÇÏ¿© Ȱ¼ºÈÇÕ´Ï´Ù.
±âº»ÀûÀ¸·Î Portal Server ¼³Ä¡ ½Ã¿¡ LDAP¿Í ȸ¿øÀÌ È°¼ºÈµË´Ï´Ù.
- °¢ ÀÎÁõ ¸ðµâÀÇ [±âº» ÀÎÁõ ¼öÁØ]¿¡ °ªÀ» ÀÔ·ÂÇÕ´Ï´Ù(±âº»°ªÀº 0).
°¢ ÀÎÁõ ¸ðµâ¿¡ ´ëÇÑ °ªÀº ÀÎÁõ ¸Þ´º¿¡ ³ªÅ¸³ª´Â ¼ø¼¿Í °°¾Æ¾ß ÇÕ´Ï´Ù.
- [ÀúÀå]À» ´©¸¨´Ï´Ù.
ÀÎÁõ ¼ø¼¸¦ ±¸¼ºÇÏ·Á¸é
Âü°í
Access Manager °ü¸® Äֿܼ¡ ´ëÇÑ ÃֽŠÁ¤º¸ ¹× ÀÚ¼¼ÇÑ Á¤º¸´Â Sun Java System Access Manager 2005Q1 °ü¸® ¼³¸í¼¸¦ ÂüÁ¶ÇϽʽÿÀ.
- Sun Java System Access Management Server °ü¸® Äֿܼ¡ °ü¸®ÀÚ·Î ·Î±×ÀÎÇÕ´Ï´Ù.
±âº»ÀûÀ¸·Î ·Î±×ÀÎÇÒ ¶§ À§Ä¡ Ç¥½Ã ¿µ¿ª¿¡ [ Identity °ü¸®]°¡ ¼±ÅõǾî ÀÖ°í Ž»ö Ç¥½Ã ¿µ¿ª¿¡ [Á¶Á÷]ÀÌ ¼±ÅõǾî ÀÖ½À´Ï´Ù.
- ÀÎÁõÀ» ±¸¼ºÇÒ Á¶Á÷ ¶Ç´Â ÇÏÀ§ Á¶Á÷À¸·Î À̵¿ÇÕ´Ï´Ù.
Ž»ö Ç¥½Ã ¿µ¿ª¿¡¼ [º¸±â] ¸Þ´º¸¦ »ç¿ëÇÕ´Ï´Ù.
- [º¸±â] ¸Þ´º¿¡¼ [¼ºñ½º]¸¦ ¼±ÅÃÇϰí [»õ·Î ¸¸µé±â]¸¦ ´©¸¨´Ï´Ù.
- ÇÙ½É ¿·ÀÇ µî·Ï Á¤º¸ È»ìÇ¥¸¦ ´©¸¨´Ï´Ù.
- ÇØ´ç ÀÎÁõ ¸ðµâÀ» [Á¶Á÷] ºÎºÐÀÇ [Á¶Á÷ ÀÎÁõ ¸ðµâ] Çʵ忡¼ ¼±ÅÃÇÏ¿© Ȱ¼ºÈÇÕ´Ï´Ù.
±âº»ÀûÀ¸·Î Portal Server ¼³Ä¡ ½Ã¿¡ LDAP¿Í ȸ¿øÀÌ È°¼ºÈµË´Ï´Ù.
- °¢ ÀÎÁõ ¸ðµâÀÇ [±âº» ÀÎÁõ ¼öÁØ]¿¡ °ªÀ» ÀÔ·ÂÇÕ´Ï´Ù(±âº»°ªÀº 0).
°¢ ÀÎÁõ ¸ðµâ¿¡ ´ëÇÑ °ªÀº ÀÎÁõ ¸Þ´º¿¡ ³ªÅ¸³ª´Â ¼ø¼¿Í °°¾Æ¾ß ÇÕ´Ï´Ù.
- Á¶Á÷ ÀÎÁõ ±¸¼º¿¡¼ [ÆíÁý]À» ¼±ÅÃÇÏ¿© °¢ ÀÎÁõ ¸ðµâ¿¡ ´ëÇÑ ¼Ó¼º Á¤º¸¸¦ ÁöÁ¤ÇÕ´Ï´Ù.
- [ÀúÀå]À» ´©¸¨´Ï´Ù.
- ´ÙÀ½ URL·Î °ü¸® ¼¹ö¿¡ ·Î±×ÀÎÇÏ¿© ÀÎÁõ ¸Þ´º°¡ ÀûÇÕÇÏ°Ô ¼±ÅÃµÇ¾î ³ªÅ¸³ª´ÂÁö È®ÀÎÇÕ´Ï´Ù.
http://host:port/amserver/UI/login
À̰ÍÀÌ ±âº» Á¶Á÷ÀÌ ¾Æ´Ï¸é ´ÙÀ½ URLÀ» »ç¿ëÇÏ¿© Á¶Á÷¿¡ ´ëÇÑ ÀÎÁõ ¸Þ´º¸¦ È®ÀÎÇÕ´Ï´Ù.
http://host:port/amserver/UI/login?org=org_name
¿ÜºÎ µð·ºÅ丮¿¡ ´ëÇÑ LDAP ÀÎÁõÀ» ±¸¼ºÇÏ·Á¸é
Portal Server¸¦ ¼³Ä¡ÇÒ ¶§ ¼³Ä¡ ÇÁ·Î±×·¥ÀÌ µð·ºÅ丮 ÀνºÅϽº¿¡ ´ëÇÑ LDAP ÀÎÁõÀ» ÀÚµ¿À¸·Î ±¸¼ºÇÕ´Ï´Ù. ¼³Ä¡ ÇÁ·Î±×·¥¿¡¼ ·ÎÄà ¼¹ö¿¡ ³»ºÎ µð·ºÅ丮 ÀνºÅϽº¸¦ ¼³Ä¡Çϰí ÀÌ ³»ºÎ µð·ºÅ丮¿¡ ´ëÇÑ LDAP ÀÎÁõÀ» ±¸¼ºÇϰųª ±âÁ¸ÀÇ ¿ÜºÎ µð·ºÅ丮 ÀνºÅϽº¿¡ ´ëÇÑ LDAP ÀÎÁõÀ» ±¸¼ºÇÒ ¼ö ÀÖ½À´Ï´Ù. Ãʱ⠱¸¼ºÀ» ¸¶Ä£ ÈÄ¿¡ ¿ÜºÎ LDAP µð·ºÅ丮¿¡ ´ëÇÑ ÀÎÁõÀ» ±¸¼ºÇØ¾ß ÇÏ´Â ¸î °¡Áö ½Ã³ª¸®¿À°¡ ÀÖ½À´Ï´Ù. ¿¹¸¦ µé¾î, ¼º´ÉÀ̳ª º¸¾È»óÀÇ ÀÌÀ¯·Î ƯÁ¤ Á¶Á÷ÀÇ ÀÎÁõ Á¤º¸¸¦ Àü¿ë LDAP ¼¹ö·Î ºÐ¸®½ÃÄÑ¾ß ÇÒ ¼ö ÀÖ½À´Ï´Ù.
ÁÖÀÇ
amadmin »ç¿ëÀÚ¸¦ Æ÷ÇÔÇÑ Á¶Á÷¿¡´Â ¿ÜºÎ LDAP µð·ºÅ丮¿¡ ´ëÇÑ ÀÎÁõÀ» ±¸¼ºÇÏÁö ¸¶½Ê½Ã¿À. amadmin »ç¿ëÀÚ°¡ ÀÎÁõÀ» ¾ò¾î °ü¸® ÄܼÖÀ» Àü¿ëÇØ¹ö¸®´Â °ÍÀ» ¹æÁöÇϱâ À§Çؼ ÀÔ´Ï´Ù. ¹«½ÉÄÚ amadmin »ç¿ëÀÚ¸¦ Æ÷ÇÔÇÑ Á¶Á÷À» ±¸¼ºÇÑ °æ¿ì, amadminÀÇ ¿ÏÀüÇÑ DNÀ» »ç¿ëÇÏ¿© ·Î±×ÀÎÇÑ ´ÙÀ½ LDAP ÅÛÇø®Æ®¸¦ ¼öÁ¤ÇØ¾ß ÇÕ´Ï´Ù. amadmin DNÀº AMConfig.properties ÆÄÀÏÀÇ com.sun.authentication.super.user µî·Ï Á¤º¸¿¡ ³ª¿µÇ¾î ÀÖ½À´Ï´Ù.
Âü°í
Access Manager °ü¸® Äֿܼ¡ ´ëÇÑ ÃֽŠÁ¤º¸ ¹× ÀÚ¼¼ÇÑ Á¤º¸´Â Sun Java System Access Manager 2005Q1 °ü¸® ¼³¸í¼¸¦ ÂüÁ¶ÇϽʽÿÀ.
- Sun Java System Access Management Server °ü¸® Äֿܼ¡ °ü¸®ÀÚ·Î ·Î±×ÀÎÇÕ´Ï´Ù.
±âº»ÀûÀ¸·Î À§Ä¡ Ç¥½Ã ¿µ¿ª¿¡ [ Identity °ü¸®]°¡ ¼±ÅõǾî ÀÖ°í Ž»ö Ç¥½Ã ¿µ¿ª¿¡ [Á¶Á÷]ÀÌ ¼±ÅõǾî ÀÖ½À´Ï´Ù.
- ÀÎÁõÀ» ±¸¼ºÇÒ Á¶Á÷ ¶Ç´Â ÇÏÀ§ Á¶Á÷À¸·Î À̵¿ÇÕ´Ï´Ù.
Ž»ö Ç¥½Ã ¿µ¿ª¿¡¼ [º¸±â] ¸Þ´º¸¦ »ç¿ëÇÕ´Ï´Ù.
- [º¸±â] ¸Þ´º¿¡¼ [¼ºñ½º]¸¦ ¼±ÅÃÇÕ´Ï´Ù.
- Access Manager ±¸¼º¿¡¼ [ÇÙ½É] ¿·ÀÇ µî·Ï Á¤º¸ È»ìÇ¥¸¦ ´©¸¨´Ï´Ù.
- [µ¿Àû »ç¿ëÀÚ ÇÁ·ÎÇÊ¿¡¼ µ¿ÀûÀ¸·Î »ý¼º] ¸Þ´º¸¦ ¼±ÅÃÇÕ´Ï´Ù.
- [ Access Manager ±¸¼º] ¸Þ´º¿¡¼ LDAP ¿·ÀÇ µî·Ï Á¤º¸ È»ìÇ¥¸¦ ´©¸¨´Ï´Ù.
- ÇØ´ç ¼¹ö¿¡ ÀûÇÕÇÑ LDAP ¼Ó¼ºÀ» ¼³Á¤ÇÕ´Ï´Ù. ´ÙÀ½ ¿¹´Â ou=people,dc=sesta,dc=comÀ» °Ë»ö ½ÃÀÛÁ¡À¸·Î Çϰí cn=root,ou=people,dc=sesta,dc=com¿¡ ´ëÇÑ ·çÆ® »ç¿ëÀÚ ¹ÙÀεùÀ» »ç¿ëÇÏ¿© Æ÷Æ® 389¿¡¼ LDAP ¼¹ö ds-sesta1.sesta.com¿¡ ´ëÇÑ ¾×¼¼½º¸¦ ¼³Á¤ÇÕ´Ï´Ù.
ÁÖ LDAP ¼¹ö ¹× Æ÷Æ®: ds-sesta1.sesta.com:389
º¸Á¶ LDAP ¼¹ö ¹× Æ÷Æ®: ds-sesta1.sesta.com:389
»ç¿ëÀÚ °Ë»öÀ» ½ÃÀÛÇϱâ À§ÇÑ DN: ou=people,dc=sesta,dc=com
·çÆ® »ç¿ëÀÚ ¹ÙÀεùÀ» À§ÇÑ DN: cn=root,ou=people,dc=sesta,dc=com
·çÆ® »ç¿ëÀÚ ¹ÙÀεùÀ» À§ÇÑ ºñ¹Ð¹øÈ£: root password
»ç¿ëÀÚ ¸í¸í ¼Ó¼º: uid
»ç¿ëÀÚ Ç׸ñ °Ë»ö ¼Ó¼º: employeenumber
»ç¿ëÀÚ °Ë»ö ÇÊÅÍ: ºñ¾î ÀÖÀ½
°Ë»ö ¹üÀ§: subtree
LDAP ¼¹ö¿¡ SSL »ç¿ë: off
»ç¿ëÀÚ DNÀ» ÀÎÁõÀ¸·Î º¹±Í: off
ÀÎÁõ ¼öÁØ: 0- [ÀúÀå]À» ´©¸¨´Ï´Ù.
À͸í ÀÎÁõ ±¸¼º
Portal Server´Â À͸í ÀÎÁõ ±¸ÇöÀ» À§ÇÑ µÎ °¡Áö ¹æ¹ýÀ» Áö¿øÇÕ´Ï´Ù.
À͸í ÀÎÁõÀ» Áö¿øÇϱâ À§ÇØ Portal Server ¼³Ä¡ ÇÁ·Î±×·¥Àº »ç¿ëÀÚ °èÁ¤ authlessanonymous¸¦ ¸¸µé°í ´ÙÀ½ µÎ Æ÷ÅÐ µ¥½ºÅ©Å¾ ¼ºñ½ºÀÇ Àü¿ª ¼Ó¼º ³»¿¡¼ ÀÌ »ç¿ëÀÚ¿¡ ´ëÇÑ ¾×¼¼½º¸¦ ¼³Á¤ÇÕ´Ï´Ù.
Portal Server´Â ºñÀÎÁõ ¹× À͸í ÀÎÁõ ¸ðµÎ¸¦ Áö¿øÇÏ¸ç ´ÙÀ½À» ¼öÇàÇÒ ¼ö ÀÖ´Ù´Â Àǹ̿¡¼ µ¿ÀÏÇÏ°Ô ±¸¼ºµË´Ï´Ù.
ÀÌ ½ÃÁ¡¿¡¼ ºê¶ó¿ìÀú A¿¡¼´Â ºñÀÎÁõ ¸ðµå¸¦ »ç¿ëÇÏ°í ºê¶ó¿ìÀú B¿¡¼´Â ÀÍ¸í ¸ðµå¸¦ »ç¿ëÇÏ°Ô µË´Ï´Ù.
µ¥½ºÅ©Å¾¿¡ ¾×¼¼½ºÇÏ´Â °úÁ¤Àº µÎ °¡Áö ´Ù¸¥ ¹æ½ÄÀ¸·Î ÀÌ·ç¾îÁý´Ï´Ù. ±× ÇϳªÀÎ ºñÀÎÁõ ¾×¼¼½º´Â /portal/dt¿¡ ´ëÇÑ Á÷Á¢ ÂüÁ¶¸¦ ÅëÇØ¼ ÀÌ·ç¾îÁ³°í ´Ù¸¥ Çϳª(À͸í)´Â /amserver/UI/loginÀ» ÅëÇØ °£Á¢ÀûÀ¸·Î ÀÌ·ç¾îÁ³½À´Ï´Ù.
¸Þ´º¿¡ ÀÍ¸í ·Î±×Àθ¸ ÀÖµµ·Ï Access Manager¸¦ ±¸¼ºÇÏ¿© Access Manager ·Î±×ÀÎ ¸Þ´ºÀÇ »ç¿ëÀ» ÇÇÇÒ ¼ö ÀÖ½À´Ï´Ù.
Access Manager ¼¼¼Ç ¾øÀÌ /portal/dt¿¡ ¾×¼¼½ºÇÒ ¶§ ´ÙÀ½ µÎ °¡Áö Áß Çϳª¸¸ ÀϾٴ Á¡¿¡¼ ºñÀÎÁõ ¾×¼¼½º¿Í À͸í ÀÎÁõÀº µ¿½Ã¿¡ Áö¿øµÇÁö ¾Ê½À´Ï´Ù.
ºñÀÎÁõ ¾×¼¼½º¸¦ »ç¿ëÇϱâ À§ÇØ À͸í ÀÎÁõÀ» ºñȰ¼ºÈÇÒ ÇÊ¿ä´Â ¾ø½À´Ï´Ù. ±×·¯³ª À§ÀÇ ³»¿ëÀÌ È¿°ú°¡ ÀÖÀ¸·Á¸é ºñÀÎÁõ ¾×¼¼½º ¸ðµå¸¦ ºñȰ¼ºÈÇØ¾ß ÇÕ´Ï´Ù.
À͸í ÀÎÁõÀ» ±¸¼ºÇÏ·Á¸é(ÀÍ¸í »ç¿ëÀÚ ¼¼¼Ç ¹æ¹ý)
Âü°í
Access Manager °ü¸® Äֿܼ¡ ´ëÇÑ ÃֽŠÁ¤º¸ ¹× ÀÚ¼¼ÇÑ Á¤º¸´Â Sun Java System Access Manager 2005Q1 °ü¸® ¼³¸í¼¸¦ ÂüÁ¶ÇϽʽÿÀ.
- Sun Java System Access Management Server °ü¸® Äֿܼ¡ °ü¸®ÀÚ·Î ·Î±×ÀÎÇÕ´Ï´Ù.
±âº»ÀûÀ¸·Î À§Ä¡ Ç¥½Ã ¿µ¿ª¿¡ [ Identity °ü¸®]°¡ ¼±ÅõǾî ÀÖ°í Ž»ö Ç¥½Ã ¿µ¿ª¿¡ [Á¶Á÷]ÀÌ ¼±ÅõǾî ÀÖ½À´Ï´Ù.
- ÀÎÁõÀ» ±¸¼ºÇÒ Á¶Á÷ ¶Ç´Â ÇÏÀ§ Á¶Á÷À¸·Î À̵¿ÇÕ´Ï´Ù.
¸¸µé¾îÁø ¸ðµç Á¶Á÷ÀÌ Å½»ö Ç¥½Ã ¿µ¿ª¿¡ Ç¥½ÃµË´Ï´Ù.
- À§Ä¡ Ç¥½Ã ¿µ¿ª¿¡¼ [¼ºñ½º ±¸¼º]À» ¼±ÅÃÇÕ´Ï´Ù.
- Æ÷ÅÐ µ¥½ºÅ©Å¾ ¼ºñ½º ¿·ÀÇ µî·Ï Á¤º¸ È»ìÇ¥¸¦ ´©¸¨´Ï´Ù.
µ¥ÀÌÅÍ Ç¥½Ã ¿µ¿ª¿¡ Æ÷ÅÐ µ¥½ºÅ©Å¾ ¼Ó¼ºÀÌ Ç¥½ÃµË´Ï´Ù.
- [Àΰ¡µÈ ºñÀÎÁõ »ç¿ëÀÚ ¾ÆÀ̵ð] ¼Ó¼º¿¡ ³ª¿µÈ °ªÀ» ¼±ÅÃÇϰí [Á¦°Å]¸¦ ´©¸¨´Ï´Ù.
- [±âº» ºñÀÎÁõ »ç¿ëÀÚ ¾ÆÀ̵ð] ¼Ó¼º¿¡ ³ª¿µÈ °ªÀ» ¼±ÅÃÇϰí [Á¦°Å]¸¦ ´©¸¨´Ï´Ù.
- [ÀúÀå]À» ´©¸¨´Ï´Ù.
- À§Ä¡ Ç¥½Ã ¿µ¿ª¿¡¼ [ Identity °ü¸®]¸¦ ¼±ÅÃÇÕ´Ï´Ù.
- [º¸±â] ¸Þ´º¿¡¼ [Á¶Á÷]À» ¼±ÅÃÇÕ´Ï´Ù.
¸¸µé¾îÁø ¸ðµç Á¶Á÷ÀÌ Å½»ö Ç¥½Ã ¿µ¿ª¿¡ Ç¥½ÃµË´Ï´Ù.
- ÀÎÁõÀ» ±¸¼ºÇÒ Á¶Á÷ ¶Ç´Â ÇÏÀ§ Á¶Á÷À¸·Î À̵¿ÇÕ´Ï´Ù.
À§Ä¡ Ç¥½Ã ¿µ¿ª¿¡¼ [º¸±â] ¸Þ´º¸¦ »ç¿ëÇÕ´Ï´Ù.
- [Ç¥½Ã] ¸Þ´º¿¡¼ [¼ºñ½º]¸¦ ¼±ÅÃÇÕ´Ï´Ù.
- ÀÍ¸í ¼ºñ½º¸¦ Ãß°¡ÇÏ°í ±¸¼ºÇÕ´Ï´Ù.
ÀÚ¼¼ÇÑ ³»¿ëÀº ¼ºñ½º¸¦ Ãß°¡ÇÏ·Á¸é ¹× ¼ºñ½º¿¡ ´ëÇÑ ÅÛÇø®Æ®¸¦ ¸¸µé·Á¸éÀ» ÂüÁ¶ÇϽʽÿÀ.
- À͸íÀ» ÀÎÁõ ¸Þ´º¿¡ Ãß°¡ÇÕ´Ï´Ù.
ÀÚ¼¼ÇÑ ³»¿ëÀº ÀÎÁõ ¼ø¼¸¦ ±¸¼ºÇÏ·Á¸éÀ» ÂüÁ¶ÇϽʽÿÀ.
- anonymous »ç¿ëÀÚ °èÁ¤À» ¸¸µì´Ï´Ù.
ÀÚ¼¼ÇÑ ³»¿ëÀº »õ »ç¿ëÀÚ¸¦ Ãß°¡ÇÏ·Á¸éÀ» ÂüÁ¶ÇϽʽÿÀ.
À͸í ÀÎÁõÀ» ±¸¼ºÇÏ·Á¸é(ºñÀÎÁõ ¾×¼¼½º)
Âü°í
Access Manager °ü¸® Äֿܼ¡ ´ëÇÑ ÃֽŠÁ¤º¸ ¹× ÀÚ¼¼ÇÑ Á¤º¸´Â Sun Java System Access Manager 2005Q1 °ü¸® ¼³¸í¼¸¦ ÂüÁ¶ÇϽʽÿÀ.
- Sun Java System Access Management Server °ü¸® Äֿܼ¡ °ü¸®ÀÚ·Î ·Î±×ÀÎÇÕ´Ï´Ù.
±âº»ÀûÀ¸·Î À§Ä¡ Ç¥½Ã ¿µ¿ª¿¡ [ Identity °ü¸®]°¡ ¼±ÅõǾî ÀÖ°í Ž»ö Ç¥½Ã ¿µ¿ª¿¡ [Á¶Á÷]ÀÌ ¼±ÅõǾî ÀÖ½À´Ï´Ù.
- ±âº»ÀûÀ¸·Î ·Î±×ÀÎÇÒ ¶§ À§Ä¡ Ç¥½Ã ¿µ¿ª¿¡ [ Identity °ü¸®]°¡ ¼±ÅõǾî ÀÖ°í Ž»ö Ç¥½Ã ¿µ¿ª¿¡ [Á¶Á÷]ÀÌ ¼±ÅõǾî ÀÖ½À´Ï´Ù.
¸¸µé¾îÁø ¸ðµç Á¶Á÷ÀÌ Å½»ö Ç¥½Ã ¿µ¿ª¿¡ Ç¥½ÃµË´Ï´Ù.
- ÀÎÁõÀ» ±¸¼ºÇÒ Á¶Á÷ ¶Ç´Â ÇÏÀ§ Á¶Á÷À¸·Î À̵¿ÇÕ´Ï´Ù.
Ž»ö Ç¥½Ã ¿µ¿ª¿¡¼ [º¸±â] ¸Þ´º¸¦ »ç¿ëÇÕ´Ï´Ù.
- ºñ¹Ð¹øÈ£°¡ authlessanonymousÀÎ authlessanonymous »ç¿ëÀÚ °èÁ¤À» ¸¸µì´Ï´Ù.
ÀÚ¼¼ÇÑ ³»¿ëÀº »õ »ç¿ëÀÚ¸¦ Ãß°¡ÇÏ·Á¸éÀ» ÂüÁ¶ÇϽʽÿÀ.
- À§Ä¡ Ç¥½Ã ¿µ¿ª¿¡¼ [¼ºñ½º ±¸¼º]À» ¼±ÅÃÇÕ´Ï´Ù.
- Ž»ö Ç¥½Ã ¿µ¿ª¿¡¼ [Æ÷ÅÐ µ¥½ºÅ©Å¾]À» ¼±ÅÃÇÕ´Ï´Ù.
- authlessanonymous »ç¿ëÀÚÀÇ ¿ÏÀüÇÑ ±¸ºÐ À̸§À» [Àΰ¡µÈ ºñÀÎÁõ »ç¿ëÀÚ ¾ÆÀ̵ð] ¼Ó¼º¿¡ Ãß°¡ÇÕ´Ï´Ù. ¿¹:
uid=authlessanonymous, ou=People, dc=sesta, dc=com
- [±âº» ºñÀÎÁõ »ç¿ëÀÚ ¾ÆÀ̵ð] ¼Ó¼º¿¡¼ authlessanonymous »ç¿ëÀÚÀÇ ¿ÏÀüÇÑ ±¸ºÐ À̸§À» ÁöÁ¤ÇÕ´Ï´Ù.
- [ÀúÀå]À» ´©¸¨´Ï´Ù.
»õ·Î ±¸¼ºµÈ ºñÀÎÁõ »ç¿ëÀÚ ¾ÆÀÌµð ¹æ¹ýÀ» »ç¿ëÇÏ¿© µ¥½ºÅ©Å¾¿¡ ¾×¼¼½ºÇÏ·Á¸é ºê¶ó¿ìÀú¸¦ ´Ý°í ´Ù½Ã ½ÃÀÛÇØ¾ß ÇÕ´Ï´Ù. ºñÀÎÁõ »ç¿ëÀÚ ¾ÆÀÌµð ¹æ¹ý¿¡¼´Â Äõ¸® ¹®ÀÚ¿ÀÇ »ç¿ëÀÚ °èÁ¤ UID¸¦ ÁöÁ¤ÇÒ ¼ö ÀÖ½À´Ï´Ù. ºñÀÎÁõ UID´Â ±âº»ÀûÀ¸·Î 'desktop.suid'ÀÔ´Ï´Ù. Á¢µÎ¾î 'desktop'Àº desktopconfig.properties ÆÄÀÏÀÇ ±¸¼º ¸Å°³ º¯¼ö 'cookiePrefix'¸¦ ÅëÇØ Á¦¾îµË´Ï´Ù. ¿¹¸¦ µé¾î sestat.comÀÇ ±âº» Á¶Á÷¿¡¼ µ¥½ºÅ©Å¾¿¡ ¾×¼¼½ºÇÏ·Á¸é ´ÙÀ½ URLÀ» »ç¿ëÇÕ´Ï´Ù.
http://server:port/portal/dt?desktop.suid=uid=authlessanonymous, ou=People,dc=sesta,dc=com
Âü°í
»ç¿ëÀÚ°¡ »ç¿ëÀÚÀÇ °íÀ¯ ¾ð¾î°¡ ¾Æ´Ñ ·ÎÄÌ·Î ºê¶ó¿ìÀú¿¡ ·Î±×ÀÎÇÏ¸é ±âŸ ¸ðµç »ç¿ëÀÚ°¡ ·Î±×ÀÎ ÇÁ·ÒÇÁÆ®¿¡¼ °°Àº ·ÎÄÌÀ» °øÀ¯ÇÏ°Ô µË´Ï´Ù.
ÀÌ ¹®Á¦¸¦ ¿©·¯ °¡Áö ¹æ¹ýÀ¸·Î ÇØ°áÇÒ ¼ö ÀÖ½À´Ï´Ù.
¿¬ÇÕ »ç¿ëÀÚ¸¦ À§ÇÑ Portal Server ±¸¼º
Sun Java System Portal Server ¼ÒÇÁÆ®¿þ¾î´Â Liberty Alliance ±Ô°ÝÀ» ÁؼöÇÏ´Â ¿¬ÇÕ ½ÅºÐÀ» °¡Áø »ç¿ëÀÚ¸¦ Áö¿øÇÕ´Ï´Ù. Liberty ´ÜÀÏ »çÀοÂÇÑ ¿¬ÇÕ »ç¿ëÀÚ´Â ´õ ÀÌ»óÀÇ ÀÎÁõ ¾øÀÌ Æ÷ÅÐ ¼¹ö¿¡¼ °³º°ÈµÈ µ¥½ºÅ©Å¾¿¡ ¾×¼¼½ºÇÒ ¼ö ÀÖ½À´Ï´Ù.
Liberty »ç¿ë ÀÎÁõ ¼ºñ½º¿¡ ´ëÇÑ ÀÚ¼¼ÇÑ ³»¿ëÀº Sun Java System Access Manager °ü¸® ¼³¸í¼¸¦ ÂüÁ¶ÇϽʽÿÀ. ´ÙÀ½ À§Ä¡¿¡¼ Portal Server°¡ ¼ºñ½º °ø±ÞÀÚ ¿ªÇÒÀ» ÇÏ´Â ¿¹Á¦ ±¸¼ºÀ» ã¾Æº¼ ¼ö ÀÖ½À´Ï´Ù.
PortalServer-base/SUNWps/samples/liberty
¿¬ÇÕ »ç¿ëÀÚ¸¦ ±¸¼ºÇÏ·Á¸é
±âº»ÀûÀ¸·Î ¿¬ÇÕ »ç¿ëÀÚ´Â ¼ºñ½º °ø±ÞÀÚ ¿ªÇÒÀ» ÇÏ´Â Sun Java System Portal Server¿¡ ¾×¼¼½ºÇÒ ±ÇÇÑÀÌ ¾ø½À´Ï´Ù. Portal Server´Â ´ÙÀ½°ú °°ÀÌ ¿¬ÇÕ »ç¿ëÀÚ¸¦ ó¸®ÇÒ ¼ö ÀÖ½À´Ï´Ù.
- Liberty ´ÜÀÏ »çÀοÂÇÏ´Â ¿¬ÇÕ »ç¿ëÀÚ´Â °³º°ÈµÈ Æ÷ÅÐ µ¥½ºÅ©Å¾¿¡ ¾×¼¼½ºÇÒ ¼ö ÀÖ½À´Ï´Ù.
- Liberty ´ÜÀÏ »çÀοÂÇÏÁö ¾Ê´Â ¿¬ÇÕ »ç¿ëÀÚ´Â Identity °ø±ÞÀÚÀÇ ÀÎÁõ ÆäÀÌÁö·Î ¸®µð·º¼ÇµË´Ï´Ù.
- Sun Java System Access Management Server °ü¸® Äֿܼ¡ °ü¸®ÀÚ·Î ·Î±×ÀÎÇÕ´Ï´Ù.
±âº»ÀûÀ¸·Î À§Ä¡ Ç¥½Ã ¿µ¿ª¿¡ [ Identity °ü¸®]°¡ ¼±ÅõǾî ÀÖ°í Ž»ö Ç¥½Ã ¿µ¿ª¿¡ [Á¶Á÷]ÀÌ ¼±ÅõǾî ÀÖ½À´Ï´Ù.
- À§Ä¡ Ç¥½Ã ¿µ¿ª¿¡¼ [¼ºñ½º ±¸¼º]À» ¼±ÅÃÇÕ´Ï´Ù.
- Ž»ö Ç¥½Ã ¿µ¿ª¿¡¼ [Æ÷ÅÐ µ¥½ºÅ©Å¾]À» ¼±ÅÃÇÕ´Ï´Ù.
- [¿¬ÇÕ »ç¿ë]À» ¼±ÅÃÇÕ´Ï´Ù.
- È£½ºÆ® °ø±ÞÀÚÀÇ ¾ÆÀ̵𸦠ÁöÁ¤ÇÕ´Ï´Ù.
- [ÀúÀå]À» ´©¸¨´Ï´Ù.
¿¬ÇÕ »ç¿ëÀÚÀÇ ºñÀÎÁõ ¾×¼¼½º¸¦ ±¸¼ºÇÏ·Á¸é
±âº»ÀûÀ¸·Î ¿¬ÇÕ »ç¿ëÀÚ´Â ºñÀÎÁõ Æ÷ÅÐ µ¥½ºÅ©Å¾¿¡ ¾×¼¼½ºÇÒ ±ÇÇÑÀÌ ¾ø½À´Ï´Ù.
Âü°í
Access Manager °ü¸® Äֿܼ¡ ´ëÇÑ ÃֽŠÁ¤º¸ ¹× ÀÚ¼¼ÇÑ Á¤º¸´Â Sun Java System Access Manager 2005Q1 °ü¸® ¼³¸í¼¸¦ ÂüÁ¶ÇϽʽÿÀ.
- Sun Java System Access Management Server °ü¸® Äֿܼ¡ °ü¸®ÀÚ·Î ·Î±×ÀÎÇÕ´Ï´Ù.
±âº»ÀûÀ¸·Î À§Ä¡ Ç¥½Ã ¿µ¿ª¿¡ [ Identity °ü¸®]°¡ ¼±ÅõǾî ÀÖ°í Ž»ö Ç¥½Ã ¿µ¿ª¿¡ [Á¶Á÷]ÀÌ ¼±ÅõǾî ÀÖ½À´Ï´Ù.
- ÀÎÁõÀ» ±¸¼ºÇÒ Á¶Á÷ ¶Ç´Â ÇÏÀ§ Á¶Á÷À¸·Î À̵¿ÇÕ´Ï´Ù.
Ž»ö Ç¥½Ã ¿µ¿ª¿¡¼ [º¸±â] ¸Þ´º¸¦ »ç¿ëÇÕ´Ï´Ù.
- À§Ä¡ Ç¥½Ã ¿µ¿ª¿¡¼ [¼ºñ½º ±¸¼º]À» ¼±ÅÃÇÕ´Ï´Ù.
- Ž»ö Ç¥½Ã ¿µ¿ª¿¡¼ [Æ÷ÅÐ µ¥½ºÅ©Å¾]À» ¼±ÅÃÇÕ´Ï´Ù.
- [¿¬ÇÕ »ç¿ëÀÚÀÇ ºñÀÎÁõ ¾×¼¼½º »ç¿ë ¾ÈÇÔ]À» ¼±ÅÃ ÇØÁ¦ÇÕ´Ï´Ù.
- [ÀúÀå]À» ´©¸¨´Ï´Ù.
ºñÀÎÁõ ¾×¼¼½º¿¡ ´ëÇÑ ÀÚ¼¼ÇÑ ³»¿ëÀº À͸í ÀÎÁõÀ» ±¸¼ºÇÏ·Á¸é(ºñÀÎÁõ ¾×¼¼½º)À» ÂüÁ¶ÇϽʽÿÀ.
UNIX ÀÎÁõÀ» ±¸¼ºÇÏ·Á¸é
Âü°í
Access Manager °ü¸® Äֿܼ¡ ´ëÇÑ ÃֽŠÁ¤º¸ ¹× ÀÚ¼¼ÇÑ Á¤º¸´Â Sun Java System Access Manager 2005Q1 °ü¸® ¼³¸í¼¸¦ ÂüÁ¶ÇϽʽÿÀ.
- Sun Java System Access Management Server °ü¸® Äֿܼ¡ °ü¸®ÀÚ·Î ·Î±×ÀÎÇÕ´Ï´Ù.
±âº»ÀûÀ¸·Î À§Ä¡ Ç¥½Ã ¿µ¿ª¿¡ [ Identity °ü¸®]°¡ ¼±ÅõǾî ÀÖ°í Ž»ö Ç¥½Ã ¿µ¿ª¿¡ [Á¶Á÷]ÀÌ ¼±ÅõǾî ÀÖ½À´Ï´Ù.
- Identity °ü¸®ÀÇ [º¸±â] ¸Þ´º¿¡¼ [Á¶Á÷]À» ¼±ÅÃÇÕ´Ï´Ù.
¸¸µé¾îÁø ¸ðµç Á¶Á÷ÀÌ Å½»ö Ç¥½Ã ¿µ¿ª¿¡ Ç¥½ÃµË´Ï´Ù.
- À§Ä¡ Ç¥½Ã ¿µ¿ª¿¡¼ [¼ºñ½º ±¸¼º]À» ¼±ÅÃÇÕ´Ï´Ù.
- Ž»ö Ç¥½Ã ¿µ¿ª¿¡¼ UNIX ¿·ÀÇ µî·Ï Á¤º¸ È»ìÇ¥¸¦ ´©¸¨´Ï´Ù(Access Manager ±¸¼º ¾Æ·¡).
- ÇØ´ç ¼¹ö¿¡ ÀûÇÕÇÑ UNIX ¼Ó¼ºÀ» ¼³Á¤ÇÕ´Ï´Ù.
- [ÀúÀå]À» ´©¸¨´Ï´Ù.
- ÀÎÁõÀ» ±¸¼ºÇÒ Á¶Á÷ ¶Ç´Â ÇÏÀ§ Á¶Á÷À¸·Î À̵¿ÇÕ´Ï´Ù.
Ž»ö Ç¥½Ã ¿µ¿ª¿¡¼ [º¸±â] ¸Þ´º¸¦ »ç¿ëÇÕ´Ï´Ù.
- [º¸±â] ¸Þ´º¿¡¼ [¼ºñ½º]¸¦ ¼±ÅÃÇÕ´Ï´Ù.
- Ž»ö Ç¥½Ã ¿µ¿ª¿¡¼ [»õ·Î ¸¸µé±â]¸¦ ´©¸¨´Ï´Ù.
- µ¥ÀÌÅÍ Ç¥½Ã ¿µ¿ª¿¡¼ ÀÎÁõ ¾Æ·¡ÀÇ [ÇÙ½É]À» ´©¸¨´Ï´Ù.
- µ¥ÀÌÅÍ Ç¥½Ã ¿µ¿ªÀÇ [Á¶Á÷ ÀÎÁõ ¸ðµâ] ¸Þ´º¿¡¼ [Unix]¸¦ ¼±ÅÃÇÕ´Ï´Ù.
- [ÀúÀå]À» ´©¸¨´Ï´Ù.
Á¶Á÷ ¼öÁØÀÇ UNIX ÀÎÁõÀ» ±¸¼ºÇÏ·Á¸é
UNIX ÀÎÁõÀ» ±¸¼ºÇÏ·Á¸é¿¡¼ ¼³¸íÇÏ´Â UNIX ÀÎÁõÀº UNIX¸¦ Àü¿ªÀ¸·Î ±¸¼ºÇϱâ À§ÇÑ °ÍÀÔ´Ï´Ù. ÀÌ ÀýÂ÷¿¡¼´Â Á¶Á÷ ¼öÁØ¿¡¼ ±¸¼ºÇÕ´Ï´Ù.
Âü°í
Access Manager °ü¸® Äֿܼ¡ ´ëÇÑ ÃֽŠÁ¤º¸ ¹× ÀÚ¼¼ÇÑ Á¤º¸´Â Sun Java System Access Manager 2005Q1 °ü¸® ¼³¸í¼¸¦ ÂüÁ¶ÇϽʽÿÀ.
- ºê¶ó¿ìÀúÀÇ À¥ ÁÖ¼Ò Çʵ忡 http://fullservername:port/amconsoleÀ» ÀÔ·ÂÇÏ¿© Sun Java System Access Manager °ü¸® Äֿܼ¡ °ü¸®ÀÚ(amadmin)·Î ·Î±×ÀÎÇÕ´Ï´Ù.
- ·Î±×¿Â ȸ鿡¼ »ç¿ëÀÚ ¾ÆÀ̵ð·Î amadminÀ» ÀÔ·ÂÇÏ°í ¼³Ä¡ °úÁ¤¿¡¼ ¼±ÅÃÇÑ ºñ¹Ð¹øÈ£¸¦ ÀÔ·ÂÇÕ´Ï´Ù.
±âº»ÀûÀ¸·Î À§Ä¡ Ç¥½Ã ¿µ¿ª¿¡ [ Identity °ü¸®]°¡ ¼±ÅõǾî ÀÖ°í Ž»ö Ç¥½Ã ¿µ¿ª¿¡ [Á¶Á÷]ÀÌ ¼±ÅõǾî ÀÖ½À´Ï´Ù.
- Identity °ü¸®ÀÇ [º¸±â] ¸Þ´º¿¡¼ [Á¶Á÷]À» ¼±ÅÃÇÕ´Ï´Ù.
¸¸µé¾îÁø ¸ðµç Á¶Á÷ÀÌ Å½»ö Ç¥½Ã ¿µ¿ª¿¡ Ç¥½ÃµË´Ï´Ù.
- [º¸±â] ¸Þ´º¿¡¼ [¼ºñ½º]¸¦ ¼±ÅÃÇÕ´Ï´Ù.
- [»õ·Î ¸¸µé±â]¸¦ ¼±ÅÃÇÕ´Ï´Ù.
- ¿À¸¥ÂÊ Ç¥½Ã ¿µ¿ª¿¡¼ [UNIX]¸¦ ¼±ÅÃÇϰí [È®ÀÎ]À» ´©¸¨´Ï´Ù.
- UNIX ¿·ÀÇ µî·Ï Á¤º¸ È»ìÇ¥¸¦ ¼±ÅÃÇÕ´Ï´Ù.
- [¼ºñ½º ÅÛÇø®Æ® ¸¸µé±â(Unix) ] Ç¥½Ã ¿µ¿ª¿¡¼ [¿¹]¸¦ ¼±ÅÃÇÕ´Ï´Ù.
- ÇØ´ç ¼¹ö¿¡ ÀûÇÕÇÑ UNIX ¼Ó¼ºÀ» ¼³Á¤ÇÕ´Ï´Ù.
- [ÀúÀå]À» ¼±ÅÃÇÕ´Ï´Ù.
- ÄÚ¾î ¿·ÀÇ µî·Ï Á¤º¸ È»ìÇ¥¸¦ ¼±ÅÃÇÕ´Ï´Ù.
- ÀÎÁõ ¸Þ´º¿¡¼ [UNIX]¸¦ °Á¶ Ç¥½ÃÇϰí [ÀúÀå]À» ¼±ÅÃÇÕ´Ï´Ù.
Portal Server°¡ Á¤Ã¥ °ü¸®¸¦ »ç¿ëÇÏ´Â ¹æ½Ä¿¡ ´ëÇÑ °³¿äÀÌ Àý¿¡¼´Â Access Manager Á¤Ã¥ °ü¸® ±â´ÉÀ» »ç¿ëÇÏ´Â ¹æ¹ý¿¡ ´ëÇØ ¼³¸íÇÕ´Ï´Ù. Á¤Ã¥À» »ý¼º, ¼öÁ¤ ¹× »èÁ¦ÇÏ´Â ÀýÂ÷¿¡ ´ëÇØ¼´Â Access Manager ¼³¸í¼¸¦ ÂüÁ¶ÇϽʽÿÀ.
Access Manager Á¤Ã¥ ¼ºñ½º¸¦ ÅëÇØ ±ÔÄ¢À̳ª ÀÚ¿ø¿¡ ´ëÇÑ ¾×¼¼½º¸¦ Á¤ÀÇÇÒ ¼ö ÀÖ½À´Ï´Ù. Á¤Ã¥Àº ±ÔÄ¢ ±â¹Ý ¶Ç´Â Á¶Á÷ ±â¹ÝÀÏ ¼ö ÀÖÀ¸¸ç ±ÇÇÑÀ» Á¦°øÇϰųª Á¦ÇÑÀ» Á¤ÀÇÇÒ ¼ö ÀÖ½À´Ï´Ù. Portal Server¿¡´Â 3°¡Áö Á¤Ã¥ÀÌ ÇÔ²² Á¦°øµË´Ï´Ù.
- Portal Server Æ÷ÅÐ µ¥½ºÅ©Å¾À» ½ÇÇàÇÏ°í »ç¿ëÀÚ°¡ µ¥½ºÅ©Å¾À» Ç¥½ÃÇÒ ¼ö ÀÖµµ·Ï ÇÏ´Â ±â´É
- Portal Server NetMailÀ» ½ÇÇàÇÏ°í »ç¿ëÀÚ°¡ NetMailÀ» ½ÇÇàÇÒ ¼ö ÀÖµµ·Ï ÇÏ´Â ±â´É
Âü°í
8 Àå, "Æ÷ÅÐ µ¥½ºÅ©Å¾ ¼ºñ½º °ü¸®" ¹× 11 Àå, "NetMail ¼ºñ½º °ü¸®"¿¡¼ ƯÁ¤ Á¤Ã¥À» ÇÒ´çÇÏ´Â ¹æ¹ý¿¡ ´ëÇØ ÀÚ¼¼È÷ ¼³¸íÇÕ´Ï´Ù.
±âº»ÀûÀ¸·Î Á¤Ã¥ ±¸¼º ¼ºñ½º´Â ÃÖ»óÀ§ Á¶Á÷¿¡ ÀÚµ¿À¸·Î Ãß°¡µË´Ï´Ù. ÇÏÀ§ Á¶Á÷Àº »óÀ§ Á¶Á÷°ú µ¶¸³ÀûÀ¸·Î Á¤Ã¥ ¼ºñ½º¸¦ Ãß°¡ÇØ¾ß ÇÕ´Ï´Ù. ¸¸µå´Â ¸ðµç Á¤Ã¥ ¼ºñ½º´Â ¸ðµç Á¶Á÷¿¡ Ãß°¡ÇØ¾ß ÇÕ´Ï´Ù. ´ÙÀ½Àº Á¤Ã¥À» »ç¿ëÇϱâ À§ÇÑ °í±Þ ´Ü°èÀÔ´Ï´Ù.
- Á¶Á÷¿¡ Á¤Ã¥ ¼ºñ½º¸¦ Ãß°¡ÇÕ´Ï´Ù. (¼³Ä¡ ½Ã¿¡ ÁöÁ¤ÇÑ Á¶Á÷¿¡ ´ëÇØ ÀÚµ¿À¸·Î ¼öÇàµË´Ï´Ù.) ÇÏÀ§ Á¶Á÷Àº »óÀ§ Á¶Á÷ÀÇ ¼ºñ½º¸¦ »ó¼ÓÇÏÁö ¾Ê±â ¶§¹®¿¡ ÇÏÀ§ Á¶Á÷ÀÇ Á¤Ã¥ ¼ºñ½º¸¦ Ãß°¡ÇØ¾ß ÇÕ´Ï´Ù. ÀÚ¼¼ÇÑ ³»¿ëÀº ¼ºñ½º¸¦ Ãß°¡ÇÏ·Á¸éÀ» ÂüÁ¶ÇϽʽÿÀ.
- ÇÇ¾î ¶Ç´Â ÇÏÀ§ Á¶Á÷¿¡ ´ëÇÑ À§Å¹ Á¤Ã¥À» ¸¸µì´Ï´Ù. Á¶Á÷ÀÇ Á¤Ã¥ Á¤ÀÇ¿Í ÀÇ»ç °áÁ¤À» ´Ù¸¥ Á¶Á÷¿¡ À§ÀÓÇÒ ¼ö ÀÖ½À´Ï´Ù. (¶Ç´Â ÀÚ¿ø¿¡ ´ëÇÑ Á¤Ã¥ ÀÇ»ç °áÁ¤À» ´Ù¸¥ Á¤Ã¥ Á¦Ç°¿¡ À§ÀÓÇÒ ¼ö ÀÖ½À´Ï´Ù.) À§Å¹ Á¤Ã¥Àº Á¤Ã¥ »ý¼º°ú Æò°¡ ¸ðµÎ¿¡¼ ÀÌ Á¤Ã¥ÀÇ À§ÀÓÀ» Á¦¾îÇÕ´Ï´Ù. À§Å¹ Á¤Ã¥Àº ±ÔÄ¢°ú À§Å¹ ÀÚü·Î ±¸¼ºµË´Ï´Ù. Á¤Ã¥ ¼ºñ½º¿¡ ÀÚ¿øÀÌ ÇÊ¿ä ¾ø´Â ÀÛ¾÷ÀÌ ÀÖÀ¸¸é ÇÏÀ§ Á¶Á÷¿¡ ´ëÇØ À§Å¹ Á¤Ã¥À» ¸¸µé ¼ö ¾ø½À´Ï´Ù. ÀÚ¼¼ÇÑ ³»¿ëÀº ÇÇ¾î ¶Ç´Â ÇÏÀ§ Á¶Á÷¿¡ ´ëÇÑ À§Å¹ Á¤Ã¥À» ¸¸µé·Á¸éÀ» ÂüÁ¶ÇϽʽÿÀ.
- ÇÇ¾î ¶Ç´Â ÇÏÀ§ Á¶Á÷¿¡ ´ëÇÑ ÀÏ¹Ý Á¤Ã¥À» ¸¸µì´Ï´Ù. ¾×¼¼½º ±ÇÇÑÀ» Á¤ÀÇÇÏ´Â ÀÏ¹Ý Á¤Ã¥À» ¸¸µì´Ï´Ù. ÀÏ¹Ý Á¤Ã¥Àº ¿©·¯ °¡Áö ±ÔÄ¢, ÁÖÁ¦ ¹× Á¶°ÇÀ¸·Î ±¸¼ºµÉ ¼ö ÀÖ½À´Ï´Ù. ÀÚ¼¼ÇÑ ³»¿ëÀº ÇÇ¾î ¶Ç´Â ÇÏÀ§ Á¶Á÷¿¡ ´ëÇÑ ÀÏ¹Ý Á¤Ã¥À» ¸¸µé·Á¸éÀ» ÂüÁ¶ÇϽʽÿÀ.
ÇÇ¾î ¶Ç´Â ÇÏÀ§ Á¶Á÷¿¡ ´ëÇÑ Á¤Ã¥ ¼ºñ½º¸¦ Ãß°¡ÇÏ·Á¸é
ÇǾ ÇÏÀ§ Á¶Á÷Àº »óÀ§ Á¶Á÷ÀÇ ¼ºñ½º¸¦ »ó¼ÓÇÏÁö ¾Ê±â ¶§¹®¿¡ ÇǾ ÇÏÀ§ Á¶Á÷ÀÇ Á¤Ã¥ ¼ºñ½º¸¦ Ãß°¡ÇØ¾ß ÇÕ´Ï´Ù.
Âü°í
Access Manager °ü¸® Äֿܼ¡ ´ëÇÑ ÃֽŠÁ¤º¸ ¹× ÀÚ¼¼ÇÑ Á¤º¸´Â Sun Java System Access Manager 2005Q1 °ü¸® ¼³¸í¼¸¦ ÂüÁ¶ÇϽʽÿÀ.
- Sun Java System Access Management Server °ü¸® Äֿܼ¡ °ü¸®ÀÚ·Î ·Î±×ÀÎÇÕ´Ï´Ù.
±âº»ÀûÀ¸·Î À§Ä¡ Ç¥½Ã ¿µ¿ª¿¡ [ Identity °ü¸®]°¡ ¼±ÅõǾî ÀÖ°í Ž»ö Ç¥½Ã ¿µ¿ª¿¡ [Á¶Á÷]ÀÌ ¼±ÅõǾî ÀÖ½À´Ï´Ù.
- À§Å¹ Á¤Ã¥À» ¸¸µé Á¶Á÷ ¶Ç´Â ÇÏÀ§ Á¶Á÷À¸·Î À̵¿ÇÕ´Ï´Ù.
¸¸µé¾îÁø ¸ðµç Á¶Á÷ÀÌ Å½»ö Ç¥½Ã ¿µ¿ª¿¡ Ç¥½ÃµË´Ï´Ù.
- Ž»ö Ç¥½Ã ¿µ¿ªÀÇ [º¸±â] ¸Þ´º¿¡¼ [Á¶Á÷]À» ¼±ÅÃÇϰí [À̸§] ¸Þ´º¿¡¼ ÇÊ¿äÇÑ Á¶Á÷À» ¼±ÅÃÇÕ´Ï´Ù.
- [º¸±â] ¸Þ´º¿¡¼ [¼ºñ½º]¸¦ ¼±ÅÃÇÕ´Ï´Ù.
- [»õ·Î ¸¸µé±â]¸¦ ´©¸¨´Ï´Ù.
µ¥ÀÌÅÍ Ç¥½Ã ¿µ¿ª¿¡ [¼ºñ½º Ãß°¡] ÆäÀÌÁö°¡ Ç¥½ÃµË´Ï´Ù. ´ÙÀ½ ÃÖ¼Ò ¼ºñ½º¸¦ À§ÇÑ È®ÀζõÀ» ´©¸£°í [È®ÀÎ]À» ´©¸¨´Ï´Ù.
- µî·Ï Á¤º¸ È»ìÇ¥¸¦ ´·¯ °¢ ¼ºñ½º¸¦ ±¸¼ºÇÕ´Ï´Ù. [¸¸µé±â]¸¦ ´·¯ ±¸¼º ¼Ó¼ºÀ» ¼öÁ¤ÇÕ´Ï´Ù. Portal Server ±¸¼º¿¡ ƯÁ¤ÇÏÁö ¾ÊÀº ¼Ó¼ºÀÇ ¼³¸íÀº Sun Java System Access Manager °ü¸® ¼³¸í¼¸¦ ÂüÁ¶ÇϽʽÿÀ.
ÇÇ¾î ¶Ç´Â ÇÏÀ§ Á¶Á÷¿¡ ´ëÇÑ À§Å¹ Á¤Ã¥À» ¸¸µé·Á¸é
Á¶Á÷ÀÇ Á¤Ã¥ Á¤ÀÇ¿Í ÀÇ»ç °áÁ¤À» ´Ù¸¥ Á¶Á÷¿¡ À§ÀÓÇÒ ¼ö ÀÖ½À´Ï´Ù. À§Å¹ Á¤Ã¥Àº Á¤Ã¥ »ý¼º°ú Æò°¡ ¸ðµÎ¿¡¼ ÀÌ Á¤Ã¥ÀÇ À§ÀÓÀ» Á¦¾îÇÕ´Ï´Ù. À§Å¹ Á¤Ã¥Àº ±ÔÄ¢°ú À§Å¹ ÀÚü·Î ±¸¼ºµË´Ï´Ù. À§Å¹Àº ±ÔÄ¢¿¡¼ »óÀ§ Á¶Á÷À» ÀÚ¿øÀ¸·Î Á¤ÀÇÇØ¾ß Çϰí Á¶Á÷ÀÇ À̸§À» À§Å¹ÀÇ °ªÀ¸·Î ÇÏ¿© SubOrgReferral ¶Ç´Â PeerOrgReferralÀ» Æ÷ÇÔÇØ¾ß ÇÕ´Ï´Ù.
Âü°í
Access Manager °ü¸® Äֿܼ¡ ´ëÇÑ ÃֽŠÁ¤º¸ ¹× ÀÚ¼¼ÇÑ Á¤º¸´Â Sun Java System Access Manager 2005Q1 °ü¸® ¼³¸í¼¸¦ ÂüÁ¶ÇϽʽÿÀ.
- Sun Java System Access Management Server °ü¸® Äֿܼ¡ °ü¸®ÀÚ·Î ·Î±×ÀÎÇÕ´Ï´Ù.
±âº»ÀûÀ¸·Î À§Ä¡ Ç¥½Ã ¿µ¿ª¿¡ [ Identity °ü¸®]°¡ ¼±ÅõǾî ÀÖ°í Ž»ö Ç¥½Ã ¿µ¿ª¿¡ [Á¶Á÷]ÀÌ ¼±ÅõǾî ÀÖ½À´Ï´Ù.
- À§Å¹ Á¤Ã¥À» ¸¸µå´Â µ¥ »ç¿ëÇÒ Á¶Á÷ ¶Ç´Â ÇÏÀ§ Á¶Á÷À¸·Î À̵¿ÇÕ´Ï´Ù.
¸¸µé¾îÁø ¸ðµç Á¶Á÷ÀÌ Å½»ö Ç¥½Ã ¿µ¿ª¿¡ Ç¥½ÃµË´Ï´Ù.
- [º¸±â] ¸Þ´º¿¡¼ [Á¤Ã¥]À» ¼±ÅÃÇÕ´Ï´Ù.
- [»õ·Î ¸¸µé±â]¸¦ ´·¯ »õ Á¤Ã¥À» ¸¸µì´Ï´Ù.
µ¥ÀÌÅÍ Ç¥½Ã ¿µ¿ª¿¡ [Á¤Ã¥ ¸¸µé±â] ÆäÀÌÁö°¡ Ç¥½ÃµË´Ï´Ù.
- À̸§À¸·Î SubOrgReferral_organization ¶Ç´Â PeerOrgReferral_organizationÀ» ÀÔ·ÂÇÕ´Ï´Ù. [Á¤Ã¥ À¯Çü]¿¡¼ [À§Å¹]À» ¼±ÅÃÇØ¾ß ÇÕ´Ï´Ù. ±×·± ´ÙÀ½ [È®ÀÎ]À» ´©¸¨´Ï´Ù.
- [¼ºñ½º]¿¡¼ ¼ºñ½º À¯ÇüÀ» ¼±ÅÃÇϰí [´ÙÀ½]À» ´©¸¨´Ï´Ù.
- µ¥ÀÌÅÍ Ç¥½Ã ¿µ¿ªÀÇ [º¸±â] ¸Þ´º¿¡¼ [±ÔÄ¢]À» ´©¸£°í [Ãß°¡]¸¦ ´©¸¨´Ï´Ù. [´ÙÀ½]À» ´©¸¨´Ï´Ù.
µ¥ÀÌÅÍ Ç¥½Ã ¿µ¿ª¿¡ ±ÔÄ¢ Ãß°¡ ÅÛÇø®Æ®°¡ Ç¥½ÃµË´Ï´Ù.
- [±ÔÄ¢ À̸§]¿¡ ±ÔÄ¢ÀÇ À̸§À» ÀÔ·ÂÇϰí [¸¶Ä§]À» ´©¸¨´Ï´Ù.
- µ¥ÀÌÅÍ Ç¥½Ã ¿µ¿ªÀÇ [º¸±â] ¸Þ´º¿¡¼ [À§Å¹]À» ´©¸£°í [Ãß°¡]¸¦ ´©¸¨´Ï´Ù.
µ¥ÀÌÅÍ Ç¥½Ã ¿µ¿ª¿¡ À§Å¹ Ãß°¡ ÅÛÇø®Æ®°¡ Ç¥½ÃµË´Ï´Ù.
- À̸§¿¡ SubOrgReferralNameÀ» ÀÔ·ÂÇÕ´Ï´Ù.
µ¥ÀÌÅÍ Ç¥½Ã ¿µ¿ª¿¡¼ °ªÀ¸·Î ÇÏÀ§ Á¶Á÷ À̸§ÀÌ ¼±ÅõǾú´ÂÁö È®ÀÎÇϰí [¸¸µé±â]¸¦ ´·¯ Á¤Ã¥ ±¸¼ºÀ» ¿Ï·áÇÕ´Ï´Ù.
- µ¥ÀÌÅÍ Ç¥½Ã ¿µ¿ª¿¡¼ [ÀúÀå]À» ´©¸¨´Ï´Ù.
µ¥ÀÌÅͰ¡ ÀúÀåµÉ ¶§ 'Á¤Ã¥ µî·Ï Á¤º¸°¡ ÀúÀåµÇ¾ú½À´Ï´Ù' ¸Þ½ÃÁö°¡ Ç¥½ÃµË´Ï´Ù.
ÇÇ¾î ¶Ç´Â ÇÏÀ§ Á¶Á÷¿¡ ´ëÇÑ ÀÏ¹Ý Á¤Ã¥À» ¸¸µé·Á¸é
¾×¼¼½º ±ÇÇÑÀ» Á¤ÀÇÇÏ´Â ÀÏ¹Ý Á¤Ã¥À» ¸¸µì´Ï´Ù. ÀÏ¹Ý Á¤Ã¥Àº ¿©·¯ °¡Áö ±ÔÄ¢, ÁÖÁ¦ ¹× Á¶°ÇÀ¸·Î ±¸¼ºµÉ ¼ö ÀÖ½À´Ï´Ù.
Âü°í
Access Manager °ü¸® Äֿܼ¡ ´ëÇÑ ÃֽŠÁ¤º¸ ¹× ÀÚ¼¼ÇÑ Á¤º¸´Â Sun Java System Access Manager 2005Q1 °ü¸® ¼³¸í¼¸¦ ÂüÁ¶ÇϽʽÿÀ.
- Sun Java System Access Management Server °ü¸® Äֿܼ¡ °ü¸®ÀÚ·Î ·Î±×ÀÎÇÕ´Ï´Ù.
±âº»ÀûÀ¸·Î À§Ä¡ Ç¥½Ã ¿µ¿ª¿¡ [ Identity °ü¸®]°¡ ¼±ÅõǾî ÀÖ°í Ž»ö Ç¥½Ã ¿µ¿ª¿¡ [Á¶Á÷]ÀÌ ¼±ÅõǾî ÀÖ½À´Ï´Ù.
- Á¤Ã¥À» ÇÒ´çÇÒ Á¶Á÷ ¶Ç´Â ÇÏÀ§ Á¶Á÷À¸·Î À̵¿ÇÕ´Ï´Ù.
¸¸µé¾îÁø ¸ðµç Á¶Á÷ÀÌ Å½»ö Ç¥½Ã ¿µ¿ª¿¡ Ç¥½ÃµË´Ï´Ù.
- [º¸±â] ¸Þ´º¿¡¼ [Á¤Ã¥]À» ¼±ÅÃÇÕ´Ï´Ù.
ÇØ´ç Á¶Á÷¿¡ ´ëÇÑ Á¤Ã¥ÀÌ Ç¥½ÃµË´Ï´Ù.
- Ž»ö Ç¥½Ã ¿µ¿ª¿¡¼ [»õ·Î ¸¸µé±â]¸¦ ¼±ÅÃÇÕ´Ï´Ù. µ¥ÀÌÅÍ Ç¥½Ã ¿µ¿ª¿¡ [»õ Á¤Ã¥] ÆäÀÌÁö°¡ ¿¸³´Ï´Ù.
- À̸§À¸·Î SubOrgNormal_organization ¶Ç´Â PeerOrgNormal_organizationÀ» ÀÔ·ÂÇÕ´Ï´Ù. [Á¤Ã¥ À¯Çü]¿¡¼ [ÀϹÝ]À» ¼±ÅÃÇØ¾ß ÇÕ´Ï´Ù. [È®ÀÎ]À» ´©¸¨´Ï´Ù.
- [¼ºñ½º] ¸Þ´º¿¡¼ [¼ºñ½º]¸¦ ¼±ÅÃÇϰí [´ÙÀ½]À» ´©¸¨´Ï´Ù. [±ÔÄ¢ À̸§]¿¡ ±ÔÄ¢ÀÇ À̸§À» ÀÔ·ÂÇÕ´Ï´Ù. ¿øÇÏ´Â ¼ºñ½º¿¡ ½ÇÇà ±ÇÇÑÀ» ºÎ¿©ÇÏ´Â ÇØ´ç È®ÀζõÀ» ¼±ÅÃÇØ¾ß ÇÕ´Ï´Ù.
- µ¥ÀÌÅÍ Ç¥½Ã ¿µ¿ªÀÇ [º¸±â] ¸Þ´º¿¡¼ [±ÔÄ¢]À» ¼±ÅÃÇϰí [Ãß°¡]¸¦ ´©¸¨´Ï´Ù. µ¥ÀÌÅÍ Ç¥½Ã ¿µ¿ª¿¡ [±ÔÄ¢ Ãß°¡] ÆäÀÌÁö°¡ ¿¸³´Ï´Ù.
- µ¥ÀÌÅÍ Ç¥½Ã ¿µ¿ªÀÇ [º¸±â] ¸Þ´º¿¡¼ [Á¦¸ñ]À» ¼±ÅÃÇϰí [Ãß°¡]¸¦ ´©¸¨´Ï´Ù. µ¥ÀÌÅÍ Ç¥½Ã ¿µ¿ª¿¡ [Á¦¸ñ Ãß°¡] ÆäÀÌÁö°¡ ¿¸³´Ï´Ù.
- [¸¶Ä§]À» ´·¯ Á¤Ã¥ÀÇ ±¸¼ºÀ» ¿Ï·áÇÕ´Ï´Ù.
µ¥ÀÌÅͰ¡ ÀúÀåµÉ ¶§ 'Á¤Ã¥ µî·Ï Á¤º¸°¡ ÀúÀåµÇ¾ú½À´Ï´Ù' ¸Þ½ÃÁö°¡ Ç¥½ÃµË´Ï´Ù.
Portal Server µ¥½ºÅ©Å¾¿¡ ·Î±×ÀλùÇà Æ÷ÅÐÀ» ¼³Ä¡ÇÑ °æ¿ì, »ç¿ëÀÚ´Â »ùÇà µ¥½ºÅ©Å¾¿¡ ·Î±×ÀÎÇÒ ¼ö ÀÖ½À´Ï´Ù. ¶ÇÇÑ Portal Server´Â ´Ù¾çÇÑ ±âŸ »ç¿ëÀÚ ·Î±×ÀÎÀ» Áö¿øÇÕ´Ï´Ù. ÀÌ Àý¿¡¼´Â »ç¿ëÀÚ°¡ Portal Server¿¡ ·Î±×ÀÎÇÒ ¼ö ÀÖ´Â ±âŸ »ç¿ëÀÚ ¹æ¹ýÀ» ¼³¸íÇÕ´Ï´Ù.
»ùÇà Æ÷ÅÐ µ¥½ºÅ©Å¾¿¡ ·Î±×ÀÎÇÏ·Á¸é
»ùÇà µ¥½ºÅ©Å¾¿¡ ¾×¼¼½ºÇÏ·Á¸é ´ÙÀ½ URLÀ» ÀÔ·ÂÇÕ´Ï´Ù.
http://server:port/portal/dt
ÇÏÀ§ Á¶Á÷¿¡ ·Î±×ÀÎÇÏ·Á¸é
»ç¿ëÀÚ°¡ Á¶Á÷¿¡ ¾×¼¼½º ±ÇÇÑÀ» °¡Áø °æ¿ì ÀÌ Á¶Á÷ ³»ÀÇ ÇÏÀ§ Á¶Á÷¿¡µµ ·Î±×ÀÎÇÒ ¼ö ÀÖ½À´Ï´Ù. ¿¹¸¦ µé¾î ¾î¶² »ç¿ëÀÚ°¡ ÇÏÀ§ Á¶Á÷ B¸¦ °¡Áø Á¶Á÷ A¿¡ ¾×¼¼½ºÇÏ´Â °æ¿ì ´ÙÀ½ URLÀ» ÀÔ·ÂÇÏ¿© ÇÏÀ§ Á¶Á÷ B¿¡ ·Î±×ÀÎÇÕ´Ï´Ù.
http://server:port/amserver/UI/login?org=B
À͸í ÀÎÁõÀ» »ç¿ëÇÏ¿© ·Î±×¿ÂÇÏ·Á¸é
Âü°í
À͸í ÀÎÁõÀ» Áö¿øÇÏ·Á¸é À͸í ÀÎÁõ ¸ðµâÀ» Ãß°¡ÇØ¾ß ÇÕ´Ï´Ù. À͸í ÀÎÁõ ¸ðµâÀÇ Ãß°¡¿Í »ç¿ë¿¡ ´ëÇÑ ³»¿ëÀº À͸í ÀÎÁõ ±¸¼ºÀ» ÂüÁ¶ÇϽʽÿÀ.
·Î±ë °ü¸®Portal Server´Â Access Manager ·Î±ë ¹× µð¹ö±ë API¸¦ »ç¿ëÇÕ´Ï´Ù.
±âº»ÀûÀ¸·Î Portal Server ·Î±× ¹× µð¹ö±ë ÆÄÀÏÀº ´ÙÀ½ À§Ä¡¿¡ ÀÖ½À´Ï´Ù.
Access Manager °ü¸® Äֿܼ¡¼ ´ÙÀ½ ·Î±ë ¼Ó¼ºÀ» Á¤ÀÇÇÒ ¼ö ÀÖ½À´Ï´Ù.
ÀÚ¼¼ÇÑ ³»¿ëÀº Sun Java System Access Manager 2005Q1 °ü¸® ¼³¸í¼¸¦ ÂüÁ¶ÇϽʽÿÀ.