Sun ONE ·Î°í     ÀÌÀü      ¸ñÂ÷      »öÀÎ      ´ÙÀ½     
Sun ONE Directory Server 5.2 ¼³Ä¡ ¹× Á¶Á¤ ¼³¸í¼­



2Àå   ÀÌÀü ¹öÀü¿¡¼­ ¾÷±×·¹À̵å

ÀÌ Àå¿¡¼­´Â Netscape Directory Server 4.x ¹× iPlanet Directory Server 5.x¸¦ Sun ONE Directory Server 5.2·Î ¾÷±×·¹À̵åÇÏ´Â ¹æ¹ý¿¡ ´ëÇØ ¼³¸íÇÕ´Ï´Ù.



ÁÖ

Innosoft Distributed Directory Server 4.5.1¿¡¼­ ¾÷±×·¹À̵åÇÏ´Â ¹æ¹ýÀº Æ÷ÇԵǾî ÀÖÁö ¾Ê½À´Ï´Ù.



ÀÌ Àå¿¡¼­´Â ÀÌÀü ¼­¹öÀÇ µð·ºÅ丮 µ¥ÀÌÅ͸¦ »õ ¼­¹ö·Î ÀÌÀüÇÏ´Â ¹æ¹ýÀ» ÁßÁ¡ÀûÀ¸·Î ¼³¸íÇÕ´Ï´Ù. ÀÌÀü ¼­¹ö¿¡¼­ »õ ¼­¹ö·Î ÀÌÀüµÇ´Â ±¸¼º ¼Ó¼º¿¡ ´ëÇÑ ÀÚ¼¼ÇÑ ³»¿ëÀº Sun ONE Directory Server Reference ManualÀ» ÂüÁ¶ÇϽʽÿÀ.

¾÷±×·¹ÀÌµå ½Ã ÁÖÀÇ »çÇ×

¾÷±×·¹À̵åÇϱâ Àü¿¡ ¸ÕÀú "°ü·Ã ÀÚ·á"¿¡ ¼³¸íµÈ Sun ONE Directory Server 5.2ÀÇ »õ ±â´ÉÀ» »ìÆìº¸½Ê½Ã¿À. ±âÁ¸ µð·ºÅ丮 ¼­ºñ½º¸¦ ±¸ÇöÇÒ ¶§ »ç¿ëÇß´ø ¼³°è ¼³Á¤À» È®ÀÎÇØ º¸´Â °Íµµ ÁÁ½À´Ï´Ù.

´ÜÀÏ ¼­¹ö ÀνºÅϽº ¾÷±×·¹À̵å

¼­¹ö ÀνºÅϽº¸¦ ¾÷±×·¹À̵åÇÏ·Á¸é ±âÁ¸ ¼­¹ö¸¦ ±×´ë·Î µÎ°í ´Ù¸¥ serverID¿Í ´Ù¸¥ °ü¸® ¼­¹ö ¹× Directory Server Æ÷Æ® ¹øÈ£¸¦ »ç¿ëÇÏ¿© ´Ù¸¥ ServerRoot¿¡ »õ ¼­¹ö¸¦ ¼³Ä¡ÇÑ ´ÙÀ½, ÀÌÀü ¼­¹ö¸¦ ÁßÁöÇÏ°í ±¸¼º ¹× µð·ºÅ丮 µ¥ÀÌÅ͸¦ ÀÌÀüÇÏ¿© Ŭ¶óÀÌ¾ðÆ®°¡ »õ ¼­¹ö·Î ¿äûÀ» º¸³»µµ·Ï ¼³Á¤ÇØ¾ß ÇÕ´Ï´Ù.



ÁÖ

±âÁ¸ ¼­¹ö¸¦ ½ÇÇàÇϴ ȣ½ºÆ®ÀÇ µð½ºÅ© °ø°£ÀÌ ÃæºÐÇÑÁö È®ÀÎÇÕ´Ï´Ù. ¾÷±×·¹À̵å ÇÁ·Î¼¼½º¿¡´Â ÃÖ¼ÒÇÑ ÀÌÀü ¼­¹ö¿Í »õ ¼­¹öÀÇ ÀÌÁø ¹× µ¥ÀÌÅͺ£À̽º¸¦ ¸ðµÎ ¼ö¿ëÇÒ ¸¸ÇÑ ·ÎÄà µð½ºÅ© °ø°£ÀÌ ÀÖ¾î¾ß Çϸç, ±âÁ¸ Á¢¹Ì»çÀÇ Ç׸ñÀÌ ¸ðµÎ Æ÷ÇÔµÈ LDIF ÆÄÀÏÀ» ÀúÀåÇÒ Ãß°¡ °ø°£µµ ÇÊ¿äÇÕ´Ï´Ù. ÇÊ¿äÇÑ ·ÎÄà µð½ºÅ© °ø°£Àº ¾Æ·¡ ¼ö½Ä¿¡ ÀÇÇØ °è»êµÈ °ªº¸´Ù ¾à°£ ¿©À¯ÀÖ°Ô Àâ´Â °ÍÀÌ ÁÁ½À´Ï´Ù.

2 * (±âÁ¸ ¼­¹ö °ø°£) + (LDIF ÆÄÀÏ ÀúÀå °ø°£)

³×Æ®¿öÅ© µå¶óÀ̺긦 ÅëÇØ µ¥ÀÌÅ͸¦ ÀÌÀüÇÒ ¼ö ¾øÀ¸¹Ç·Î µÎ ¼­¹ö¸¦ °°Àº È£½ºÆ®¿¡ ¼³Á¤ÇÏ¿© ¾÷±×·¹À̵å ÇÁ·Î¼¼½º¸¦ ¼öÇàÇØ¾ß ÇÕ´Ï´Ù.



Sun ONE Directory Server 5.2´Â ¼­¹ö ÀνºÅϽº µ¥ÀÌÅ͸¦ ÀÌÀüÇÒ ¼ö ÀÖµµ·Ï µµ¿ÍÁÖ´Â ½ºÅ©¸³Æ®¸¦ Á¦°øÇÕ´Ï´Ù. ÀÌÀü ½ºÅ©¸³Æ®´Â ´ÙÀ½ ÀÛ¾÷À» ¼ø¼­´ë·Î ¼öÇàÇÕ´Ï´Ù.

  1. ±âÁ¸ ¼­¹ö¸¦ ÁßÁöÇϰí ÇöÀç ±¸¼ºÀ» ¹é¾÷ÇÕ´Ï´Ù.
  2. ½ºÅ°¸¶ ±¸¼º ÆÄÀÏÀ» È®ÀÎÇÏ¿© Ç¥ÁØ ½ºÅ°¸¶ ±¸¼º ÆÄÀϰú ±âÁ¸ ¼­¹ö¿¡¼­ »ç¿ëÇÑ ½ºÅ°¸¶ ±¸¼º ÆÄÀÏ °£ÀÇ Â÷ÀÌÁ¡À» ¾Ë·ÁÁÝ´Ï´Ù.
  3. (4.x¸¦ 5.2·Î ¾÷±×·¹À̵åÇÏ´Â °æ¿ì¿¡¸¸ ÇØ´ç) ±âÁ¸ 4.x ¼­¹ö°¡ ServerRoot/slapd-serverID/configÀÇ ±âº» À§Ä¡¿¡ ¼³Ä¡µÇÁö ¾ÊÀº »ç¿ëÀÚ Á¤ÀÇ ½ºÅ°¸¶¸¦ »ç¿ëÇÏ´Â °æ¿ì µð·ºÅ丮 µ¥ÀÌÅ͸¦ ÀÌÀüÇϱâ Àü¿¡ ¼öµ¿À¸·Î ±¸¼ºÀ» Á¶Á¤ÇØ¾ß ÇÕ´Ï´Ù.

  4. ÀÌÀü ¼­¹ö¿¡ ÀúÀåµÈ °¢ Á¢¹Ì»ç¿¡ ´ëÇÑ µ¥ÀÌÅͺ£À̽º¸¦ ÀÛ¼ºÇÕ´Ï´Ù.
  5. (4.x¸¦ 5.2·Î ¾÷±×·¹À̵åÇÏ´Â °æ¿ì¿¡¸¸ ÇØ´ç) 4.x ¼­¹ö´Â ÇÑ µ¥ÀÌÅͺ£À̽º¿¡¼­ ¿©·¯ °³ÀÇ Á¢¹Ì»ç¸¦ Áö¿øÇß½À´Ï´Ù. ÀÌÀü ½ºÅ©¸³Æ®´Â °¢ Á¢¹Ì»ç¿¡ ´ëÇÑ µ¥ÀÌÅͺ£À̽º¸¦ »õ ¼­¹ö¿¡ ÀÛ¼ºÇÕ´Ï´Ù.

  6. ¼­¹ö ¹× µ¥ÀÌÅͺ£À̽º ±¸¼º ¸Å°³ º¯¼ö¸¦ ÀÌÀüÇÕ´Ï´Ù.
  7. 4.x ¼­¹ö´Â slapd.conf¿¡ ÀÌ·¯ÇÑ ¸Å°³ º¯¼ö¸¦ ÀúÀåÇϰí 5.x ¼­¹ö´Â dse.ldif¿¡ ÀúÀåÇÕ´Ï´Ù.



ÁÖ

ÀÌ ½ºÅ©¸³Æ®´Â o=NetscapeRoot µ¥ÀÌÅ͸¦ ÀÌÀüÇÏÁö ¾Ê½À´Ï´Ù.

Sun ONE Messaging Server¿Í °°ÀÌ ÀÌ Á¢¹Ì»çÀÇ µ¥ÀÌÅ͸¦ »ç¿ëÇÏ´Â ¼­¹ö¸¦ ¹èÆ÷ÇÏ´Â °æ¿ì¿¡´Â ÇØ´ç ¼­¹ö¿Í ÇÔ²² Á¦°øµÈ µµ±¸¸¦ ÀÌ¿ëÇϰųª ¼öµ¿À¸·Î o=NetscapeRoot µ¥ÀÌÅ͸¦ ÀÌÀüÇØ¾ß ÇÕ´Ï´Ù.



(4.x¸¦ 5.2·Î ¾÷±×·¹À̵åÇÏ´Â °æ¿ì¿¡¸¸ ÇØ´ç) ÀÌÀü ½ºÅ©¸³Æ®´Â 4.x ¼­¹ö ¸Å°³ º¯¼ö Áß ÀϺθ¸ ÀÌÀüÇϹǷΠ4.x ¼Ó¼º °ªÀ» ¼öµ¿À¸·Î ÀÌÀüÇØ¾ß ÇÏ´Â °æ¿ìµµ ÀÖ½À´Ï´Ù. ÀÚ¼¼ÇÑ ³»¿ëÀº Sun ONE Directory Server Reference ManualÀÇ ÇöÀç ¹öÀüÀ» ÂüÁ¶ÇϽʽÿÀ.

  • »ç¿ëÀÚ Á¤ÀÇµÈ ½ºÅ°¸¶ °³Ã¼¸¦ ÀÌÀüÇÕ´Ï´Ù.
  • »öÀÎÀ» ÀÌÀüÇÕ´Ï´Ù.
  • Ç¥ÁØ ¼­¹ö Ç÷¯±× ÀÎÀ» ÀÌÀüÇÕ´Ï´Ù.
  • »ç¿ëÀÚ Á¤ÀÇ Ç÷¯±× ÀÎÀº ¼öµ¿À¸·Î ÀÌÀüÇØ¾ß Çϸç, ÃÖ¼ÒÇÑ ¸ðµç »ç¿ëÀÚ Á¤ÀÇ Ç÷¯±× ÀÎÀ» ´Ù½Ã ÄÄÆÄÀÏÇØ¾ß ÇÕ´Ï´Ù. Ç÷¯±× ÀÎ API º¯°æ »çÇ׿¡ ´ëÇÑ ÀÚ¼¼ÇÑ ¸ñ·ÏÀº Sun ONE Directory Server Plug-In API Programming Guide¸¦ ÂüÁ¶ÇϽʽÿÀ.

  • (5.x¸¦ 5.2·Î ¾÷±×·¹À̵åÇÏ´Â °æ¿ì¿¡¸¸ ÇØ´ç) º¹Á¦ °è¾àÀ» ÀÌÀüÇÕ´Ï´Ù.


  • ÁÖ

    5.2 Directory Server¿¡¼­ 5.1 ¼­¹ö·Î º¹Á¦Çϱâ Àü¿¡ cn=configÀÇ nsslapd-schema-repl-useronly¸¦ onÀ¸·Î ¼³Á¤ÇϽʽÿÀ. ±×·¸Áö ¾ÊÀ¸¸é 5.2 ½ºÅ°¸¶°¡ 5.1 ¼­¹ö·Î Ǫ½Ã(push)µÇ°í º¹Á¦ °³Ã¼·Î ÀÎÇØ 5.1 ¼­¹ö°¡ ´Ù½Ã ½ÃÀÛµÇÁö ¾Ê½À´Ï´Ù.



    1. ÀÎÁõ¼­ µ¥ÀÌÅͺ£À̽º¿Í SSL ¸Å°³ º¯¼ö¸¦ ÀÌÀüÇÕ´Ï´Ù.
    2. (5.x¸¦ 5.2·Î ¾÷±×·¹À̵åÇÏ´Â °æ¿ì¿¡¸¸ ÇØ´ç) µ¥ÀÌÅͺ£À̽º ¸µÅ©¸¦ ÀÌÀüÇÕ´Ï´Ù.
    3. (5.x¸¦ 5.2·Î ¾÷±×·¹À̵åÇÏ´Â °æ¿ì¿¡¸¸ ÇØ´ç) º¹Á¦ Ç׸ñÀ» ÀÌÀüÇÕ´Ï´Ù.
    4. SNMP ±¸¼ºÀ» ÀÌÀüÇÕ´Ï´Ù.

    ÀÌÀü ½ºÅ©¸³Æ®°¡ ¿Ï·áµÇ¸é Ŭ¶óÀÌ¾ðÆ®¿¡¼­ »õ ¼­¹ö·Î ¿äûÀ» º¸³¾ ¼ö ÀÖ½À´Ï´Ù.

    ¿©·¯ °³ÀÇ º¹Á¦µÈ ¼­¹ö ¾÷±×·¹À̵å

    ¿©·¯ °³ÀÇ ¼­¹ö¸¦ ¾÷±×·¹À̵åÇÏ·Á¸é °¢ ¼­¹ö¸¦ °³º°ÀûÀ¸·Î ¾÷±×·¹À̵åÇØ¾ß ÇÕ´Ï´Ù. ±×·¯³ª ¼­¹ö ¾÷±×·¹ÀÌµå ¼ø¼­´Â ±âÁ¸ ¼­¹öÀÇ ¼ÒÇÁÆ®¿þ¾î ¹öÀü°ú º¹Á¦ ÅäÆú·ÎÁö¿¡ µû¶ó ´Þ¶óÁý´Ï´Ù.

    5.x¸¦ 5.2·Î ¾÷±×·¹À̵åÇÏ´Â °æ¿ì Ç¥ÁØ ÇÁ·Î¼¼½º´Â »óÇâ½ÄÀ¸·Î ÁøÇàµË´Ï´Ù. ¸ÕÀú °í°´À» ÀÌÀüÇÑ ´ÙÀ½ Çãºê¸¦ ¾÷±×·¹À̵åÇÏ°í ¸¶Áö¸·À¸·Î ¸¶½ºÅ͸¦ ¾÷±×·¹À̵åÇÕ´Ï´Ù. ƯÁ¤ ÀνºÅϽº¿¡¼­ ÀÌ·¯ÇÑ ÀÛ¾÷À» ¼öÇàÇÏ´Â ¹æ¹ýÀº "5.x ¾÷±×·¹ÀÌµå ½Ã³ª¸®¿À ¿¹"¸¦ ÂüÁ¶ÇϽʽÿÀ.

    4.x¸¦ 5.2·Î ¾÷±×·¹À̵åÇÏ´Â °æ¿ì ¸ÕÀú 4.x ¸¶½ºÅ͸¦ ¾÷±×·¹À̵åÇÑ ´ÙÀ½, º¹Á¦ Ãø¸é¿¡¼­ ¸¶½ºÅÍ¿Í °¡Àå °¡±î¿î ¼ÒºñÀÚºÎÅÍ ½ÃÀÛÇÏ¿© ¸¶½ºÅÍ¿¡¼­ º¹Á¦µÇ´Â °¢ ¼ÒºñÀÚ ºÐ±â¸¦ ¾÷±×·¹À̵åÇÕ´Ï´Ù. ƯÁ¤ ÀνºÅϽº¿¡¼­ ÀÌ·¯ÇÑ ÀÛ¾÷À» ¼öÇàÇÏ´Â ¹æ¹ýÀº "4.x ¾÷±×·¹ÀÌµå ½Ã³ª¸®¿À ¿¹"¸¦ ÂüÁ¶ÇϽʽÿÀ.

    ±âÁ¸ ȯ°æ¿¡ ¿©·¯ °³ÀÇ º¹Á¦µÈ ¼­¹ö°¡ Æ÷ÇԵǾî ÀÖÀ¸¸é ¾÷±×·¹À̵带 ½ÃÀÛÇϱâ Àü¿¡ ÀÌ Àå¿¡ ¼Ò°³µÈ ¸ðµç °ü·Ã ÀýÀ» ÁÖÀDZí°Ô ÀÐ¾î º¸½Ê½Ã¿À. ºÒÇÊ¿äÇÑ ½Ã½ºÅÛ Áß´Ü ½Ã°£À» ÁÙÀÌ·Á¸é ¿Ïº®ÇÏ°Ô ¾÷±×·¹ÀÌµå °èȹÀ» ¼¼¿ö¾ß ÇÕ´Ï´Ù.

    ¾÷±×·¹À̵å Áö¿ø

    Áß¿äÇÑ µð·ºÅ丮 ¼­ºñ½º¸¦ ¾÷±×·¹À̵åÇÏ´Â °æ¿ì Sun Professional ServicesÀÇ µµ¿òÀ» ¹ÞÀ» ¼ö ÀÖ½À´Ï´Ù.

    ¿¬¶ôó Á¤º¸´Â http://www.sun.com/service/sunps/sunone/À» ÂüÁ¶ÇϽʽÿÀ.

    ´ÜÀÏ ¼­¹ö ¾÷±×·¹À̵å

    ÀÌ Àý¿¡¼­´Â ±âÁ¸ÀÇ ´ÜÀÏ ¼­¹ö¸¦ ´ÜÀÏ 5.2 ¼­¹ö·Î ¾÷±×·¹À̵åÇÏ´Â ÇÁ·Î¼¼½º¿¡ ´ëÇØ ¼³¸íÇÕ´Ï´Ù.



    ÁÖ

    ±âÁ¸ 4.x ¼­¹ö°¡ »ç¿ëÀÚ Á¤ÀÇ ½ºÅ°¸¶¸¦ »ç¿ëÇÏ´Â °æ¿ì µ¥ÀÌÅ͸¦ ÀÌÀüÇϱâ Àü¿¡ ÀÌÀü ½ºÅ©¸³Æ®°¡ »ç¿ëÀÚ Á¤ÀÇ ½ºÅ°¸¶¸¦ ãÀ» ¼ö ÀÖ´ÂÁö È®ÀÎÇÕ´Ï´Ù. ÀÚ¼¼ÇÑ ³»¿ëÀº "(4.x¸¦ 5.2·Î ¾÷±×·¹À̵åÇÏ´Â °æ¿ì) »ç¿ëÀÚ Á¤ÀÇ ½ºÅ°¸¶ ó¸®"¸¦ ÂüÁ¶ÇϽʽÿÀ.

    ÀÌÀü ½ºÅ©¸³Æ®°¡ »ç¿ëÀÚ Á¤ÀÇ ½ºÅ°¸¶¸¦ ÀνÄÇÏÁö ¸øÇÏ¸é ½ºÅ°¸¶°¡ ÀÌÀüµÇÁö ¾ÊÀ¸¸ç, »õ ¼­¹ö·Î µ¥ÀÌÅͰ¡ ÀÌÀüµÈ ÈÄ Ç¥ÁØ ½ºÅ°¸¶ ÆÄÀÏÀÌ Àû¿ëµË´Ï´Ù. »ç¿ëÀÚ Á¤ÀÇ ½ºÅ°¸¶¸¦ µû¸£´Â Ç׸ñ¿¡ Ç¥ÁØ ½ºÅ°¸¶¸¦ Àû¿ëÇϸé Ç׸ñÀ» ¼öÁ¤ÇÒ ¼ö ¾ø°Ô µÇ¹Ç·Î ¾÷±×·¹À̵åµÈ µð·ºÅ丮°¡ Àбâ Àü¿ëÀ¸·Î ¼³Á¤µË´Ï´Ù.



    »õ ¼­¹ö ¼³Ä¡

    1Àå "Sun ONE Directory Server ¼³Ä¡"¿¡ ¼³¸íµÈ Áöħ¿¡ µû¶ó ±âÁ¸ ¼­¹ö¿Í °°Àº È£½ºÆ®¿¡ »õ ¼­¹ö¸¦ ¼³Ä¡ÇÕ´Ï´Ù.



    ÁÖ

    »õ ¼­¹ö¸¦ ¼³Ä¡Çϱâ Àü¿¡ ±âÁ¸ ¼­¹ö°¡ ¹é¾÷µÇ¾î ÀÖ´ÂÁö È®ÀÎÇÕ´Ï´Ù.



    »õ ¼­¹ö°¡ ¼³Ä¡µÇ´Â ServerRoot´Â ±âÁ¸ ¼­¹öÀÇ À§Ä¡¿Í ´Þ¶ó¾ß ÇÕ´Ï´Ù. ¶ÇÇÑ »õ ¼­¹ö´Â ´Ù¸¥ serverID·Î ½Äº°µÇ¾î¾ß ÇÕ´Ï´Ù.

    Ãʱ⠼³Ä¡¿¡ Á¦°øÇß´ø ´ëºÎºÐÀÇ ±¸¼º Á¤º¸¸¦ ´Ù½Ã »ç¿ëÇϵµ·Ï ¼±ÅÃÇÒ ¼ö ÀÖÁö¸¸ ±âÁ¸ Æ÷Æ® ¹øÈ£´Â ´Ù½Ã »ç¿ëÇÏÁö ¸¶½Ê½Ã¿À. ±âÁ¸ µ¥ÀÌÅ͸¦ ÀÌÀüÇÑ ÈÄ »õ ¼­¹öÀÇ Æ÷Æ® ¹øÈ£¸¦ º¯°æÇÒ ¼ö ÀÖ½À´Ï´Ù.

    (4.x¸¦ 5.2·Î ¾÷±×·¹À̵åÇÏ´Â °æ¿ì) »ç¿ëÀÚ Á¤ÀÇ ½ºÅ°¸¶ ó¸®

    µ¥ÀÌÅÍ ÀÌÀü ½ºÅ©¸³Æ®´Â Ç¥ÁØ slapd.user_oc.conf ¹× slapd.user_at.conf ÆÄÀÏ¿¡ ÀÖ´Â »ç¿ëÀÚ Á¤ÀÇ ½ºÅ°¸¶¿Í ´Ù¸¥ ÆÄÀÏ¿¡ ÀÖÁö¸¸ useroc ¹× userat Áö½Ã¹®À» »ç¿ëÇÏ¿© slapd.conf ÆÄÀÏ¿¡ Ãß°¡µÈ »ç¿ëÀÚ Á¤ÀÇ ½ºÅ°¸¶¸¸ ÀνÄÇÕ´Ï´Ù. ¿¹¸¦ µé¾î, slapd.at.conf ¶Ç´Â slapd.oc.conf ÆÄÀÏ¿¡ Á÷Á¢ Ãß°¡µÈ »ç¿ëÀÚ Á¤ÀÇ ½ºÅ°¸¶´Â ÀÌÀü ½ºÅ©¸³Æ®¿¡¼­ ÀνÄÇÏÁö ¸øÇÕ´Ï´Ù.

    ¾÷±×·¹À̵带 ¼öÇàÇϱâ Àü¿¡ ´ÙÀ½ ´Ü°è¸¦ ¿Ï·áÇÕ´Ï´Ù.

    1. slapd.at.conf ¶Ç´Â slapd.oc.conf ÆÄÀϰú »õ ¼­¹öÀÇ ServerRoot/bin/slapd/install/version4/¿¡ Àִ ǥÁØ ÆÄÀÏÀ» ºñ±³ÇÏ¿© »ç¿ëÀÚ Á¤ÀÇ ½ºÅ°¸¶ ¿ä¼Ò¸¦ slapd.user_oc.conf ¹× slapd.user_at.conf ÆÄÀÏ¿¡ Ãß°¡ÇÕ´Ï´Ù.
    2. »ç¿ëÀÚ Á¤ÀÇ °³Ã¼ Ŭ·¡½º °£¿¡ »ó¼Ó °ü°è°¡ ÀÖÀ¸¸é ½ºÅ°¸¶ ±¸¼º ÆÄÀÏ¿¡¼­ »óÀ§ °³Ã¼ Ŭ·¡½º°¡ ÇÏÀ§ °³Ã¼ Ŭ·¡½ºº¸´Ù ¾Õ¿¡ ¿À°Ô ÇϽʽÿÀ.

    3. slapd.oc.conf ÆÄÀÏÀÇ Ç¥ÁØ °³Ã¼ Ŭ·¡½º¿¡ »ç¿ëÀÚ Á¤ÀÇ ¼Ó¼ºÀ» Ãß°¡ÇÑ °æ¿ì slapd.user_oc.conf ÆÄÀÏ¿¡ ÇØ´ç ¼Ó¼ºÀ» Æ÷ÇÔÇÏ´Â »õ °³Ã¼ Ŭ·¡½º¸¦ ÀÛ¼ºÇÏ°í ±âÁ¸ µð·ºÅ丮¿¡¼­ ÀÌ »ç¿ëÀÚ Á¤ÀÇ ¼Ó¼ºÀ» »ç¿ëÇÏ´Â ¸ðµç Ç׸ñ¿¡ »õ °³Ã¼ Ŭ·¡½º¸¦ Ãß°¡ÇÕ´Ï´Ù.
    4. ´Ù¸¥ ÆÄÀÏ¿¡ ´ëÇÑ include ¹® ±Ùó¿¡¼­ useroc ¹× userat Áö½Ã¹®À» »ç¿ëÇÏ¿© ±âÁ¸ ¼­¹öÀÇ slapd.conf ÆÄÀÏ¿¡ slapd.user_oc.conf ¹× slapd.user_at.conf ÆÄÀÏÀ» Ãß°¡ÇÕ´Ï´Ù.

    ÀÌÁ¦ ±âÁ¸ ¼­¹ö¿¡¼­ »ç¿ëÇÑ ¸ðµç »ç¿ëÀÚ Á¤ÀÇ ½ºÅ°¸¶´Â slapd.user_oc.conf ¶Ç´Â slapd.user_at.conf ÆÄÀÏ¿¡ ÀÖ¾î¾ß Çϰí slapd.conf ÆÄÀÏ¿¡´Â useroc ¹× userat Áö½Ã¹®À» »ç¿ëÇÏ¿© µÎ ÆÄÀÏÀÌ Ãß°¡µÇ¾î ÀÖ¾î¾ß ÇÕ´Ï´Ù.

    ±âÁ¸ µ¥ÀÌÅÍ ÀÌÀü

    »ç¿ëÀÚ Á¤ÀÇ ½ºÅ°¸¶¸¦ ó¸®ÇÑ ÈÄ ´ÙÀ½ ´Ü°è¸¦ ¼öÇàÇÏ¿© ±âÁ¸ µ¥ÀÌÅ͸¦ »õ ¼­¹ö·Î ÀÌÀüÇÕ´Ï´Ù.

    1. ¿ÀÇÁ¶óÀÎ »óÅ·ΠÆÄÀÏÀ» »ç¿ëÇÏ¿© »õ Directory Server¿¡¼­ º¹Á¦¸¦ ÃʱâÈ­ÇÏ·Á¸é ¸ÕÀú ÆÄÀÏÀ» È®º¸ÇÕ´Ï´Ù.
    2. Directory Server µ¥ÀÌÅÍ ³»º¸³»±â¿¡ ´ëÇÑ ÀÚ¼¼ÇÑ ³»¿ëÀº Sun ONE Directory Server °ü¸® ¼³¸í¼­¸¦ ÂüÁ¶ÇϽʽÿÀ.

    3. »õ Directory Server¸¦ ½ÇÇà ÁßÀÎÁö È®ÀÎÇÕ´Ï´Ù.
    4. ÀÌÀü ¼­¹ö¿Í »õ ¼­¹ö¿¡¼­ µ¥ÀÌÅͺ£À̽º ³»º¸³»±â¿Í °¡Á®¿À±â¸¦ ½ÃÀÛ, ÁßÁö ¹× ½ÇÇàÇÒ ¼ö ÀÖ´Â ±ÇÇÑÀÌ ÀÖ´Â »ç¿ëÀÚ·Î ÀÛ¾÷ÇÕ´Ï´Ù.
    5. ¿¹¸¦ µé¾î, ¼öÆÛÀ¯Àú°¡ µÇ°Å³ª Administrator·Î ·Î±×¿ÂÇÕ´Ï´Ù.

    6. Ç¥ 2-1¿¡ Ç¥½ÃµÈ °Íó·³ ȯ°æ º¯¼ö¸¦ ¼³Á¤ÇÕ´Ï´Ù.

    Ç¥ 2-1    ÀÌÀü ȯ°æ º¯¼ö 

    º¯¼ö

    °ª

    PATH

    (UNIX) ServerRoot/bin/slapd/admin/bin:$PATH

    (Windows) ServerRoot/bin/slapd/admin/bin;%PATH%

    PERL5LIB

    ServerRoot/bin/slapd/admin/bin

    1. ¾Æ·¡ ¸í·ÉÀ» ½ÇÇàÇÏ¿© »õ ¼­¹ö ÀνºÅϽºÀÇ ÀÌÀü ½ºÅ©¸³Æ®¸¦ ½ÇÇàÇÕ´Ï´Ù.
    2. # cd ServerRoot/bin/slapd/admin/bin
      # perl migrateInstance5 -p port52 -D "cn=directory manager" -w password -o oldServ -n newServ

      ¿©±â¼­ oldServ´Â /usr/iplanet/servers/slapd-ldap ¶Ç´Â /usr/iplanet/ds5/slapd-ldap¿Í °°ÀÌ ÀÌÀü ¼­¹ö ÀνºÅϽº¿¡ ´ëÇÑ Àüü °æ·Î¸¦ ³ªÅ¸³»°í newServ´Â /var/ds/v5.2/slapd-dirserv¿Í °°ÀÌ »õ ¼­¹ö ÀνºÅϽº¿¡ ´ëÇÑ Àüü °æ·Î¸¦ ³ªÅ¸³À´Ï´Ù.

    ½ºÅ©¸³Æ®°¡ ½ÇÇàµÇ¸é¼­ Ãâ·ÂÀÌ »ý¼ºµË´Ï´Ù. ÀÌÀüÀÌ ¿Ï·áµÈ ÈÄ¿¡ È®ÀÎÇÒ ¼ö ÀÖµµ·Ï ÀÌ Ãâ·ÂÀ» ÆÄÀÏ·Î ¸®µð·º¼ÇÇÒ ¼ö ÀÖ½À´Ï´Ù.

    ±âÁ¸ µ¥ÀÌÅ͸¦ »õ ¼­¹ö·Î ÀÌÀüÇÑ ÈÄ¿¡ ÀÌÀü ¼­¹ö¸¦ »èÁ¦ÇϽʽÿÀ.

    (4.x¸¦ 5.2·Î ¾÷±×·¹À̵åÇÏ´Â °æ¿ì¿¡¸¸ ÇØ´ç) º¹Á¦ °è¾à ÀÛ¼º

    ±âÁ¸ 4.x ¼­¹ö°¡ º¹Á¦¿¡ °ü·ÃµÇ¾î ÀÖ´Â °æ¿ì ¼ÒÇÁÆ®¿þ¾î¸¦ ¾÷±×·¹À̵åÇÏ·Á¸é µ¥ÀÌÅ͸¦ ÀÌÀüÇÑ ÈÄ º¹Á¦ °è¾àÀ» ´Ù½Ã ÀÛ¼ºÇØ¾ß ÇÕ´Ï´Ù. ¾÷±×·¹À̵å ÇÁ·Î¼¼½º¸¦ ¼öÇàÇϱâ Àü¿¡ ¸ÕÀú "(4.x¸¦ 5.2·Î ¾÷±×·¹À̵åÇÏ´Â °æ¿ì) º¹Á¦µÈ ¼­¹ö ¾÷±×·¹À̵å"¸¦ ÀÐ¾î º¸½Ê½Ã¿À.

    5.2 ¼­¹ö º¹Á¦ ±¸¼º¿¡ ´ëÇÑ ÀÚ¼¼ÇÑ ³»¿ëÀº Sun ONE Directory Server °ü¸® ¼³¸í¼­¸¦ ÂüÁ¶ÇϽʽÿÀ.

    (¼±Åà »çÇ×) ±âÁ¸ Æ÷Æ® ¹øÈ£ ´Ù½Ã »ç¿ë

    ÀÌÀü ¼­¹öÀÇ µ¥ÀÌÅ͸¦ »õ ¼­¹ö·Î ÀÌÀüÇÑ ÈÄ ÀÌÀü ¼­¹ö¸¦ »èÁ¦ÇÏ°í »õ ¼­¹ö°¡ ÀÌÀü ¼­¹ö¿Í °°Àº Æ÷Æ®¿¡¼­ ¼ö½ÅÇϵµ·Ï ¼±ÅÃÇÒ ¼ö ÀÖ½À´Ï´Ù. °°Àº Æ÷Æ®¸¦ »ç¿ëÇÏ¸é ±¸¼ºÀ» º¯°æÇÏÁö ¾Ê¾Æµµ Ŭ¶óÀÌ¾ðÆ® ÀÀ¿ë ÇÁ·Î±×·¥ÀÌ °è¼Ó ÀÛµ¿ÇÒ ¼ö ÀÖ½À´Ï´Ù.

    ¼­¹ö Æ÷Æ® º¯°æ¿¡ ´ëÇÑ ÀÚ¼¼ÇÑ ³»¿ëÀº Sun ONE Directory Server °ü¸® ¼³¸í¼­¸¦ ÂüÁ¶ÇϽʽÿÀ. »õ ¼­¹ö°¡ ÀÌÀü Æ÷Æ®¿¡¼­ ¼ö½ÅÀ» ½ÃÀÛÇϱâ Àü¿¡ ÀÌÀü ¼­¹ö¸¦ ÁßÁöÇØ¾ß ÇÕ´Ï´Ù.

    (4.x¸¦ 5.2·Î ¾÷±×·¹À̵åÇÏ´Â °æ¿ì) º¹Á¦µÈ ¼­¹ö ¾÷±×·¹À̵å

    º¹Á¦µÈ 4.x ¼­¹ö¸¦ ¾÷±×·¹À̵åÇÏ´Â °æ¿ì ¸ÕÀú »õ ¸¶½ºÅÍ¿¡ º¹Á¦ÇÑ ´ÙÀ½, º¹Á¦ ÅäÆú·ÎÁö¸¦ ÅëÇØ ºÐ±âº°·Î ¾÷±×·¹À̵åÇÕ´Ï´Ù. ÀÌ ¹æ¹ýÀ» »ç¿ëÇÏ¸é ¼­¹ö µ¿±âÈ­ Æ®·¡ÇÈ ¾çÀÌ Á¦Çѵ˴ϴÙ.



    ÁÖ

    º¹Á¦ ±¸¼º ¹× ÃʱâÈ­¿¡ ´ëÇÑ ÀÚ¼¼ÇÑ ³»¿ëÀº Sun ONE Directory Server °ü¸® ¼³¸í¼­¸¦ ÂüÁ¶ÇϽʽÿÀ.



    »õ ¸¶½ºÅÍ Áغñ

    ¾÷±×·¹À̵å Áß¿¡ 5.2 ¼­¹ö´Â ¸¶½ºÅÍ·Î ±¸¼ºµÇÁö¸¸ 4.x ÅäÆú·ÎÁö¿¡¼­ ·¹°Å½Ã ¼ÒºñÀÚ·Î ÀÛµ¿ÇÕ´Ï´Ù. ¾÷±×·¹À̵尡 ³¡³ª¸é 4.x ¼ÒºñÀÚ ±â´ÉÀÌ ºñȰ¼ºÈ­µÇ°í »õ ¼­¹ö´Â 5.2 ÅäÆú·ÎÁö¿¡¼­ ¸¶½ºÅÍ·Î ÀÛµ¿ÇÕ´Ï´Ù.

    ÀÌ °úÁ¤¿¡¼­ »õ ¸¶½ºÅÍ ¼­¹ö¸¦ ¼öµ¿À¸·Î ±¸¼ºÇØ¾ß ÇϹǷΠ±âÁ¸ ¸¶½ºÅÍ¿Í ´Ù¸¥ È£½ºÆ®¿¡ »õ ¸¶½ºÅ͸¦ ¼³Ä¡ÇÒ ¼ö ÀÖ½À´Ï´Ù.

    1. 1Àå "Sun ONE Directory Server ¼³Ä¡"¿¡ ¼³¸íµÈ Áöħ¿¡ µû¶ó »õ ¼­¹ö¸¦ ¼³Ä¡ÇÕ´Ï´Ù.
    2. »õ ¼­¹ö¿¡ 4.x ¸¶½ºÅÍ ±¸¼ºÀ» ¼öµ¿À¸·Î º¹Á¦ÇÕ´Ï´Ù.
    3. »õ ¼­¹ö¸¦ 5.2 ÅäÆú·ÎÁöÀÇ ¸¶½ºÅÍ·Î ¼³Á¤ÇÕ´Ï´Ù.
    4. ÀÚ¼¼ÇÑ ³»¿ëÀº Sun ONE Directory Server °ü¸® ¼³¸í¼­¸¦ ÂüÁ¶ÇϽʽÿÀ.

    5. »õ ¼­¹ö¸¦ 4.x ÅäÆú·ÎÁöÀÇ 4.x ¸¶½ºÅÍ ·¹°Å½Ã ¼ÒºñÀÚ·Î ¼³Á¤ÇÕ´Ï´Ù.
    6. ÀÚ¼¼ÇÑ ³»¿ëÀº Sun ONE Directory Server °ü¸® ¼³¸í¼­¸¦ ÂüÁ¶ÇϽʽÿÀ.

    7. 4.x ¸¶½ºÅͷκÎÅÍ »õ ¼­¹ö·ÎÀÇ º¹Á¦¸¦ ÃʱâÈ­ÇÕ´Ï´Ù.
    8. ÀÌ ÇÁ·Î¼¼½º´Â Netscape Directory Server Administration GuideÀÇ Chapter 13, "Managing Replication"¿¡ ¼³¸íµÇ¾î ÀÖ½À´Ï´Ù. "Manual Consumer Initialization" ÀýÀ» ÂüÁ¶ÇϽʽÿÀ.

    ÀÌÁ¦ ¼ÒºñÀÚ¸¦ ¾÷±×·¹À̵åÇÒ ¼ö ÀÖ½À´Ï´Ù.

    ¼ÒºñÀÚ ¾÷±×·¹À̵å

    ¾Æ·¡ ÀýÂ÷¿¡´Â ¼ÒºñÀÚ ¾÷±×·¹ÀÌµå ¹æ¹ýÀÌ ¿ä¾àµÇ¾î ÀÖ½À´Ï´Ù. ÀÚ¼¼ÇÑ ³»¿ëÀº ÀÌÈÄ ÀýÂ÷¸¦ ÂüÁ¶ÇϽʽÿÀ.

    1. 4.x ÅäÆú·ÎÁöÀÇ ¸ðµç ºÐ±â¸¦ ¾÷±×·¹À̵åÇÕ´Ï´Ù.
    2. 5.2 ÅäÆú·ÎÁö¿¡ ÇÊ¿äÇÑ ¼­¹ö¸¦ Ãß°¡ÇÕ´Ï´Ù.
    3. »õ ¸¶½ºÅÍ¿¡¼­ ·¹°Å½Ã ¼ÒºñÀÚ °è¾àÀ» ºñȰ¼ºÈ­ÇÏ¿© »õ ÅäÆú·ÎÁö¸¦ ÀÌÀü ÅäÆú·ÎÁö¿¡¼­ ºÐ¸®ÇÕ´Ï´Ù.

    ÀÌ ÀýÂ÷¸¦ ¼öÇàÇÏ¸é ¾÷µ¥ÀÌÆ® ÇÁ·Î¼¼½º°¡ ¿Ï·áµË´Ï´Ù.

    ºÐ±â ¾÷±×·¹À̵å

    ±âÁ¸ 4.x º¹Á¦ ÅäÆú·ÎÁö¸¦ ¸¶½ºÅͰ¡ ·çÆ® ¿ä¼Ò°¡ µÇ´Â ÇϳªÀÇ Æ®¸®·Î °¡Á¤ÇØ º¸½Ê½Ã¿À. ¿©±â¼­ ºÐ±â´Â º¹Á¦ È帧ÀÌ ·çÆ® ³ëµå °ø±ÞÀÚ¿¡¼­ ½ÃÀÛµÇ¾î Æ®¸® Áß¾ÓÀÇ ¼ÒºñÀÚ¸¦ Åë°úÇÏ°í ¸¶Áö¸·À¸·Î ¸®ÇÁ ³ëµå ¼ÒºñÀÚ ¼­¹ö¿¡ µµÂøÇÏ´Â Æ®¸®¿¡¼­ º¹Á¦µÈ ¼­¹öÀÇ ÇÑ ÁýÇÕÀ» ³ªÅ¸³À´Ï´Ù.

    ºÐ±â¸¦ ¾÷±×·¹À̵åÇÏ·Á¸é ÇÏÇâ½ÄÀ¸·Î ºÐ±âÀÇ ÀÌÀü ¼­¹ö¸¦ ¸ðµÎ »õ ¼­¹ö·Î ±³Ã¼ÇÕ´Ï´Ù.



    ÁÖ

    ¼­¹ö¸¦ ¾÷±×·¹À̵åÇÏ´Â µ¿¾È ºÐ±âÀÇ ¸ðµç ´Ù¿î½ºÆ®¸² ¼­¹ö¿¡ ´ëÇÑ º¹Á¦ È帧Àº ÁßÁöµË´Ï´Ù. ¾÷±×·¹À̵åÇÏ´Â µ¿¾È¿¡´Â Ŭ¶óÀÌ¾ðÆ® ¿äûÀ» ´Ù¸¥ ºÐ±â·Î ¸®µð·º¼ÇÇϽʽÿÀ.



    1. "´ÜÀÏ ¼­¹ö ¾÷±×·¹À̵å"¿¡ ¼³¸íµÈ Áöħ¿¡ µû¶ó ºÐ±âÀÇ ÃÖ»óÀ§ ¼­¹ö¸¦ ¾÷±×·¹À̵åÇÕ´Ï´Ù.
    2. ÀÌ·¸°Ô ÇÏ¸é ºÐ±â¿¡ ´ëÇÑ º¹Á¦ È帧ÀÌ ²÷°Ü ºÐ±âÀÇ ´Ù¿î½ºÆ®¸² ¼­¹ö¿¡ ´ëÇÑ º¹Á¦ ¾÷µ¥ÀÌÆ®°¡ ÀϽÃÀûÀ¸·Î ÁßÁöµË´Ï´Ù.

    3. 5.2 ºÐ±âÀÇ »õ ¼­¹ö¿¡¼­ º¹Á¦ °è¾àÀ» ±¸¼ºÇÏ¿© º¹Á¦ ÅäÆú·ÎÁö¿¡¼­ »õ ¸¶½ºÅÍ¿¡ ´õ °¡±îÀÌ ÀÖ´Â 5.2 ¼­¹öÀÇ ¾÷µ¥ÀÌÆ®¸¦ ¹Þ½À´Ï´Ù.
    4. ¿¹¸¦ µé¾î, »õ ºÐ±âÀÇ ÃÖ»óÀ§ ¼­¹ö°¡ 5.2 ¸¶½ºÅÍÀÇ ¾÷µ¥ÀÌÆ®¸¦ ¹Þµµ·Ï ±¸¼ºÇÕ´Ï´Ù.

    5. 5.2 °ø±ÞÀڷκÎÅÍ 5.2 ¼­¹ö·ÎÀÇ º¹Á¦¸¦ ÃʱâÈ­ÇÕ´Ï´Ù.
    6. ³×Æ®¿öÅ© ¼º´É ¹× ¾÷µ¥ÀÌÆ®¿Í µð·ºÅ丮 µ¥ÀÌÅÍ ¿ë·® °£ÀÇ ºñÀ²¿¡ µû¶ó ¿ÀÇÁ¶óÀÎ ÃʱâÈ­°¡ ¿Â¶óÀÎ ÃʱâÈ­º¸´Ù ºü¸¦ ¼ö ÀÖ½À´Ï´Ù.

    7. ¸ðµç ¸®ÇÁ ¼ÒºñÀÚ¿¡ ´ëÇØ ´Ü°è¸¦ ¿Ï·áÇÒ ¶§±îÁö ºÐ±â¸¦ µû¶ó ´Ü°è 1, ´Ü°è 2 ¹× ´Ü°è 3À» ¹Ýº¹ÀûÀ¸·Î ¼öÇàÇÕ´Ï´Ù.

    º¹Á¦ °è¾à ±¸¼º ¹× º¹Á¦ ÃʱâÈ­¿¡ ´ëÇÑ ÀÚ¼¼ÇÑ ³»¿ëÀº Sun ONE Directory Server °ü¸® ¼³¸í¼­¸¦ ÂüÁ¶ÇϽʽÿÀ.

    ÀÌÁ¦ ºÐ±â¿¡ ´ëÇÑ ¾÷µ¥ÀÌÆ® ÇÁ·Î¼¼½º°¡ ¿Ï·áµÇ¾ú½À´Ï´Ù. ³ª¸ÓÁö 4.x ºÐ±â¿¡ ´ëÇØ ÀÌ ÀýÂ÷¸¦ ¹Ýº¹ÇϽʽÿÀ.

    ¼­¹ö Ãß°¡

    4.x ÅäÆú·ÎÁö¸¦ 5.2 ÅäÆú·ÎÁö·Î ¾÷±×·¹À̵åÇÑ ÈÄ »õ ÅäÆú·ÎÁö¿¡ ÇÊ¿äÇÑ ¸¶½ºÅÍ, Çãºê ¹× ¼ÒºñÀÚ¸¦ Ãß°¡ÇÒ ¼ö ÀÖ½À´Ï´Ù.

    Ãß°¡ÇÒ °¢ ¼­¹ö¿¡ ´ëÇØ ´ÙÀ½ ´Ü°è¸¦ ¼öÇàÇÕ´Ï´Ù.

    1. 1Àå "Sun ONE Directory Server ¼³Ä¡"¿¡ ¼³¸íµÈ Áöħ¿¡ µû¶ó »õ ¼­¹ö¸¦ ¼³Ä¡ÇÕ´Ï´Ù.
    2. °èȹÇÑ ÅäÆú·ÎÁö¿¡ ¸Â°Ô »õ ¼­¹öÀÇ º¹Á¦ °è¾àÀ» Á¶Á¤ÇÕ´Ï´Ù.
    3. ÀÚ¼¼ÇÑ ³»¿ëÀº Sun ONE Directory Server °ü¸® ¼³¸í¼­¸¦ ÂüÁ¶ÇϽʽÿÀ.

    4. »õ ¼­¹ö¿¡¼­ º¹Á¦¸¦ ÃʱâÈ­ÇÕ´Ï´Ù.
    5. ÀÚ¼¼ÇÑ ³»¿ëÀº Sun ONE Directory Server °ü¸® ¼³¸í¼­¸¦ ÂüÁ¶ÇϽʽÿÀ.

    4.x ¾÷±×·¹ÀÌµå ½Ã³ª¸®¿À ¿¹

    ¼ÒºñÀÚ ÇÑ °³°¡ ÀÖ´Â ºÐ±â¿Í Çãºê¿¡¼­ ¼ÒºñÀÚ µÎ °³¸¦ °ø±ÞÇÏ´Â ºÐ±â·Î º¹Á¦µÇ´Â 4.x ¸¶½ºÅÍÀÇ ¾÷±×·¹À̵带 °¡Á¤ÇØ º¸½Ê½Ã¿À. ÀÌ Àý¿¡¼­´Â »õ·Î¿î ´ÙÁß ¸¶½ºÅÍ ÅäÆú·ÎÁö·Î ¾÷±×·¹À̵åÇÒ ¶§ ¼öÇàµÇ´Â ´Ü°è¸¦ º¸¿©ÁÝ´Ï´Ù.

    ±×¸² 2-1Àº ¾÷±×·¹À̵å ÀüÀÇ 4.x ÅäÆú·ÎÁöÀÔ´Ï´Ù.

    ±×¸² 2-1    ±âÁ¸ÀÇ 4.x ÅäÆú·ÎÁö ¿¹
    ±âÁ¸ÀÇ 4.x ÅäÆú·ÎÁö

    ±×¸² 2-2´Â 4.x ¸¶½ºÅÍÀÇ ·¹°Å½Ã ¼ÒºñÀÚ ±â´ÉÀ» ÇÏ´Â 5.2 ¸¶½ºÅͰ¡ Ãß°¡µÈ »óŸ¦ º¸¿©ÁÝ´Ï´Ù.

    ±×¸² 2-2    »õ ¼­¹ö°¡ Ãß°¡µÈ 4.x ÅäÆú·ÎÁö ¿¹
    »õ ¸¶½ºÅÍ/·¹°Å½Ã ¼ÒºñÀÚ°¡ Ãß°¡µÈ 4.x ÅäÆú·ÎÁö

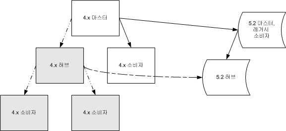
    ±×¸² 2-3Àº 4.x ºÐ±â ±³Ã¼ÀÇ Ã¹ ´Ü°è¸¦ º¸¿©ÁÝ´Ï´Ù.

    ¾÷±×·¹À̵åÇÏ´Â µ¿¾È¿¡´Â Àüü ºÐ±âÀÇ º¹Á¦ ¾÷µ¥ÀÌÆ® ¼ö½ÅÀÌ ÁßÁöµË´Ï´Ù. ¾÷µ¥ÀÌÆ® ¼ö½ÅÀº ¾÷½ºÆ®¸² 4.x ¼ÒºñÀÚ°¡ ¾÷±×·¹À̵带 À§ÇØ ÁßÁöµÈ ¶§ºÎÅÍ 4.x ¼ÒºñÀÚ°¡ ´Ù½Ã ½ÃÀÛµÉ ¶§±îÁö Áߴܵ˴ϴÙ.

    Áöħ¿¡ ¼³¸íµÈ °Íó·³ Ŭ¶óÀÌ¾ðÆ®¿¡ Ãֽо÷µ¥ÀÌÆ®°¡ ÇÊ¿äÇϸé Ŭ¶óÀÌ¾ðÆ® ¿äûÀ» ´Ù¸¥ ºÐ±âÀÇ ¼ÒºñÀÚ·Î º¸³»µµ·Ï ¼±ÅÃÇÒ ¼ö ÀÖ½À´Ï´Ù.

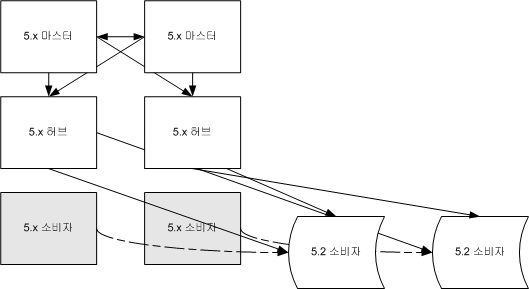
    ±×¸² 2-3    ¾÷±×·¹À̵å ÁßÀÇ 4.x ºÐ±â ¿¹ - 1´Ü°è
    ¾÷±×·¹À̵å ù ´Ü°èÀÇ 4.x ºÐ±â

    ±×¸² 2-4´Â 4.x ºÐ±â ±³Ã¼ÀÇ ´ÙÀ½ ´Ü°è¸¦ º¸¿©ÁÝ´Ï´Ù.

    ±×¸² 2-4    ¾÷±×·¹À̵å ÁßÀÇ 4.x ºÐ±â ¿¹ - 2´Ü°è
    ¾÷±×·¹À̵å ÁßÀÇ 4.x ºÐ±â

    ±×¸² 2-5´Â 4.x ºÐ±â ±³Ã¼ÀÇ ´ÙÀ½ ´Ü°è¸¦ º¸¿©ÁÝ´Ï´Ù.

    ±×¸² 2-5    ¾÷±×·¹À̵å ÁßÀÇ 4.x ºÐ±â ¿¹ - 3´Ü°è
    ¾÷±×·¹À̵å ÁßÀÇ 4.x ºÐ±â

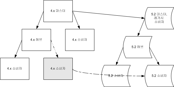
    ±×¸² 2-6Àº ´Ù¸¥ 4.x ºÐ±â·Î ±³Ã¼µÈ »óŸ¦ º¸¿©ÁÝ´Ï´Ù.

    ±×¸² 2-6    ¾÷±×·¹À̵å ÁßÀÇ 4.x ºÐ±â ¿¹ - ´ÙÀ½ ºÐ±â
    ´Ù¸¥ 4.x ºÐ±â¿¡¼­ ¾÷±×·¹À̵尡 °è¼ÓµË´Ï´Ù.

    ±×¸² 2-7Àº µÎ ÅäÆú·ÎÁö¸¦ ³ª¶õÈ÷ º¸¿©ÁÝ´Ï´Ù.

    ±×¸² 2-7    ¾÷±×·¹À̵å ÁßÀÇ 4.x ¹× 5.2 ÅäÆú·ÎÁö ¿¹
    ¿ÏÀüÈ÷ ¾÷±×·¹À̵åµÈ 4.x ÅäÆú·ÎÁö

    ±×¸² 2-8Àº »õ ÅäÆú·ÎÁö¿¡ ¸¶½ºÅÍ, Çãºê ¹× »õ·Î¿î º¹Á¦ °è¾àÀÌ Ãß°¡µÈ »óŸ¦ º¸¿©ÁÝ´Ï´Ù.

    ±×¸² 2-8    5.2 ÅäÆú·ÎÁö¿¡ ¼­¹ö Ãß°¡
    »õ ¼­¹ö°¡ Ãß°¡µÇ¾ú½À´Ï´Ù.

    ¾÷±×·¹À̵å ÇÁ·Î¼¼½º¸¦ ¿Ï·áÇÑ ÈÄ »õ ¼­¹ö¸¦ Ãß°¡ÇÒ ¼öµµ ÀÖ½À´Ï´Ù.

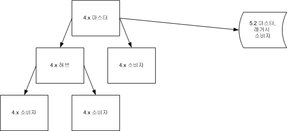
    ±×¸² 2-9´Â ÀÌÀü 4.x ¸¶½ºÅͷκÎÅÍ »õ 5.2 ¸¶½ºÅÍ·ÎÀÇ º¹Á¦ °è¾àÀÌ Á¦°ÅµÈ »óŸ¦ º¸¿©ÁÝ´Ï´Ù.

    ±×¸² 2-9    º¹Á¦ °è¾à Á¦°Å
    µÎ ÅäÆú·ÎÁöÀÇ ºÐ¸®

    Ŭ¶óÀÌ¾ðÆ® ¿äûÀ» ¸®µð·º¼ÇÇÏ°í º¹Á¦ °è¾àÀ» Á¦°ÅÇÑ ÈÄ¿¡´Â 4.x ¼­¹ö¸¦ ºñȰ¼ºÈ­ÇÒ ¼ö ÀÖ½À´Ï´Ù.

    ±×¸² 2-10Àº ¿Ï¼ºµÈ 5.2 ÅäÆú·ÎÁöÀÔ´Ï´Ù.

    ±×¸² 2-10    ¿Ï¼ºµÈ 5.2 ÅäÆú·ÎÁö
    ¿Ï¼ºµÈ ÅäÆú·ÎÁö

    ÀÌÁ¦ Ŭ¶óÀÌ¾ðÆ® ¿äûÀÌ 5.2 ÅäÆú·ÎÁö·Î º¸³»Áý´Ï´Ù.

    (5.x¸¦ 5.2·Î ¾÷±×·¹À̵åÇÏ´Â °æ¿ì) º¹Á¦µÈ ¼­¹ö ¾÷±×·¹À̵å

    º¹Á¦µÈ 5.x ¼­¹ö¸¦ ¾÷±×·¹À̵åÇÏ´Â °æ¿ì ÀϹÝÀûÀ¸·Î ¼ÒºñÀÚ, Çãºê, ¸¶½ºÅÍ ¼øÀ¸·Î ¾÷±×·¹À̵åÇÕ´Ï´Ù. ÀÌ »óÇâ½Ä ¹æ¹ý¿¡¼­´Â º¹Á¦ ÅäÆú·ÎÁöÀÇ Àüü ºÐ±â¸¦ Áß´ÜÇÏÁö ¾Ê°í ÇÑ ¹ø¿¡ ÇÑ °³ÀÇ ¼­¹ö¸¸ Áß´ÜÇϹǷΠ¸¶½ºÅÍ¿Í ¼ÒºñÀÚ °£ÀÇ ÀáÀçÀû »ç¿ëÀÚ Á¤ÀÇ ½ºÅ°¸¶ µ¿±âÈ­ ¹®Á¦¸¦ ¹æÁöÇÒ ¼ö ÀÖ½À´Ï´Ù.



    ÁÖ

    ¿©±â¿¡ ¼³¸íµÈ ÀýÂ÷´Â ÀϹÝÀûÀÎ 5.x ÅäÆú·ÎÁö ¾÷±×·¹ÀÌµå ¹æ¹ýÀ» »ç¿ëÇÕ´Ï´Ù.

    ±×·¯³ª ÀÌ »óÇâ½Ä ¾÷±×·¹ÀÌµå ¹æ¹ýÀÌ »ç¿ëÀÚÀÇ Æ¯Á¤ ¿ä±¸ »çÇ׿¡ ÀûÇÕÇÏÁö ¾ÊÀ¸¸é ´Ù¸¥ ¹æ¹ýÀ» °èȹÇϽʽÿÀ.



    5.x ¼­¹ö ¾÷±×·¹À̵å

    1. "´ÜÀÏ ¼­¹ö ¾÷±×·¹À̵å"¿¡ ¼³¸íµÈ Áöħ¿¡ µû¶ó ±âÁ¸ ÅäÆú·ÎÁöÀÇ °¢ ¼ÒºñÀÚ¸¦ ¾÷±×·¹À̵åÇÕ´Ï´Ù.
    2. °°Àº Áöħ¿¡ µû¶ó ±âÁ¸ ÅäÆú·ÎÁöÀÇ °¢ Çãºê¸¦ ¾÷±×·¹À̵åÇÕ´Ï´Ù.
    3. °°Àº Áöħ¿¡ µû¶ó ±âÁ¸ ÅäÆú·ÎÁöÀÇ °¢ ¸¶½ºÅ͸¦ ¾÷±×·¹À̵åÇÕ´Ï´Ù.

    ¼­¹ö Ãß°¡

    5.x ÅäÆú·ÎÁö¸¦ 5.2 ÅäÆú·ÎÁö·Î ¾÷±×·¹À̵åÇÑ ÈÄ »õ ÅäÆú·ÎÁö¿¡ ÇÊ¿äÇÑ ¸¶½ºÅÍ, Çãºê ¹× ¼ÒºñÀÚ¸¦ Ãß°¡ÇÒ ¼ö ÀÖ½À´Ï´Ù.

    Ãß°¡ÇÒ °¢ ¼­¹ö¿¡ ´ëÇØ ´ÙÀ½ ´Ü°è¸¦ ¼öÇàÇÕ´Ï´Ù.

    1. 1Àå "Sun ONE Directory Server ¼³Ä¡"¿¡ ¼³¸íµÈ Áöħ¿¡ µû¶ó »õ ¼­¹ö¸¦ ¼³Ä¡ÇÕ´Ï´Ù.
    2. °èȹÇÑ ÅäÆú·ÎÁö¿¡ ¸Â°Ô »õ ¼­¹öÀÇ º¹Á¦ °è¾àÀ» Á¶Á¤ÇÕ´Ï´Ù.
    3. »õ ¼­¹ö¿¡¼­ º¹Á¦¸¦ ÃʱâÈ­ÇÕ´Ï´Ù.

    º¹Á¦ °è¾à ±¸¼º ¹× º¹Á¦ ÃʱâÈ­¿¡ ´ëÇÑ ÀÚ¼¼ÇÑ ³»¿ëÀº Sun ONE Directory Server °ü¸® ¼³¸í¼­¸¦ ÂüÁ¶ÇϽʽÿÀ.

    ÀÌ ÀýÂ÷¸¦ ¼öÇàÇÏ¸é ¾÷µ¥ÀÌÆ® ÇÁ·Î¼¼½º°¡ ¿Ï·áµË´Ï´Ù. Ŭ¶óÀÌ¾ðÆ®°¡ ¾÷±×·¹À̵åµÈ º¹Á¦ ÅäÆú·ÎÁöÀÇ ¼­¹ö¸¦ »ç¿ëÇÒ ¼ö ÀÖ½À´Ï´Ù.

    5.x ¾÷±×·¹ÀÌµå ½Ã³ª¸®¿À ¿¹

    µÎ ¼ÒºñÀÚ¸¦ °ø±ÞÇÏ´Â µÎ °³ÀÇ Çãºê·Î º¹Á¦µÇ´Â 5.x ÀÌÁß ¸¶½ºÅÍÀÇ ¾÷±×·¹À̵带 °¡Á¤ÇØ º¸½Ê½Ã¿À. ÀÌ Àý¿¡¼­´Â 5.2 ¼­¹ö¸¦ »ç¿ëÇϵµ·Ï ÅäÆú·ÎÁö¸¦ ¾÷±×·¹À̵åÇÒ ¶§ ¼öÇàµÇ´Â ´Ü°è¸¦ º¸¿©ÁÝ´Ï´Ù.

    ±×¸² 2-11Àº ¾÷±×·¹À̵å ÀüÀÇ 5.x ÅäÆú·ÎÁöÀÔ´Ï´Ù.

    ±×¸² 2-11    ±âÁ¸ÀÇ 5.x ÅäÆú·ÎÁö ¿¹
    ±âÁ¸ÀÇ 5.x ÅäÆú·ÎÁö

    ù ´Ü°è¿¡¼­´Â ¼ÒºñÀÚ¸¦ ¾÷±×·¹À̵åÇÕ´Ï´Ù. ±×¸² 2-12´Â ¿Ï¼ºµÈ ÅäÆú·ÎÁöÀÔ´Ï´Ù.

    ±×¸² 2-12    5.x ¼ÒºñÀÚ ¾÷±×·¹ÀÌµå ´Ü°è ¿¹
    5.x ¼ÒºñÀÚ°¡ ù ¹øÂ°·Î ¾÷±×·¹À̵åµË´Ï´Ù.

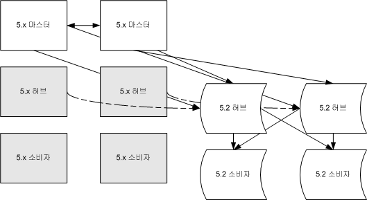
    ´ÙÀ½ ´Ü°è¿¡¼­´Â Çãºê¸¦ ¾÷±×·¹À̵åÇÕ´Ï´Ù. ±×¸² 2-13Àº ¿Ï¼ºµÈ ÅäÆú·ÎÁöÀÔ´Ï´Ù.

    ±×¸² 2-13    5.x Çãºê ¾÷±×·¹ÀÌµå ´Ü°è ¿¹
    5.x Çãºê°¡ µÎ ¹øÂ°·Î ¾÷±×·¹À̵åµË´Ï´Ù.

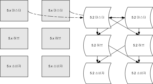
    ´ÙÀ½ ´Ü°è¿¡¼­´Â ¸¶½ºÅ͸¦ ¾÷±×·¹À̵åÇÕ´Ï´Ù. ±×¸² 2-14´Â ¿Ï¼ºµÈ ÅäÆú·ÎÁöÀÔ´Ï´Ù.

    ±×¸² 2-14    5.x ¸¶½ºÅÍ ¾÷±×·¹ÀÌµå ¿¹ - 3´Ü°è
    5.x ¸¶½ºÅͰ¡ ¸¶Áö¸·À¸·Î ¾÷±×·¹À̵åµË´Ï´Ù.

    ±×¸² 2-15´Â ¾÷±×·¹À̵å ÈÄÀÇ 5.2 ÅäÆú·ÎÁöÀÔ´Ï´Ù. ÀÌÁ¦ ÀÌÀü ÅäÆú·ÎÁöÀÇ ¼­¹ö¸¦ »èÁ¦ÇÒ ¼ö ÀÖÀ¸¸ç 5.2 ÅäÆú·ÎÁö¿¡ »õ ¼­¹ö°¡ Ãß°¡µÇ¾ú½À´Ï´Ù.

    ±×¸² 2-15    ¾÷±×·¹À̵å ÈÄÀÇ 5.2 ÅäÆú·ÎÁö ¿¹
    »õ ÅäÆú·ÎÁö°¡ ÀÌÀü ÅäÆú·ÎÁö¸¦ ±³Ã¼ÇÕ´Ï´Ù.

    ÀÌÁ¦ Ŭ¶óÀÌ¾ðÆ® ¿äûÀÌ 5.2 ÅäÆú·ÎÁö·Î º¸³»Áý´Ï´Ù.


    ÀÌÀü      ¸ñÂ÷      »öÀÎ      ´ÙÀ½     
    Copyright 2003 Sun Microsystems, Inc. ¸ðµç ±Ç¸®´Â ÀúÀÛ±ÇÀÚÀÇ ¼ÒÀ¯ÀÔ´Ï´Ù.