![]() | |
Sun Java Enterprise System 2004Q2 Guide d�installation |
Chapitre 1
Pr�sentationCe chapitre pr�sente le logiciel Sun Java Enterprise System ainsi que son programme d'installation.
Ce chapitre se compose des sections suivantes :
Introduction � Java Enterprise SystemJava Enterprise System regroupe les produits serveur de Sun sous la forme d'un syst�me logiciel unique qui fournit le logiciel serveur int�gr� n�cessaire � la prise en charge des applications d'entreprise distribu�es.
Pour en savoir plus sur les services que Java Enterprise System propose et sur les technologies utilis�es pour ces services, reportez-vous au manuel Java Enterprise System Technical Overview (http://docs.sun.com/doc/817-5764).
Pour conna�tre les t�ches relatives � l'int�gration de Java Enterprise System � votre infrastructure informatique, reportez-vous au manuel Java Enterprise System Documentation Roadmap (http://docs.sun.com/doc/817-5763). Cette introduction r�pertorie �galement les nombreuses ressources documentaires qui vous permettront de r�aliser ces t�ches.
Que contient cette version de Java Enterprise System ?Java Enterprise System 2004Q2 propose une large gamme de composants et de composants partag�s qui prennent en charge plusieurs langues sur plusieurs syst�mes d'exploitation et plates-formes mat�rielles, comme l'expliquent les sections ci-apr�s.
Plates-formes mat�rielles et syst�mes d'exploitation
Java Enterprise System 2004Q2 prend en charge les combinaisons suivantes de syst�me d'exploitation et de plate-forme mat�rielle :
Langues
Outre l’anglais, Java Enterprise System 2004Q2 est �galement disponible dans les langues ci-apr�s :
Pour de plus amples informations sur les langues offertes par le programme d'installation de Java Enterprise System, reportez-vous � la section S�lection de la langue.
Composants
Les composants fournissent les services d'infrastructure n�cessaires � la prise en charge des applications d'entreprise distribu�es. Lorsque vous installez Java Enterprise System sur un h�te particulier, vous choisissez les composants � installer sur cet h�te en fonction de votre architecture de d�ploiement globale.
Java Enterprise System 2004Q2 offre les composants suivants :
Services de communication et de collaboration
- Sun Java System Messaging Server 6 2004Q2
- Sun Java System Calendar Server 6 2004Q2
- Sun Java System Instant Messaging 6 2004Q2
- Sun Java System Portal Server 2004Q2
- Sun Java System Portal Server Mobile Access 2004Q2
- Sun Java System Portal Server Secure Remote Access 2004Q2
- Sun Java System Communications Express 6 2004Q2
Services Web et services d'application
Services d’annuaire et d’identit�
Services de disponibilit�
Services administratifs
Composants partag�s
Les composants partag�s fournissent les services locaux et la prise en charge de technologies dont d�pendent les composants. Lors de l'installation des composants, le programme d'installation de Java Enterprise System v�rifie automatiquement la pr�sence des composants partag�s requis et rem�die � leur absence le cas �ch�ant.
Java Enterprise System 2004Q2 inclut les composants partag�s suivants :
- Ant (outil de g�n�ration Jakarta ANT Java/XML) ;
- Apache Common Logging ;
- Apache SOAP (Simple Object Access Protocol) ;
- ICU (International Components for Unicode) ;
- plate-forme J2SE 1.4.2_04 (plate-forme Java 2, Standard Edition) ;
- JAF (JavaBeans Activation Framework) ;
- JATO (Java Application Framework) ;
- JavaHelp Runtime ;
- JAXB (Java Architecture for XML Binding - Architecture Java pour liaison XML) ;
- JAXM (Java API for XML Messaging) Client Runtime ;
- JAXP (Java API for XML Processing) ;
- JAXR (Java API for XML Registries) ;
- JAX-RPC (Java APIs for XML-based Remote Procedure Call) ;
- JCAPI (Java Calendar API - API Java Calendar) ;
- JSS (Java Security Services) ;
- KT Search Engine ;
- LDAP C Language SDK ;
- LDAP Java SDK ;
- NSPR (Netscape Portable Runtime) ;
- NSS (Network Security Services) ;
- Perl LDAP, y compris NSPERL ;
- SAAJ (SOAP with Attachments API for Java) ;
- SAML (Security Assertions Markup Language) ;
- SASL (Simple Authentication and Security Layer) ;
- SNMP (Simple Network Management Protocol) Peer ;
- Sun Explorer Data Collector ;
- XML C Library (libxml).
Comment puis-je me procurer le logiciel Java Enterprise System ?Le logiciel Java Enterprise System peut �tre obtenu de diff�rentes mani�res :
Vous pouvez vous procurer un kit de support contenant des CD ou un DVD aupr�s de votre repr�sentant Sun ou � l'adresse suivante : http://www.sun.com. Chaque CD inclut les fichiers d'installation relatifs � un syst�me d'exploitation donn� (Sun Solaris SPARC ou Solaris X86), ainsi que le programme d'installation de Java Enterprise System et l'int�gralit� des composants. Le DVD comporte les fichiers d'installation pour tous les syst�mes d'exploitation, le programme d'installation de Java Enterprise System et l'int�gralit� des composants.
Certains kits de support Solaris 9 comprennent syst�matiquement le logiciel Java Enterprise System stock� sur CD ou DVD.
Vous pouvez t�l�charger le logiciel Java Enterprise System sous divers formats � partir du centre de t�l�chargement de Sun (http://www.sun.com/download). Les formats disponibles sont les suivants :
- image ISO du CD de tous les fichiers d'installation relatifs � un syst�me d'exploitation particulier ;
- archives compress�es de tous les fichiers d'installation relatifs � un syst�me d'exploitation particulier ;
- archives compress�es de tous les fichiers d'installation relatifs � un composant donn�, y compris aux composants (partag�s ou non) requis par celui-ci.
Si vous avez command� un syst�me Sun sur lequel des logiciels ont �t� pr�alablement install�s ou charg�s, Java Enterprise System y figure peut-�tre d�j�. La pr�sence du r�pertoire suivant sur votre syst�me indique que le logiciel Java Enterprise System a �t� pr�alablement charg� :
/var/spool/stage/JES_04Q2_architecture/
o� architecture est l’architecture du syst�me, par exemple, SPARC ou X86. Pour terminer l'installation et la configuration du logiciel pr�alablement charg�, reportez-vous � la section D�ploiement du logiciel Java Enterprise System pr�alablement charg�.
Les fichiers d'installation de Java Enterprise System peuvent, selon les proc�dures op�rationnelles en vigueur dans votre entreprise, �tre disponibles sur votre r�seau interne. Contactez le personnel administratif ou responsable des op�rations sur le syst�me pour savoir si c'est le cas.
Remarque
Si vous �tes charg� de mettre les fichiers d'installation de Java Enterprise System � disposition � partir d'un serveur de fichiers de votre r�seau, reportez-vous � la section Pour rendre une image d'installation disponible sur un r�pertoire partag�.
Fonctionnement du programme d'installation de Java Enterprise SystemLe programme d'installation commun de Java Enterprise System constitue un environnement d'installation qui a recours � l'utilitaire pkgadd de Solaris pour transf�rer le logiciel Java Enterprise System sur votre syst�me. Il prend en charge les modes interactifs graphique et texte ainsi que le mode d'installation Silencieux (qui fonctionne � l'aide de param�tres). Tous les composants de Java Enterprise System sont install�s par l'interm�diaire de ce programme d'installation commun.
Avantages du programme d'installation commun :
Au cours de l'installation, vous avez la possibilit� de configurer les composants que vous avez s�lectionn�s. L'importance de la configuration au moment de l'installation varie suivant les composants et le type de configuration choisis.
Le mode de fonctionnement du programme d'installation est d�crit dans les sections suivantes :
Modes du programme d’installation
Il vous est possible d’installer Java Enterprise System de mani�re interactive ou en vous servant d'un script r�utilisable. Les trois modes d’ex�cution du programme d’installation sont indiqu�s ci-dessous.
- Mode interactif graphique : comporte un assistant graphique qui vous aide � installer pas � pas le logiciel Java Enterprise System.
- Mode interactif texte : apporte les m�mes fonctionnalit�s que le mode graphique, mais en vous demandant de r�pondre � des questions ligne par ligne, sans faire appel � un assistant.
- Mode Silencieux : utilise un fichier dans lequel sont stock�es les valeurs d'installation. Pour proc�der � une installation en mode Silencieux, il vous faut tout d'abord ex�cuter le programme d'installation de mani�re interactive afin d'enregistrer les r�ponses donn�es dans un fichier d'�tat, puis utiliser ce fichier dans le programme d'installation.
Pour obtenir des informations concernant le choix du mode d'installation, reportez-vous � la section S�lection d'un mode d'installation.
S�lection de la langue
Java Enterprise System est disponible dans plusieurs langues. Vous pouvez installer les composants avec leur interface traduite, en plus de l'interface en anglais.
Langues du programme d’installation
Le programme d’installation interactif est ex�cut� dans la langue sp�cifi�e dans les param�tres r�gionaux du syst�me d’exploitation. Les langues suivantes sont disponibles :
Si la langue de votre syst�me d’exploitation ne figure pas dans la liste, le programme s’ex�cute en anglais.
Langues des composants
Le programme d’installation installe automatiquement la version anglaise de tous les composants de Java Enterprise System. Vous pouvez, par ailleurs, installer les packages des composants dans les langues figurant dans la liste. Si la langue de votre syst�me d’exploitation figure dans la liste, elle est s�lectionn�e par d�faut pour l’installation. Vous avez toutefois la possibilit� de modifier cette s�lection.
Au cours d’une m�me session d’installation, la langue ainsi choisie s’applique � tous les composants que vous installez. Pour utiliser une langue pour certains composants uniquement et une autre pour d’autres composants, vous pouvez ex�cuter le programme d’installation plusieurs fois.
Le programme d’installation ne peut pas installer de packages de langues suppl�mentaires pour les composants ayant fait l’objet d'une installation ant�rieure. Vous pouvez toutefois ajouter des langues � tout moment � l'aide de l’utilitaire pkgadd. Pour conna�tre les packages � ajouter � chaque composant, consultez la section Packages localis�s pour les composants.
V�rification des logiciels d�j� pr�sents
Au cours de l'installation, le programme d'installation examine la machine sur laquelle vous effectuez l'installation et identifie les �l�ments suivants :
Vous pouvez, pour les logiciels qui ont �t� install�s � l'aide de packages, employer le programme d'installation pour dresser la liste des produits pr�c�demment install�s. Vous trouverez des instructions dans la section Identification des besoins de mise � niveau des composants.
De nombreux syst�mes comportent d�j� des versions des composants partag�s, tels que J2SE ou NSS. Le programme d'installation de Java Enterprise System v�rifie les composants partag�s pr�sents sur la machine. S'il trouve des versions incompatibles avec Java Enterprise System, il les indique. Si vous poursuivez l'installation, il met � niveau les composants partag�s vers les versions les plus r�centes.
V�rification des d�pendances
Le programme d'installation effectue une v�rification par recoupement approfondie sur les composants pour s'assurer que les composants s�lectionn�s fonctionneront correctement. Cette section aborde les th�mes suivants :
V�rification des d�pendances de composants
De nombreux composants d�pendent d'autres composants pour pouvoir fonctionner. Le programme d'installation de Java Enterprise System propose une logique de v�rification des d�pendances qui permet de veiller au respect de ces d�pendances. Pour la m�me raison, il est possible que certains composants soient automatiquement s�lectionn�s lorsque vous effectuez vos choix.
Par exemple, Identity Server a besoin d'une instance locale ou distante de Directory Server et d'une instance locale d'un conteneur Web J2EE, soit Application Server, soit Web Server. De plus, Application Server requiert une instance locale de Message Queue.
Le programme d'installation �tudie les relations existant entre les logiciels s�lectionn�s et ceux d�j� pr�sents. Par exemple :
- Le programme d'installation g�n�re une erreur et vous emp�che de continuer si vous s�lectionnez Application Server et qu'une version incompatible du composant Message Queue soit d�j� install�e.
- Le programme d'installation g�n�re un avertissement, mais vous permet de continuer, si vous choisissez Identity Server et d�s�lectionnez Directory Server. Cela ne repr�sente qu'un avertissement car vous pouvez respecter la d�pendance d'Identity Server avec Directory Server en faisant appel � une instance distante de Directory Server au cours de la configuration.
Proc�dure de s�lection des composants
En r�gle g�n�rale, le programme d'installation de Java Enterprise System se base sur les r�gles suivantes en mati�re de s�lection et de d�s�lection des composants :
Par exemple, si vous s�lectionnez Application Server, le programme d'installation s�lectionne automatiquement Message Queue.
Par exemple, Identity Server d�pend d'une instance locale de conteneur Web J2EE (Application Server ou Web Server). Dans ce cas, le programme d'installation s�lectionne automatiquement Application Server comme conteneur Web. Pour utiliser Web Server comme conteneur Web, vous devez d�s�lectionner Application Server (et Message Queue, qui a �t� automatiquement s�lectionn� avec Application Server en raison de sa d�pendance avec celui-ci) et s�lectionner Web Server.
Voici un exemple qui s'�tend aux sous-composants : Portal Server d�pend d'une instance locale d'Identity Server ou du kit SDK d'Identity Server. Dans ce cas, le programme d'installation s�lectionne automatiquement Identity Server. Pour respecter la d�pendance avec le kit SDK d'Identity Server, vous devez d�s�lectionner tous les sous-composants d'Identity Server, sauf ce kit.
- Si vous d�s�lectionnez un composant qui est requis au niveau local par un autre composant s�lectionn�, le programme d'installation affiche un message d'erreur lorsque vous essayez de passer � l'�cran suivant celui de s�lection des composants. Ce message vous demande de s�lectionner le composant requis.
- Si vous d�s�lectionnez un composant qui est requis au niveau local ou � distance pour un autre composant s�lectionn�, le programme d'installation affiche un message d'avertissement lorsque vous essayez de passer � l'�cran suivant celui de s�lection des composants. Cet avertissement vous demande de choisir le composant requis ou d'utiliser une instance distante du composant pendant la configuration.
- Si vous s�lectionnez un sous-composant, le programme d'installation s�lectionne automatiquement le composant auquel il appartient. En revanche, il ne s�lectionne pas automatiquement d'autres sous-composants.
- Si vous d�s�lectionnez un composant, le programme d'installation d�s�lectionne automatiquement tous ses sous-composants.
Exemple d'interd�pendance
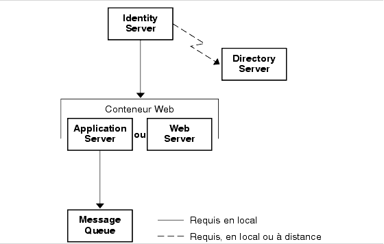
La figure ci-apr�s illustre les divers types de d�pendances entre composants. Les lignes continues repr�sentent les d�pendances qui doivent �tre respect�es sur la machine locale. Les lignes en pointill� correspondent aux d�pendances qui peuvent �tre respect�es � distance.
Figure 1-1 Exemple de d�pendances entre composants
Lorsque vous choisissez d'installer d'Identity Server, le programme d'installation s�lectionne automatiquement les composants suivants :
- Directory Server car Identity Server d�pend de lui de mani�re locale ou distante ;
- Application Server car Identity Server d�pend de mani�re locale d'un conteneur Web J2EE, et le programme d'installation utilise Application Server comme conteneur Web par d�faut ;
- Message Queue car Application Server (conteneur Web par d�faut) d�pend localement de lui.
Types de configuration et d�finition de param�tres
La plupart des composants de Java Enterprise System requi�rent un minimum de configuration pendant l’installation. Les informations � pr�ciser peuvent se limiter � quelques param�tres communs, comme l’ID utilisateur et le mot de passe de l'administrateur ou bien comprendre des param�tres d�taill�s propres � chaque composant. Le type de configuration choisi d�termine la quantit� de configuration effectu�e lors de l'installation.
- Configurer maintenant : au cours de l'installation, vous configurez les composants pour lesquels une configuration pendant l’installation est possible.
- Configurer ult�rieurement : au cours de l'installation, vous indiquez uniquement les valeurs indispensables pour l'installation, le reste de la configuration �tant effectu� par la suite.
Pour savoir quel type de configuration choisir, reportez-vous � la section S�lection du type de configuration.
Pendant l'installation, deux types d'information sont requis selon le type de configuration s�lectionn� :
- Param�tres communs du serveur : il s'agit des param�tres qui s'appliquent � plusieurs composants. Par exemple, pour la plupart des composants, vous devez indiquer un mot de passe et un ID d'administrateur. Les valeurs communes d�finies servent de valeurs par d�faut pour les ID et mots de passe d'administration associ�s � l'ensemble des composants.
- Param�tres de composants : ces param�tres s'appliquent � un composant pr�cis et sont demand�s au cours de l'installation uniquement si vous avez choisi le mode Configurer maintenant. La valeur de certains des param�tres de composants est issue de la page des param�tres communs du serveur.
D�sinstallation
Java Enterprise System est dot� d'un programme de d�sinstallation qui permet de supprimer de votre syst�me les composants qui ont �t� install�s par le biais du programme d'installation de ce m�me logiciel. Le programme de d�sinstallation v�rifie les d�pendances de produits sur le syst�me sur lequel il est ex�cut� et g�n�re un avertissement lorsqu'il en d�couvre une. Il peut fonctionner en mode graphique, texte ou Silencieux.
Si Java Enterprise System a �t� install�, le programme de d�sinstallation se trouve dans le r�pertoire /var/sadm/prod/entsys.
Des instructions compl�tes relatives � l'utilisation du programme de d�sinstallation figurent dans le Chapitre 10, � D�sinstallation du logiciel �.
Flux d'installation
Le flux d'installation d�pend de votre plan de d�ploiement et de la combinaison de composants que vous mettez en uvre. La liste exhaustive des t�ches d'installation est incluse dans la section Introduction � l'installation. Vous n'aurez pas forc�ment besoin de r�aliser toutes ces t�ches.
Pour obtenir des exemples de haut niveau de types d'installation possibles, consultez la section Proc�dures d'installation pour des d�ploiements sp�cifiques. Si votre plan de mise en uvre ressemble � l'un de ces exemples, il peut �tre utile de suivre des �tapes similaires.
Les organigrammes ci-dessous repr�sentent les principales actions et d�cisions qui interviennent lors d'une installation standard de Java Enterprise System. La figure est divis�e en plusieurs parties, pour une question de taille. La partie gauche repr�sente les actions du programme d'installation et la partie droite les v�tres.
Figure 1-2 Flux d'installation (jusqu'� la mise � niveau des composants)
La figure ci-dessous fait suite � la Figure 1-2. Les points de suspension (…) en bas de la Figure 1-2 renvoient � ceux situ�s en haut de la Figure 1-3.
Figure 1-3 Flux d'installation (� partir de la v�rification de la compatibilit� des composants partag�s jusqu'� la fin)