Sun Java logo     Anterior      Contenido      �ndice      Siguiente     

Sun logo
Sun Java Enterprise System 2005Q4 Gu�a de actualizaci�n 

Cap�tulo 1
Planificaci�n de las actualizaciones

Este cap�tulo proporciona informaci�n para planificar la actualizaci�n del software de Sun Java™ Enterprise System (Java ES) a Java ES 2005Q4 (Versi�n 4). Incluye las siguientes secciones:


Componentes de Java ES 2005Q4 (Versi�n 4)

A modo de introducci�n a la planificaci�n de la actualizaci�n del software de Java ES, esta secci�n analiza los componentes incluidos en Java ES Versi�n 4. En funci�n de su situaci�n, es posible que deba actualizar uno o varios de estos componentes a la versi�n incluida en la Versi�n 4.

Los componentes de Java ES se agrupan en diferentes tipos, tal y como se describe en Java Enterprise System Technical Overview (http://docs.sun.com/doc/819-2330). Los componentes de servicio del sistema proporcionan los servicios principales de infraestructura de Java ES, mientras que los componentes de calidad de servicio mejoran estos servicios del sistema. A estos dos tipos de componentes de Java ES se les denomina conjuntamente componentes de productos, es decir, componentes que se pueden seleccionar en el programa de instalaci�n de Java ES.

Cada componente de producto depende de una o varias bibliotecas compartidas localmente, conocidas como componentes compartidos de Java ES. El programa de instalaci�n de Java ES instala autom�ticamente estos componentes compartidos durante la instalaci�n de componentes de productos en funci�n de los componentes que se van a instalar.

Componentes de productos de la Versi�n 4

Los componentes de productos de la versi�n 4 de Java ES se muestran en la siguiente tabla por orden alfab�tico. Esta tabla incluye el tipo de mejora de servicio que ofrecen los componentes de calidad de servicio.

Tabla 1-1  Java ES Componentes de productos de la Versi�n 4 

Componente de producto

Versi�n

Tipo

Nombre abreviado

Access Manager

7.0

Componente de servicio del sistema.

AM

Administration Server

5.2

Calidad de servicio: componente administrativo

ADS

Application Server

8.1

Componente de servicio del sistema.

AS

Calendar Server

6.2

Componente de servicio del sistema.

CS

Communications Express

6.2

Calidad de servicio: componente de acceso

CX

Delegated Administrator

6.3

Calidad de servicio: componente administrativo

DA

Herramienta de preparaci�n de directorios

6.3

Calidad de servicio: componente administrativo

DPT

Directory Proxy Server

5.2

Calidad de servicio: componente de acceso

DPS

Directory Server

5.2

Componente de servicio del sistema.

DS

Almac�n de sesi�n de alta disponibilidad

4.4.2

Calidad de servicio: componente de disponibilidad

HADB

Instant Messaging

7.0.1

Componente de servicio del sistema.

IM

Message Queue

3.6 SP3

Componente de servicio del sistema.

MQ

Messaging Server

6.2

Componente de servicio del sistema.

MS

Portal Server

6.3

Componente de servicio del sistema.

PS

Portal Server Secure Remote Access

6.3

Calidad de servicio: componente de acceso

PSRA

Service Registry

3.0

Componente de servicio del sistema.

SR

Sun Cluster

3.1 8/05

Calidad de servicio: componente de disponibilidad

SC

Web Proxy Server

4.0.1

Calidad de servicio: componente de acceso

WPS

Web Server

6.1 SP%

Componente de servicio del sistema.

WS

Componentes compartidos de la Versi�n 4

Los componentes compartidos de Java ES, de los que dependen los componentes de productos instalados en un �nico equipo, no se pueden seleccionar (ni anular su selecci�n) en el programa de instalaci�n de Java ES. Al instalar los componentes de productos de Java ES, el programa de instalaci�n de Java ES instala autom�ticamente los componentes compartidos necesarios para los componentes de productos instalados.

Los componentes compartidos de la versi�n 4 de Java ES se muestran en la siguiente tabla.

Tabla 1-2  Java ES Componentes compartidos de la Versi�n 4 

Componente compartido

Versi�n

Abreviatura

Apache Commons Logging

1.0.3

ACL

Herramienta de creaci�n basada en Jakarta ANT Java/XML

1.6.2

ANT

Base de datos Berkeley

4.2.52

BDB

Contenedor de agente com�n

1.1

CAC

International Components for Unicode

3.2

ICU

Instant Messenger SDK

6.2.8

IM-SDK

Java 2 Platform, Standard Edition

5.0 Update 3

J2SE™

JavaBeans™ Activation Framework

1.0.3

JAF

Java Studio Enterprise Web Application Framework

2.1.5

JATO

JavaHelp™ Runtime

2.0

JHELP

JavaMail™ Runtime

1.3.2

JMAIL

Java Architecture for XML Binding Runtime

1.0.4

JAXB

Java API for XML Processing

1.2.6

JAXP

Java API for XML Registries Runtime

1.0.7

JAXR

Java API for XML-based Remote Procedure Call Runtime

1.1.2

JAX-RPC

Java Calendar API

1.2

JCAPI

Java Dynamic Management™ Kit Runtime

5.1

JDMK

Java Security Services

4.1

JSS

KT Search Engine

1.3.2

KTSE

LDAP C SDK

5.11

LDAP C SDK

LDAP Java SDK

4.18

LDAP J SDK

Mobile Access Core

1.0.6

MA Core

Netscape Portable Runtime

4.5.2

NSPR

Servicios de seguridad de redes

3.10

NSS

SOAP Runtime with Attachments API for Java

1.2.1

SAAJ

Capa de seguridad y autenticaci�n sencilla

2.18

SASL

Sun Explorer Data Collector

4.3.1

SEDC

Sun Java Enterprise System Monitoring Framework

1.0.1

MFWK

Sun Java Web Console

2.2.4

SJWC

Web services Common Library

1.0

WSCL


Acerca de la actualizaci�n de Java ES

La actualizaci�n del software de Java ES a la Versi�n 4 no se realiza normalmente mediante el programa de instalaci�n de Java ES u otra utilidad del sistema. Se realiza componente a componente, equipo a equipo, mediante procedimientos de actualizaci�n espec�ficos para cada componente.

La actualizaci�n de un componente puede variar de una actualizaci�n importante, en la que no hay compatibilidad con la versi�n anterior del componente, a una actualizaci�n totalmente compatible que simplemente ofrece algunas soluciones a errores. Debido a las dependencias entre los componentes de Java ES, la naturaleza de la actualizaci�n puede influir en la necesidad de actualizar tambi�n o no el resto de componentes.

Actualizaci�n de componentes de productos

El proceso de actualizaci�n de los componentes de productos de Java ES incluye dos operaciones b�sicas que se asemejan a la instalaci�n y configuraci�n iniciales de los componentes de Java ES:

Estos aspectos relacionados con la actualizaci�n de los componentes se describen en la Gu�a de actualizaci�n de cada uno de los componentes de productos de Java ES.

La Gu�a de actualizaci�n tambi�n describe otros aspectos importantes relacionados con la actualizaci�n de componentes de productos, incluidos los siguientes:

Actualizaci�n de los componentes compartidos

La actualizaci�n de los componentes compartidos de Java ES es a menudo una parte necesaria del proceso de actualizaci�n de los componentes de productos que dependen de ellos.

La actualizaci�n de los componentes compartidos es normalmente m�s directa que la actualizaci�n de los componentes de productos. Generalmente, para actualizar un componente compartido, se deben aplicar revisiones a los paquetes existentes o sustituir �stos. En comparaci�n con la actualizaci�n de los componentes de productos, no es necesario volver a realizar la configuraci�n o llevar a cabo procedimientos posteriores a la actualizaci�n.

Aunque los componentes compartidos se pueden actualizar de uno en uno, Java ES Versi�n 4 permite actualizar de forma conjunta una serie de componentes compartidos en una �nica operaci�n. Para obtener m�s informaci�n, consulte el Cap�tulo 2, “Actualizaci�n de los componentes compartidos de Java ES.”

Tecnolog�as de actualizaci�n

Para actualizar los componentes de productos y los componentes compartidos, como se describe en la Gu�a de actualizaci�n, es necesario modificar o sustituir los paquetes de software instalados actualmente y, en algunos casos, instalar nuevos paquetes. Las plataformas Solaris y Linux utilizan tecnolog�as similares para administrar los paquetes de software instalados y realizar un seguimiento de los cambios mediante un registro de paquetes.

Problemas del sistema operativo

Una serie de problemas del sistema operativo afectan a la actualizaci�n del software de Java ES, tal y como se describe a continuaci�n.

Revisiones del sistema operativo necesarias

En algunas situaciones, para actualizar satisfactoriamente un componente de producto de Java ES, es necesario aplicar en primer lugar la revisi�n del sistema operativo o revisiones espec�ficas. En lugar de aplicar la revisi�n espec�fica del sistema operativo necesaria en cada caso, suele ser preferible actualizar simplemente el sistema operativo antes de realizar las actualizaciones de Java ES.

Actualizaci�n de versiones inferiores

Un gran n�mero de los componentes compartidos de Java ES presentan paquetes espec�ficos para la versi�n de Solaris. Es posible que estos paquetes no funcionen correctamente en otras plataformas Solaris. Por ejemplo, los paquetes destinados al sistema operativo Solaris previsiblemente no funcionar�n en los sistemas operativos Solaris 9 o Solaris 10.

Al actualizar el sistema operativo de una versi�n inferior a otra, se ver�n afectados los diversos componentes compartidos de Java ES instalados. Cuando los componentes compartidos incluyen paquetes espec�ficos de una versi�n, estos paquetes deben actualizarse tambi�n, una vez actualizado el sistema operativo, para que puedan funcionar en el sistema operativo que se ha actualizado recientemente.

Actualizaci�n a plataformas no compatibles

Java ES 2004Q2 (Versi�n) es compatible con los sistemas operativos Solaris 8 y Solaris 9 en Red Hat Enterprise Linux (RHEL) 2.1. Si desea actualizar la plataforma de sistema operativo a Solaris 10 o RHEL 3.0, que no son compatibles con Java ES Versi�n 2, deber� actualizar tambi�n Java ES Versi�n 2 a una versi�n de Java ES que sea compatible con la plataforma actualizada, preferiblemente a Java ES Versi�n 4.

Dado que al actualizar algunos componentes de Java ES es necesario actualizar otros componentes de Java ES que se est�n ejecutando, no puede, por regla general, actualizar la plataforma de sistema operativo a Solaris 10 o RHEL 3.0 antes de actualizar Java ES desde la Versi�n 2 (Java ES Versi�n 2 no admite estas plataformas).

En su lugar, debe decidir el enfoque necesario en funci�n de la plataforma:


Planificaci�n de la actualizaci�n

El enfoque que debe tomar al actualizar un sistema de software de Java ES implementado a Java ES Versi�n 4 puede depender de sus objetivos en relaci�n con la actualizaci�n, as� como del alcance y la complejidad de su arquitectura de implementaci�n.

Por ejemplo, si su arquitectura de implementaci�n de Java ES est� formada por un �nico componente de Java ES que se ejecuta en un �nico equipo, su objetivo de actualizaci�n consistir� en solucionar algunos errores presentes en la versi�n anterior del software. Por otro lado, si su arquitectura de implementaci�n de Java ES est� formada por una serie de componentes interdependientes de Java ES implementados en distintos equipos, su objetivo consistir�a en lograr nuevas funciones mediante la actualizaci�n del m�nimo n�mero de componentes necesarios para alcanzar este fin con el m�nimo tiempo de inactividad.

Estos dos ejemplos representan dos situaciones de actualizaci�n con diferentes dificultades y que requieren planes de actualizaci�n considerablemente distintos. Ninguna planificaci�n sirve para todos los sistemas de software de Java ES implementados.

Por lo general, cuanto mayor sea el n�mero de componentes de Java ES, mayor ser� el n�mero de equipos de la arquitectura de implementaci�n y m�s compleja ser� la planificaci�n de actualizaci�n.

�Qu� es un plan de actualizaci�n?

Un plan de actualizaci�n indica c�mo abordar cada etapa del proceso de actualizaci�n. Este proceso incluye, como m�nimo, las fases que se muestran en la siguiente tabla.

Tabla 1-3  Fases del proceso de actualizaci�n 

Fase de la actualizaci�n

Descripci�n

Preparaci�n

Desarrolla un plan de actualizaci�n. En �l, debe especificar los componentes de Java ES que necesita actualizar y la secuencia en la que se van a actualizar dichos componentes en los diversos equipos del sistema. Tambi�n debe planificar c�mo probar los procedimientos de actualizaci�n en el entorno de implementaci�n antes de ejecutar el entorno de producci�n. En este paso, tambi�n debe realizar una copia de seguridad del sistema y probar la capacidad para restablecer su configuraci�n original.

Ejecuci�n

Debe obtener todos los paquetes, las revisiones y las herramientas necesarios para la actualizaci�n. Debe poner en pr�ctica la actualizaci�n y reconfiguraci�n del sistema de Java ES en el entorno de implementaci�n. En esta fase, se debe realizar una copia de seguridad de los datos de configuraci�n y aplicaci�n, actualizar el software del sistema y volver a configurar los datos o migrarlos al sistema actualizado.

Verificaci�n

Debe iniciar los componentes de software actualizados y realizar las pruebas de verificaci�n a medida que realiza el proceso. Si la verificaci�n no ofrece resultados satisfactorios y los problemas no pueden solucionarse en un periodo de tiempo razonable, es recomendable deshacer la actualizaci�n y restablecer el sistema a su estado anterior.

Anulaci�n/restablecimiento

Si es necesario, restablezca el sistema a su estado anterior como se especifica en la fase de preparaci�n. Tambi�n puede realizar pruebas para verificar que el proceso de anulaci�n de la actualizaci�n se ha realizado con �xito.

En las siguientes secciones, se proporciona informaci�n que puede ayudar a elaborar un plan de actualizaci�n.

Consideraciones sobre el plan de actualizaci�n

Su plan de actualizaci�n depender� de una serie de factores, adem�s del alcance y la complejidad de su arquitectura de implementaci�n. Entre estos factores, se incluyen los siguientes:

Estos factores se abordan en las siguientes secciones.

Rutas de actualizaci�n

Aunque sea posible actualizar todas las versiones anteriores del software de Java ES a Java ES 2005Q4 (Versi�n 4), las �nicas actualizaciones certificadas son las de Java ES 2005Q1 (Versi�n 3) y Java ES 2004Q2 (Versi�n 2). No se documentan las actualizaciones desde versiones anteriores en esta Gu�a de actualizaci�n.

Las diferentes rutas incluyen distintas estrategias de actualizaci�n, tal y como se describe en la Tabla 1-4.

Debido a las diferentes caracter�sticas de las rutas de actualizaci�n de la Versi�n 3 a la Versi�n 4 y de la Versi�n 2 a la Versi�n 4, as� como al hecho de que los procedimientos de actualizaci�n de los componentes de productos dependen a menudo de la ruta de actualizaci�n, los diferentes cap�tulos de esta Gu�a de actualizaci�n, que describe la actualizaci�n de cada componente de producto, se dividen en dos secciones: una sobre la actualizaci�n de la Versi�n 3 a la Versi�n 4 y otra sobre la actualizaci�n de la Versi�n 2 a la Versi�n 4.

Tabla 1-4  Rutas de actualizaci�n a Java ES 2005Q4 (Versi�n 4) 

N�mero de producto

Versi�n de Java ES

Caracter�sticas del sistema

Estrategias de actualizaci�n

2005Q1

Versi�n 3

Java ES Versi�n 4 admite una combinaci�n de los componentes de la Versi�n 3 y la 4 en un mismo equipo. Esto incluye tanto los productos de componentes como los componentes compartidos. Se han probado todas las compatibilidades entre los componentes de la Versi�n 3 y 4, y aquellas incompatibilidades detectadas se indican en las Java Enterprise System Release Notes (http://docs.sun.com/doc/819-2329).

La coexistencia entre los componentes de la Versi�n 3 y la Versi�n 4 ofrece la posibilidad de actualizar los componentes de la Versi�n 3 a la 4 de forma selectiva en un determinado equipo en una arquitectura de implementaci�n compuesta por varios equipos.

2004Q2

Versi�n 2

Java ES Versi�n 4 no admite una combinaci�n de los componentes de la Versi�n 2 y la 4 en un mismo equipo. Esto incluye tanto los productos de componentes como los componentes compartidos. Existen incompatibilidades conocidas entre los componentes de las dos versiones y no se ha verificado la interoperatividad entre los componentes de la Versi�n 2 y la Versi�n 4.

Al actualizar los componentes de la Versi�n 2 a la Versi�n 4 en un determinado equipo, deben actualizarse todos los componentes. Sin embargo, suponiendo que exista alguna compatibilidad entre los componentes, es posible combinar componentes de la Versi�n 2 y la Versi�n 4 que residan en diferentes equipos en una arquitectura de implementaci�n compuesta por varios equipos.

2003Q4
y anteriores

Versi�n 1 y anteriores

Java ES Versi�n 4 no admite una combinaci�n de los componentes de la Versi�n 1 o versiones anteriores y la 4 en un mismo equipo. Esto incluye tanto los productos de componentes como los componentes compartidos. Existen incompatibilidades conocidas entre los componentes de las versiones y no se ha verificado la interoperatividad entre los componentes de la Versi�n 1 o anteriores y la Versi�n 4.

Java ES Versi�n 4 no certifica la actualizaci�n directa de la Versi�n 1 o anteriores a la Versi�n 4.

No obstante, en algunos casos, es posible realizar una actualizaci�n desde la Versi�n 1 si se actualiza primero a Java ES Versi�n 3, tal y como se describe en el manual de la Versi�n 3, Gu�a de migraci�n y actualizaci�n de Java Enterprise System (http://docs.sun.com/doc/819-0062).

En otros casos, se puede realizar la actualizaci�n de la Versi�n 1 a la Versi�n 4 del mismo modo que la actualizaci�n de la Versi�n 2 � 3 a la 4. En dichos casos, se indicar� esa posibilidad en el proceso de actualizaci�n de ese componente incluido en esta Gu�a de actualizaci�n.


Nota

Para algunos componentes de productos, se han lanzado versiones intermedias que se distribuyen entre las versiones de Java ES oficiales. En tales casos, la actualizaci�n de la versi�n intermedia debe realizarse utilizando el mismo procedimiento que para la versi�n de Java ES anterior. Por ejemplo, si se ha distribuido una versi�n intermedia entre la Versi�n 2 y la 3, el componente debe actualizarse mediante el procedimiento de actualizaci�n de la Versi�n 2 a la Versi�n 4.


Dependencias de actualizaci�n

Uno de los principales problemas a la hora de planificar la actualizaci�n de un determinado componente de Java ES consiste en conocer las dependencias de ese componente con los dem�s componentes de Java ES y si dichos componentes deben actualizarse tambi�n para poder realizar la actualizaci�n del componente dependiente.

En este sentido, existen dos tipos de dependencias de actualizaci�n:

Para actualizar un componente de Java ES, es necesario actualizar todos los componentes con los que tenga fuertes relaciones de dependencia, aunque no es obligatorio actualizar los componentes con los que tenga relaciones de dependencia leves. (Esta regla general no es aplicable cuando se actualiza de la Versi�n 2 a la Versi�n 4 en un �nico equipo.)

Sin embargo, esta regla general no debe ponerse en pr�ctica necesariamente cuando existan varios componentes interdependientes incluidos en la actualizaci�n. En dichos casos, debe actualizar un componente s�lo si uno de los dem�s componentes de Java ES presenta una fuerte relaci�n de dependencia con dicho componente.

Actualizaci�n selectiva o actualizaci�n completa

La diferencia entre las relaciones de dependencia de actualizaci�n fuertes y leves permite actualizar de forma selectiva los componentes de Java ES en un sistema implementado. Esta posibilidad s�lo es efectiva al actualizar de la Versi�n 3 a la Versi�n 4 en un mismo equipo (consulte las caracter�sticas de las rutas de actualizaci�n en Rutas de actualizaci�n). No se permite la actualizaci�n selectiva de la Versi�n 2 a la Versi�n 4 en un mismo equipo.

La siguiente tabla muestra una comparaci�n de estos dos enfoques de actualizaci�n.

Tabla 1-5  Actualizaci�n selectiva en comparaci�n con la Actualizaci�n completa

Enfoque de actualizaci�n

Ventajas

Inconvenientes

Actualizaci�n selectiva

Reduce al m�nimo el n�mero de componentes que se han de actualizar.

Debe realizar un seguimiento de la versi�n de cada componente en el sistema implementado.

Actualizaci�n completa

Una versi�n uniforme para todos los componentes del sistema implementado.

Incrementa al m�ximo el n�mero de componentes que se han de actualizar.

La elecci�n entre la actualizaci�n selectiva o completa no es siempre inflexible. Por ejemplo, puede optar por actualizar de forma selectiva los componentes de productos en un determinado equipo, pero actualizar todos los componentes compartidos necesarios para los componentes de productos seleccionados. De hecho, para la actualizaci�n de la Versi�n 3 a la Versi�n 4, es recomendable actualizar de forma selectiva los componentes y actualizar de forma completa todos los componentes compartidos correspondientes.

Actualizaci�n de varias instancias

La secuencia de los procedimientos de actualizaci�n puede depender de si se utiliza o no la redundancia en una arquitectura de implementaci�n y de qu� forma se utiliza. Se pueden utilizar varias instancias de un componente de Java ES para obtener una mayor disponibilidad, escalabilidad, capacidad de servicio o cualquier otra combinaci�n de estas cualidades de servicio. Existen tres tipos de tecnolog�a que utilizan los componentes redundantes en las arquitecturas de implementaci�n de Java ES: el equilibrado de carga, las t�cnicas de alta disponibilidad (Sun Cluster y el Almac�n de sesi�n de alta disponibilidad) y la repetici�n de r�plicas principales (Directory Server).

En la mayor�a de los casos en los que se emplea la redundancia, es recomendable realizar las actualizaciones sin que haya ning�n tiempo de inactividad. Estas actualizaciones por turnos intentan actualizar sucesivamente las instancias redundantes de un componente sin comprometer el servicio que ofrecen.

En la mayor�a de los casos, las instancias redundantes se implementan en varios equipos. Desde la perspectiva de la planificaci�n de la actualizaci�n, esto puede implicar el aislamiento de la actualizaci�n de dichos componentes replicados frente a la actualizaci�n de otros componentes para reducir al m�nimo el tiempo de inactividad. En otras palabras, puede realizar todas las tareas previas a la actualizaci�n del componente en cada equipo antes de realizar una actualizaci�n por turnos del componente replicado.

Cada tecnolog�a de replicaci�n incluye procedimientos de configuraci�n o reconfiguraci�n que pueden afectar a la secuencia general de actualizaci�n de los componentes de Java ES. Por ejemplo, es posible que sea necesario actualizar Sun Cluster para los componentes que se ejecuten en un entorno de Sun Cluster antes de actualizar estos componentes.


Dependencias de los componentes de Java ES

Como se indicaba en la secci�n anterior, el plan de actualizaci�n debe especificar los componentes de Java ES que deben actualizarse, as� como la secuencia en que debe llevarse a cabo dicha actualizaci�n. Una de las consideraciones m�s importantes de un plan de actualizaci�n son las dependencias entre los diversos componentes de Java ES de un sistema implementado.

Independientemente de que realice una actualizaci�n selectiva o completa, la secuencia mediante la que se va a realizar la actualizaci�n de los componentes se ver� afectada por la naturaleza de las dependencias entre �stos.

En esta secci�n se proporciona informaci�n sobre las dependencias de los componentes de Java ES. Los siguientes factores asociados a las dependencias pueden afectar al plan de implementaci�n.

Cada uno de estos factores se describe brevemente en las siguientes secciones.

Dependencias con componentes compartidos

Al actualizar los componentes de productos de Java ES, debe tener en cuenta las relaciones de dependencia que estos componentes de Java ES tienen respecto a los componentes compartidos de Java ES. Cuando un componente de producto presenta una fuerte dependencia de actualizaci�n con un componente compartido, �ste debe actualizarse tambi�n.

Matriz de dependencias de componentes compartidos

La Tabla 1-6 muestra las relaciones de dependencia de los componentes de productos de Java ES 2005Q4 (Versi�n 4) con los componentes compartidos de Java ES. Las abreviaturas de los componentes de productos que encabezan las columnas de la Tabla 1-6 se han obtenido de la Tabla 1-1. Las abreviaturas de los componentes compartidos aparecen en la Tabla 1-2.

No se incluyen cuatro componentes de productos en la Tabla 1-6: Directory Proxy Server (DPS), el Almac�n de sesi�n de alta disponibilidad (HADB) y la Herramienta de preparaci�n de directorios (DPT) se han omitido porque no tienen relaciones de dependencia con ning�n componente compartido. Service Registry (SR) se ha omitido porque es un nuevo componente de producto, por lo que no existe ninguna versi�n anterior para actualizarla. Sin embargo, Web Proxy Server (WPS), otro componente de producto de la Versi�n 4, se ha incluido en la Tabla 1-6 porque puede actualizarse a la Versi�n 4 desde la versi�n anterior, que no estaba incluida en Java ES.

En la matriz de la Tabla 1-6, las relaciones de dependencia de actualizaciones fuertes de la Versi�n 3 a la Versi�n 4 aparecen se�aladas con la letra “F,” mientras que las relaciones de dependencias de actualizaci�n leves aparecen con la letra “L.” En las actualizaciones de la Versi�n 2 a la Versi�n 4, todas las relaciones de dependencia son fuertes por definici�n, por lo que se deben actualizar todos los componentes compartidos.

Tabla 1-6  Dependencias de componentes de productos de Java ES Versi�n 4 con los componentes compartidos 

Componente compartido

AM

ADS

AS

CS

CX

DA

DPS

DS

IM

MQ

MS

PS

PSRA

SC

WPS

WS

ANT

 

 

P

 

 

 

 

 

 

 

 

 

 

 

 

 

ACL

P

 

 

 

 

 

 

 

 

 

 

 

 

 

 

 

BDB

P

 

 

 

 

 

 

 

 

 

 

 

 

 

 

 

CAC

 

 

 

 

 

 

 

 

P

 

 

 

 

P

 

 

ICU

 

P

P

P

 

 

P

P

 

 

F

P

 

 

P

P

IM-SDK

 

 

 

 

 

 

 

 

F

 

 

P

 

 

 

 

J2SE™

P

P

P

P

P

P

P

P

P

P

P

P

P

P

P

P

JAF

P

 

P

 

P

 

 

 

P

P

 

P

P

 

 

 

JATO

P

 

P

 

P

P

 

 

 

 

 

P

 

 

 

 

JavaHelp™

P

 

P

 

 

 

 

 

 

P

 

 

 

 

 

 

JavaMail™

P

 

P

 

P

 

 

 

P

P

 

P

P

 

 

 

JAXB

P

 

P

 

 

 

 

 

 

 

 

 

 

 

 

 

JAXP

P

 

P

 

P

 

 

 

P

P

 

P

P

 

 

 

JAXR

P

 

P

 

 

 

 

 

 

 

 

 

 

 

 

 

JAX-RPC

P

 

P

 

 

 

 

 

 

 

 

 

 

 

 

 

JCAPI

 

 

 

 

P

 

 

 

P

 

 

 

 

 

 

 

JDMK

 

 

P

 

 

 

 

 

P

 

 

 

 

P

 

 

JSS

P

P

 

P

 

P

P

P

 

P

 

P

P

 

P

P

KTSE

 

 

 

 

 

 

 

 

 

 

 

P

 

 

P

P

LDAP C SDK

 

P

 

P

 

 

P

P

 

 

F

 

 

 

P

P

LDAP J SDK

P

P

 

 

P

P

P

P

 

 

 

 

 

 

 

 

MA Core

P

 

 

 

 

 

 

 

 

 

 

F

F

 

 

 

MFWK

 

 

 

 

 

 

 

 

P

 

 

 

 

 

 

 

NSPR

P

P

P

P

 

P

P

P

P

P

F

P

P

P

P

F

NSS

P

P

P

P

 

P

P

P

P

P

F

P

P

P

P

F

SAAJ

P

 

P

 

 

 

 

 

 

P

 

P

P

 

 

 

SASL

 

P

 

F

F

 

P

P

 

 

F

 

 

 

P

P

SEDC

 

 

 

 

 

 

 

 

 

 

 

 

 

P

 

 

SJWC

P

 

P

 

 

 

 

 

 

 

 

 

 

P

 

 

WSCL

P

 

P

 

 

 

 

 

 

 

 

 

 

 

 

 

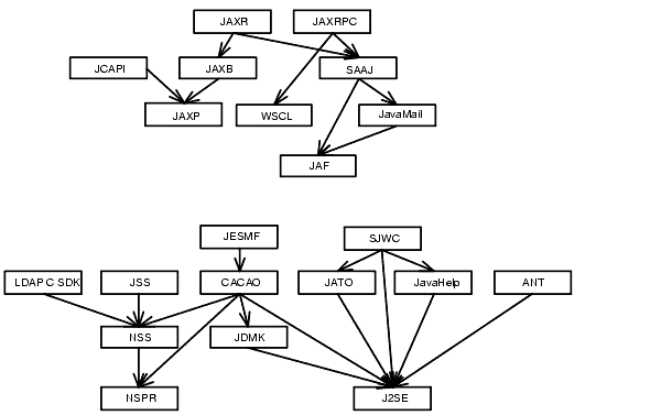
La Tabla 1-6 de los componentes de productos representa las dependencias directas e indirectas con los componentes compartidos. En otras palabras, un componente de producto puede depender de un componente compartido espec�fico que, a su vez, dependa de uno o varios componentes compartidos adicionales. Las dependencias con los componentes compartidos mostradas en la Tabla 1-6 incluye todas las dependencias indirectas de este tipo. La siguiente figura muestra las interdependencias entre los componentes compartidos.

Figura 1-1  Interdependencias de los componentes compartidos

Diagrama que muestra el marco tridimensional como un cubo con capas l�gicas, niveles de servicio de infraestructura y calidades de servicio como las 3 dimensiones de un cubo.[D]

Directrices para la actualizaci�n de componentes compartidos

La Tabla 1-6 permite determinar los componentes compartidos que se van a actualizar durante la actualizaci�n de uno o varios componentes de productos en un determinado equipo.

Para obtener informaci�n sobre c�mo actualizar los componentes compartidos, consulte Cap�tulo 2, “Actualizaci�n de los componentes compartidos de Java ES.”

Dependencias con componentes de productos

Las relaciones de dependencia de un componente de producto con otro determinan en gran medida los componentes de Java ES que se van a actualizar y la secuencia en la que deber�n actualizarse. Las dependencias de los componentes de productos se dividen en dos categor�as: dependencias de tiempo de ejecuci�n y dependencias de configuraci�n.

La Tabla 1-7 muestra las dependencias entre los componentes de productos de Java ES mostrados en la Tabla 1-1. Sirvi�ndose de la Tabla 1-7, puede confeccionar un diagrama con la cadena de dependencias del paquete de actualizaci�n. La columna de la izquierda muestra cada componente de producto, la columna central muestra sus dependencias con otros componentes de productos, la tercera describe cada dependencia y la �ltima columna indica si los componentes respectivos deben ser o no locales.

Tabla 1-7  Java ES Dependencias de los componentes de productos 

Componente de producto

Dependencias

Naturaleza de la dependencia

�Deben ser locales?

Access Manager

Directory Server

Para almacenar datos de configuraci�n y permitir la b�squeda de datos de usuario

No

Contenedor web J2EE; uno de los siguientes componentes:
- Application Server
- Web Server
- BEA WebLogic Server
- IBM WebSphere Application Server

Para proporcionar servicios de tiempo de ejecuci�n de contenedores web

S�

    Access Manager     SDK

Access Manager

Para proporcionar servicios de Access Manager

No

Contenedor web J2EE; uno de los siguientes componentes:
- Application Server
- Web Server
- BEA WebLogic Server
- IBM WebSphere Application Server

Para proporcionar servicios de tiempo de ejecuci�n de contenedores web

S�

Administration Server

Directory Server

Para proporcionar un directorio de configuraci�n

No

Application Server

Message Queue

Para proporcionar un servicio de mensajer�a as�ncrona fiable

S�

Web Server (opcional)

Para proporcionar equilibrado de carga entre las instancias

S�

Almac�n de sesi�n de alta disponibilidad (opcional)

Para almacenar el estado de sesi�n necesario con el fin de permitir la conmutaci�n por error entre las instancias

S�

Calendar Server

Directory Server

Para almacenar datos de usuario y permitir la b�squeda de los mismos

No

Herramienta de preparaci�n de directorios

Para preparar el directorio para que pueda utilizarlo Calendar Server

No

Access Manager (opcional)

Para proporcionar inicio de sesi�n �nico

No

Messaging Server (opcional)

Para proporcionar notificaciones por correo electr�nico

No

Delegated Administrator (opcional)

Para configurar usuarios para los servicios de calendario

No

Communications Express

Contenedor web J2EE; uno de los siguientes componentes:
- Application Server
- Web Server

Para proporcionar servicios de tiempo de ejecuci�n de contenedores web

S�

Directory Server

Para almacenar datos de usuario y permitir la b�squeda de los mismos como, por ejemplo, en las  libretas de direcciones

No

Herramienta de preparaci�n de directorios

Para preparar el directorio para que pueda utilizarlo Communications Express

No

Access Manager o
Access Manager SDK

Para proporcionar servicios de autenticaci�n y autorizaci�n, e inicio de sesi�n �nico

S�

Messaging Server

Para permitir el acceso basado en web al servicio de mensajer�a

No

Calendar Server

Para permitir el acceso basado en web al servicio de calendario

No

Delegated Administrator

Contenedor web J2EE; uno de los siguientes componentes:
- Application Server
- Web Server

Para proporcionar servicios de tiempo de ejecuci�n de contenedores web

S�

Directory Server

Para almacenar datos de usuario

No

Herramienta de preparaci�n de directorios

Para preparar el directorio para que pueda utilizarlo Delegated Administrator

No

Access Manager o
Access Manager SDK

Para proporcionar la API necesaria para la configuraci�n de usuarios

S�

Herramienta de preparaci�n de directorios

Directory Server

Para proporcionar el directorio de usuarios/grupos que se est� preparando para que lo utilicen los componentes de comunicaci�n

S�

Directory Proxy Server

 

Administration Server

Para configurar Directory Proxy Server

No

Directory Server

Para proporcionar acceso a un directorio

No

Directory Server

Administration Server

Para configurar Directory Server

No

Almac�n de sesi�n de alta disponibilidad

Ninguna.

 

 

Instant Messaging

Contenedor web J2EE; uno de los siguientes componentes:
- Application Server
- Web Server

Para proporcionar servicios de tiempo de ejecuci�n de contenedores web

S�

Directory Server

Para almacenar datos de usuario

No

Access Manager (opcional)

Para proporcionar inicio de sesi�n �nico

No

Message Queue

Ninguna.

 

 

Messaging Server

    Almac�n
    MTA
    MMP
    MEM

Directory Server

Para almacenar datos de configuraci�n y permitir la b�squeda de datos de usuario

No

Administration Server

Para almacenar los datos de configuraci�n en el directorio de configuraci�n de Directory Server

S�

Herramienta de preparaci�n de directorios

Para preparar el directorio para que pueda utilizarlo Messaging Server

No

Access Manager (opcional)

Para proporcionar inicio de sesi�n �nico

No

Delegated Administrator (opcional)

Para configurar usuarios para los servicios de mensajer�a

No

Portal Server

Contenedor web J2EE; uno de los siguientes componentes:
- Application Server
- Web Server
- BEA WebLogic Server
- IBM WebSphere Application Server

Para proporcionar servicios de tiempo de ejecuci�n de contenedores web

S�

Directory Server

Para almacenar perfiles de usuario y permitir la b�squeda de los mismos

No

Access Manager o
Access Manager SDK

Para proporcionar servicios de autenticaci�n y autorizaci�n, e inicio de sesi�n �nico

S�

Communications Express

Para proporcionar canales de mensajer�a y calendario

No

Portal Server Secure Remote Access

Portal Server

Para proporcionar acceso a un portal

S�

Access Manager o
Access Manager SDK

Para proporcionar servicios de autenticaci�n y autorizaci�n, e inicio de sesi�n �nico

S�

Sun Cluster

Ninguna.

 

 

Sun Cluster Agents

Sun Cluster

Para proporcionar acceso a los servicios de Sun Cluster

 

Web Proxy Server

Ninguna.

 

 

Web Server

Ninguna.

 

 


Directrices generales de secuenciaci�n

Los factores abordados en las secciones anteriores pueden afectar a los componentes de Java ES que tiene intenci�n de actualizar, as� como al orden en que se van a actualizar. Estos factores influyen tambi�n en el enfoque de actualizaci�n de los componentes de Java ES implementados en varios equipos. La influencia espec�fica de estos factores depende de su arquitectura de implementaci�n.

No obstante, pueden utilizarse algunas directrices generales de secuenciaci�n, aunque no en todos los casos. La siguiente lista indica el orden en que pueden actualizarse con �xito los componentes de Java ES en un mismo equipo o en un sistema implementado. Al realizar la actualizaci�n, omita aquellos componentes que no formen parte de su arquitectura de implementaci�n o, si va a realizar una actualizaci�n selectiva, omita aquellos componentes que no formen parte del plan de actualizaci�n.


Nota

Los cap�tulos de esta Gu�a de actualizaci�n se han dispuesto de acuerdo con el orden en que normalmente se actualizar�an los componentes de Java ES, como se indica en estas directrices de secuenciaci�n.


    Los componentes compartidos deben actualizarse normalmente antes que los componentes que dependen de ellos.

  1. Software de Sun Cluster (Consulte Cap�tulo 3, “Software de Sun Cluster”)
  2. Si un componente se ejecuta en un entorno de Sun Cluster y es necesario actualizar el software de Sun Cluster, �ste debe actualizarse antes que los componentes que utilicen los servicios de Sun Cluster. Sun Cluster Agents, en caso de actualizarse, debe incluirse como parte de la actualizaci�n de Sun Cluster.

  3. Directory Server y Administration Server (Consulte Cap�tulo 4, “Directory Server y Administration Server”)
  4. Muchos componentes almacenan datos de usuario o configuraci�n en Directory Server, por lo que la actualizaci�n de Directory Server debe realizarse, por lo general, antes que la actualizaci�n de los componentes que presentan relaciones de dependencia de configuraci�n o tiempo de ejecuci�n con Directory Server. Administration Server debe actualizarse junto con Directory Server.

  5. Directory Proxy Server (Consulte Cap�tulo 5, “Directory Proxy Server”)
  6. Directory Proxy Server presenta una fuerte relaci�n de dependencia con Directory Server y Administration Server y, por lo tanto, debe actualizarse despu�s de Directory Server y Administration Server. Otros componentes pueden acceder a Directory Server a trav�s de Directory Proxy Server.

  7. Web Server (Consulte Cap�tulo 6, “Web Server”)
  8. Una serie de componentes de Java ES requieren compatibilidad con un contenedor web. Por lo tanto, el contenedor debe actualizarse antes que los componentes que necesitan servicios de contenedor web. Normalmente, estos servicios los proporciona Web Server o Application Server, pero si en la arquitectura se incluyen ambos, actualice primero Web Server.

  9. Message Queue (Consulte Cap�tulo 7, “Message Queue”)
  10. Si se actualiza Message Queue, debe actualizarse antes que Application Server, ya que �ste necesita de Message Queue para ser compatible con Java 2 Enterprise Edition (J2EE).

  11. Almac�n de sesi�n de alta disponibilidad (Consulte Cap�tulo 8, “Almac�n de sesi�n de alta disponibilidad”)
  12. Si se actualiza el Almac�n de sesi�n de alta disponibilidad, es mejor hacerlo antes que Application Server, ya que �ste necesita este almac�n para obtener alta disponibilidad.

  13. Application Server (Consulte Cap�tulo 9, “Application Server”)
  14. Application Server depende de Web Server para el complemento de equilibrado de carga, por lo que si se utiliza esta funci�n, Application Server debe actualizarse despu�s de Web Server.

  15. Web Proxy Server (Consulte Cap�tulo 10, “Web Proxy Server”)
  16. Web Proxy Server puede actualizarse en cualquier momento, aunque normalmente se deber�a actualizar despu�s del componente Web Server o Application Server, ya que proporciona un servicio de proxy. Web Proxy Server es un nuevo componente de Java ES Versi�n 4 que puede actualizarse desde la versi�n anterior, no asociada a Java ES.

  17. Access Manager (Consulte Cap�tulo 11, “Access Manager”)
  18. Access Manager desempe�a un papel central en la autenticaci�n y autorizaci�n, incluido el inicio de sesi�n �nico, y debe actualizarse antes que los componentes que dependen de �l para poder utilizar estos servicios. Adem�s, Access Manager requiere un esquema espec�fico de Directory Server (Schema 2), que afecta a la forma en que los dem�s componentes utilizan Directory Server.

  19. Herramienta de preparaci�n de directorios (Consulte Cap�tulo 12, “Herramienta de preparaci�n de directorios”)
  20. La Herramienta de preparaci�n de directorios depende del esquema de Directory Server y, por lo tanto, debe ejecutarse en Directory Server una vez actualizado Access Manager. (Para conocer una excepci�n a esta directriz, consulte Actualizaci�n de Access Manager desde Java ES Versi�n 2.) La Herramienta de preparaci�n de directorios debe actualizarse antes que los componentes de comunicaci�n que dependen de esta herramienta para realizar cambios en el directorio: Messaging Server, Calendar Server, Communications Express y Delegated Administrator.

  21. Messaging Server (Consulte Cap�tulo 13, “Messaging Server”)
  22. Messaging Server s�lo debe actualizarse despu�s de las actualizaciones anteriores, aunque antes de actualizar Communications Express, que presenta una relaci�n de dependencia con los componentes de Messaging Server.

  23. Calendar Server (Consulte Cap�tulo 14, “Calendar Server”)
  24. Calendar Server debe actualizarse despu�s de Messaging Server, ya que algunas de las sus funciones requieren compatibilidad con Messaging Server. Calendar Server debe actualizarse antes de Communications Express, que tiene una dependencia con Calendar Server.

  25. Communications Express (Consulte Cap�tulo 15, “Communications Express”)
  26. Communications Express depende de gran parte de los componentes anteriores (Calendar Server, Messaging Server, la Herramienta de preparaci�n de directorios, Access Manager, Web Server y Directory Server), por lo que debe actualizarse despu�s de estos componentes.

    Instant Messaging puede actualizarse en cualquier momento una vez actualizado Access Manager.

  27. Portal Server (Consulte Cap�tulo 17, “Portal Server”)
  28. Portal Server, al igual que Communications Express, depende de gran parte de los componentes anteriores pero, en especial, de Communications Express para proporcionar canales de mensajer�a y calendario, por lo que debe actualizarse despu�s de Communications Express

  29. Portal Server Secure Remote Access (Consulte Cap�tulo 18, “Portal Server Secure Remote Access”)
  30. Portal Server Secure Remote Access puede actualizarse en cualquier momento una vez actualizado Portal Server.

  31. Delegated Administrator (Consulte Cap�tulo 19, “Delegated Administrator”)
  32. Delegated Administrator puede actualizarse y utilizarse en cualquier momento para la configuraci�n de usuarios despu�s de que la Herramienta de preparaci�n de directorios se haya actualizado y ejecutado en Directory Server. Por acuerdo, los usuarios pueden configurarse una vez actualizados e iniciados los dem�s servicios. Sin embargo Delegated Administrator puede actualizarse antes de actualizar los componentes de comunicaci�n que dependen de Delegated Administrator para la configuraci�n de usuarios.



Anterior      Contenido      �ndice      Siguiente     


N� de referencia: 819-3462.   Copyright 2006 Sun Microsystems, Inc. Todos los derechos reservados.