Oracle CQLには、Coltオープン・ソース・ライブラリに基づいた、高性能な科学技術計算のための様々な組込みの単一行関数が用意されています。
詳細は、1.1.11項「関数」を参照してください。
表10-1は、Oracle CQLに用意されている組込みの単一行Colt関数を示しています。
表10-1 Oracle CQLの組込みの単一行Coltベースの関数
| Coltパッケージ | 関数 |
|---|---|
|
一連の基本的な多項関数、丸め関数および計算関数です。 |
|
|
一連のベッセル関数です。 |
|
|
疑似乱数ジェネレータに適したシードを含む表です。この表内の各シーケンスの周期は10**9です。 |
|
|
一連のガンマ関数とベータ関数です。 |
|
|
一連の確率分布です。 |
|
|
一連の非多相関数、非境界チェック関数、下位ビットベクタ関数です。 |
|
|
一連のハッシュ関数です。 |
|
|
注意: 組込み関数名では大文字と小文字が区別されるため、表示されている方(小文字)を使用してください。 |
|
注意: ストリーム入力の例で、hで始まる行(h 3800など)はハートビート入力タプルです。これは、ハートビート値よりも小さいタイムスタンプを持つこれ以上の入力がないことをOracle CEPに通知します。 |
詳細は、以下を参照してください。
構文

目的
betaは、cern.jet.stat.Gammaに基づいています。入力引数のベータ関数(図10-1を参照)をdoubleとして返します。
この関数は次の引数を使用します。
double1: xの値。
double2: yの値。
詳細は、http://dsd.lbl.gov/~hoschek/colt/api/cern/jet/stat/Gamma.html#beta(double,%20double)を参照してください。
例
例10-1は問合せqColt28を示しています。例10-2はスキーマ(c1 integer, c2 double, c3 bigint)を持つデータ・ストリームSColtFuncを示しており、この問合せは例10-3に示すリレーションを返します。
構文

目的
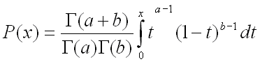
beta1は、cern.jet.stat.Probabilityに基づいています。ベータ密度関数(図10-2を参照)で示す領域P(x)(0からx)をdoubleとして返します。
この関数は次の引数を使用します。
double1: ベータ分布のアルファ・パラメータa。
double2: ベータ分布のベータ・パラメータb。
double3: 積分終了点x。
詳細は、http://dsd.lbl.gov/~hoschek/colt/api/cern/jet/stat/Probability.html#beta(double,%20double,%20double)を参照してください。
例
例10-4は問合せqColt35を示しています。例10-5はスキーマ(c1 integer, c2 double, c3 bigint)を持つデータ・ストリームSColtFuncを示しており、この問合せは例10-6に示すリレーションを返します。
構文

目的
betaComplementedは、cern.jet.stat.Probabilityに基づいています。ベータ密度関数(図10-2を参照)の右側の尾(xから無限大)で示す領域をdoubleとして返します。
この関数は次の引数を使用します。
double1: ベータ分布のアルファ・パラメータa。
double2: ベータ分布のベータ・パラメータb。
double3: 積分終了点x。
詳細は、以下を参照してください。
例
例10-7は問合せqColt37を示しています。例10-8はスキーマ(c1 integer, c2 double, c3 bigint)を持つデータ・ストリームSColtFuncを示しており、この問合せは例10-9に示すリレーションを返します。
例10-7 betaComplemented関数の問合せ
<query id="qColt37"><![CDATA[
select betaComplemented(c2,c2,c2) from SColtFunc
]]></query>
構文

目的
binomialは、cern.jet.math.Arithmeticに基づいています。kを超える二項係数n(図10-3を参照)をdoubleとして返します。
この関数は次の引数を使用します。
double1: nの値。
long2: kの値。
表10-2は、様々なkの値に対応するbinomial関数の戻り値を示しています。
表10-2 cern.jet.math.Arithmetic binomialの戻り値
| 引数 | 戻り値 |
|---|---|
|
|
0 |
|
|
1 |
|
|
|
|
上記以外の |
図10-3で計算される二項係数。 |
詳細は、http://dsd.lbl.gov/~hoschek/colt/api/cern/jet/math/Arithmetic.html#binomial(double,%20long)を参照してください。
例
例10-10は問合せqColt6を示しています。例10-11はスキーマ(c1 integer, c2 double, c3 long)を持つデータ・ストリームSColtFuncを示しており、この問合せは例10-12に示すリレーションを返します。
構文

目的
binomial1は、cern.jet.math.Arithmeticに基づいています。kを超える二項係数n(図10-3を参照)をdoubleとして返します。
この関数は次の引数を使用します。
long1: nの値。
long2: kの値。
表10-3は、様々なkの値に対応するBINOMIAL関数の戻り値を示しています。
表10-3 cern.jet.math.Arithmetic Binomial1の戻り値
| 引数 | 戻り値 |
|---|---|
|
|
0 |
|
|
1 |
|
|
|
|
上記以外の |
図10-3で計算される二項係数。 |
詳細は、http://dsd.lbl.gov/~hoschek/colt/api/cern/jet/math/Arithmetic.html#binomial(long,%20long)を参照してください。
例
例10-13は問合せqColt7を示しています。例10-14はスキーマ(c1 integer, c2 float, c3 long)を持つデータ・ストリームSColtFuncを示しており、この問合せは例10-15に示すリレーションを返します。
構文

目的
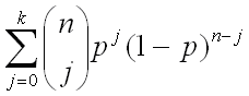
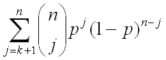
binomial2は、cern.jet.stat.Probabilityに基づいています。二項確率密度(図10-4を参照)の項0からkの合計をdoubleとして返します。
この関数は次の引数を使用します(すべての引数は正の値であることが必要です)。
integer1: 末項k。
integer2: 試行回数n。
double3: (0.0, 1.0)で成功する確率p。
詳細は、http://dsd.lbl.gov/~hoschek/colt/api/cern/jet/stat/Probability.html#binomial(int,%20int,%20double)を参照してください。
例
例10-16は問合せqColt34を示しています。例10-17はスキーマ(c1 integer, c2 double, c3 bigint)を持つデータ・ストリームSColtFuncを示しており、この問合せは例10-18に示すリレーションを返します。

目的
binomialComplementedは、cern.jet.stat.Probabilityに基づいています。二項確率密度(図10-5を参照)の項k+1からnの合計をdoubleとして返します。
この関数は次の引数を使用します(すべての引数は正の値であることが必要です)。
integer1: 末項k。
integer2: 試行回数n。
double3: (0.0, 1.0)で成功する確率p。
詳細は、http://dsd.lbl.gov/~hoschek/colt/api/cern/jet/stat/Probability.html#binomialComplemented(int,%20int,%20double)を参照してください。
例
例10-19は問合せqColt38を示しています。例10-20はスキーマ(integer, c2 double, c3 bigint)を持つデータ・ストリームSColtFuncを示しており、この問合せは例10-21に示すリレーションを返します。
例10-19 binomialComplemented関数の問合せ
<query id="qColt38"><![CDATA[
select binomialComplemented(c1,c1,c2) from SColtFunc
]]></query>
構文

目的
bitMaskWithBitsSetFromToは、cern.colt.bitvector.QuickBitVectorに基づいています。64ビット幅のビット・マスクを、指定の範囲のビットが1に設定され、その他のすべてのビットが0に設定されたlongとして返します。
この関数は次の引数を使用します。
integer1: fromの値。開始ビット(を含む)の索引です。
integer2: toの値。終了ビット(を含む)の索引です。
必要条件(チェックなし): to - from + 1 >= 0 && to - from + 1 <= 64。
to - from + 1 = 0の場合は、すべてのビットが0に設定されたビット・マスクを返します。
詳細は、以下を参照してください。
例
例10-22は問合せqColt53を示しています。例10-23はスキーマ(c1 integer, c2 float, c3 bigint)を持つデータ・ストリームSColtFuncを示しており、この問合せは例10-24に示すリレーションを返します。
例10-22 bitMaskWithBitsSetFromTo関数の問合せ
<query id="qColt53"><![CDATA[
select bitMaskWithBitsSetFromTo(c1,c1) from SColtFunc
]]></query>
構文

目的
ceilは、cern.jet.math.Arithmeticに基づいています。doubleの引数以上の最小のlongを返します。
丸めエラーが発生する可能性があるため、このメソッドは(float) java.lang.Math.ceil(long)を使用する場合よりも安全です。
詳細は、以下を参照してください。
例
例10-25は問合せqColt1を示しています。例10-26はスキーマ(c1 integer, c2 double, c3 bigint)を持つデータ・ストリームSColtFuncを示しており、この問合せは例10-27に示すリレーションを返します。
構文

目的
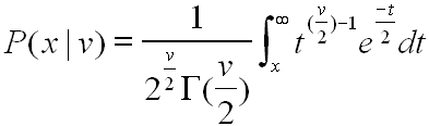
chiSquareは、cern.jet.stat.Probabilityに基づいています。自由度がvのカイ2乗確率密度関数(図10-6を参照)の左側の尾(0からx)で示す領域をdoubleとして返します。
この関数は次の引数を使用します(すべての引数は正の値であることが必要です)。
double1: 自由度v。
double2: 積分終了点x。
詳細は、http://dsd.lbl.gov/~hoschek/colt/api/cern/jet/stat/Probability.html#chiSquare(double,%20double)を参照してください。
例
例10-28は問合せqColt39を示しています。例10-29はスキーマ(c1 integer, c2 double, c3 bigint)を持つデータ・ストリームSColtFuncを示しており、この問合せは例10-30に示すリレーションを返します。
構文

目的
chiSquareComplementedは、cern.jet.stat.Probabilityに基づいています。自由度がvのカイ2乗確率密度関数(図10-6を参照)の右側の尾(xから無限大)で示す領域をdoubleとして返します。
この関数は次の引数を使用します(すべての引数は正の値であることが必要です)。
double1: 自由度v。
double2: 積分終了点x。
詳細は、http://dsd.lbl.gov/~hoschek/colt/api/cern/jet/stat/Probability.html#chiSquareComplemented(double,%20double)を参照してください。
例
例10-31は問合せqColt40を示しています。例10-32はスキーマ(c1 integer, c2 double, c3 bigint)を持つデータ・ストリームSColtFuncを示しており、この問合せは例10-33に示すリレーションを返します。
例10-31 chiSquareComplemented関数の問合せ
<query id="qColt40"><![CDATA[
select chiSquareComplemented(c2,c2) from SColtFunc
]]></query>
構文

目的
errorFunctionは、cern.jet.stat.Probabilityに基づいています。図10-7に示す積分を使用して、doubleの引数の正規分布のエラー関数をdoubleとして返します。
詳細は、http://dsd.lbl.gov/~hoschek/colt/api/cern/jet/stat/Probability.html#errorFunction(double)を参照してください。
例
例10-34は問合せqColt41を示しています。例10-35はスキーマ(c1 integer, c2 double, c3 bigint)を持つデータ・ストリームSColtFuncを示しており、この問合せは例10-36に示すリレーションを返します。
構文

目的
errorFunctionComplementedは、cern.jet.stat.Probabilityに基づいています。図10-8に示す積分を使用して、doubleの引数の正規分布の相補エラー関数をdoubleとして返します。
詳細は、http://dsd.lbl.gov/~hoschek/colt/api/cern/jet/stat/Probability.html#errorFunctionComplemented(double)を参照してください。
例
例10-37は問合せqColt42を示しています。例10-38はスキーマ(c1 integer, c2 double, c3 bigint)を持つデータ・ストリームSColtFuncを示しており、この問合せは例10-39に示すリレーションを返します。
例10-37 errorFunctionComplemented関数の問合せ
<query id="qColt42"><![CDATA[
select errorFunctionComplemented(c2) from SColtFunc
]]></query>
構文

目的
factorialは、cern.jet.math.Arithmeticに基づいています。integerの正の引数の階乗をdoubleとして返します。
詳細は、http://dsd.lbl.gov/~hoschek/colt/api/cern/jet/math/Arithmetic.html#factorial(int)を参照してください。
例
例10-40は問合せqColt8を示しています。例10-41はスキーマ(c1 integer, c2 float, c3 bigint)を持つデータ・ストリームSColtFuncを示しており、この問合せは例10-42に示すリレーションを返します。
構文

目的
floorは、cern.jet.math.Arithmeticに基づいています。doubleの引数以下の最大のlongの値を返します。
丸めエラーが発生する可能性があるため、このメソッドは(double) java.lang.Math.floor(double)を使用する場合よりも安全です。
詳細は、以下を参照してください。
例
例10-43は問合せqColt2を示しています。例10-44はスキーマ(c1 integer, c2 double, c3 bigint)を持つデータ・ストリームSColtFuncを示しており、この問合せは例10-45に示すリレーションを返します。
構文

目的
gammaは、cern.jet.stat.Gammaに基づいています。doubleの引数のガンマ関数をdoubleとして返します。
詳細は、http://dsd.lbl.gov/~hoschek/colt/api/cern/jet/stat/Gamma.html#gamma(double)を参照してください。
例
例10-46は問合せqColt29を示しています。例10-47はスキーマ(c1 integer, c2 double, c3 bigint)を持つデータ・ストリームSColtFuncを示しており、この問合せは例10-48に示すリレーションを返します。
構文

目的
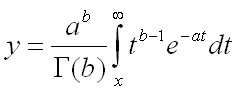
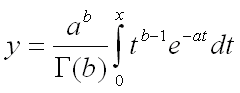
gamma1は、cern.jet.stat.Probabilityに基づいています。ガンマ確率密度関数(図10-9を参照)の積分(0からx)をdoubleとして返します。
この関数は次の引数を使用します。
double1: ガンマ分布のアルファ値a
double2: ガンマ分布のベータ値またはラムダ値b
double3: 積分終了点x
詳細は、http://dsd.lbl.gov/~hoschek/colt/api/cern/jet/stat/Probability.html#gamma(double,%20double,%20double)を参照してください。
例
例10-49は問合せqColt36を示しています。例10-50はスキーマ(c1 integer, c2 double, c3 bigint)を持つデータ・ストリームSColtFuncを示しており、この問合せは例10-51に示すリレーションを返します。
構文

目的
gammaComplementedは、cern.jet.stat.Probabilityに基づいています。ガンマ確率密度関数(図10-10を参照)の積分(xから無限大)をdoubleとして返します。
この関数は次の引数を使用します。
double1: ガンマ分布のアルファ値a
double2: ガンマ分布のベータ値またはラムダ値b
double3: 積分終了点x
詳細は、http://dsd.lbl.gov/~hoschek/colt/api/cern/jet/stat/Probability.html#gammaComplemented(double,%20double,%20double)を参照してください。
例
例10-52は問合せqColt43を示しています。例10-53はスキーマ(c1 integer, c2 double, c3 bigint)を持つデータ・ストリームSColtFuncを示しており、この問合せは例10-54に示すリレーションを返します。
例10-52 gammaComplemented関数の問合せ
<query id="qColt43"><![CDATA[
select gammaComplemented(c2,c2,c2) from SColtFunc
]]></query>
構文

目的
getSeedAtRowColumnは、cern.jet.random.engine.RandomSeedTableに基づいています。あらかじめ定義されているシードの(外見上は膨大な)マトリックスから決定論的なシードをintegerとして返します。
この関数は次の引数を使用します。
integer1: rowの値。[0,Integer.MAX_VALUE]の形式が望ましいですが、そうでなくてもかまいません。
integer2: columnの値。[0,1]の形式が望ましいですが、そうでなくてもかまいません。
詳細は、http://dsd.lbl.gov/~hoschek/colt/api/cern/jet/random/engine/RandomSeedTable.html#getSeedAtRowColumn(int,%20int)を参照してください。
例
例10-55は問合せqColt27を示しています。例10-56はスキーマ(c1 integer, c2 double, c3 bigint)を持つデータ・ストリームSColtFuncを示しており、この問合せは例10-57に示すリレーションを返します。
例10-55 getSeedAtRowColumn関数の問合せ
<query id="qColt27"><![CDATA[
select getSeedAtRowColumn(c1,c1) from SColtFunc
]]></query>
構文

目的
hashは、cern.colt.map.HashFunctionsに基づいています。指定されたdoubleの値に対してintegerのハッシュコードを返します。
詳細は、http://dsd.lbl.gov/~hoschek/colt/api/cern/colt/map/HashFunctions.html#hash(double)を参照してください。
例
例10-58は問合せqColt56を示しています。例10-59はスキーマ(c1 integer, c2 double, c3 bigint)を持つデータ・ストリームSColtFuncを示しており、この問合せは例10-60に示すリレーションを返します。
構文

目的
hash1は、cern.colt.map.HashFunctionsに基づいています。指定されたfloatの値に対してintegerのハッシュコードを返します。
詳細は、http://dsd.lbl.gov/~hoschek/colt/api/cern/colt/map/HashFunctions.html#hash(float)を参照してください。
例
例10-61は問合せqColt57を示しています。例10-62はスキーマ(c1 integer, c2 double, c3 bigint)を持つデータ・ストリームSColtFuncを示しており、この問合せは例10-63に示すリレーションを返します。
構文

目的
hash2は、cern.colt.map.HashFunctionsに基づいています。指定されたintegerの値に対してintegerのハッシュコードを返します。
詳細は、http://dsd.lbl.gov/~hoschek/colt/api/cern/colt/map/HashFunctions.html#hash(int)を参照してください。
例
例10-64は問合せqColt58を示しています。例10-65はスキーマ(c1 integer, c2 double, c3 bigint)を持つデータ・ストリームSColtFuncを示しており、この問合せは例10-66に示すリレーションを返します。
構文

目的
hash3は、cern.colt.map.HashFunctionsに基づいています。指定されたlongの値に対してintegerのハッシュコードを返します。
詳細は、http://dsd.lbl.gov/~hoschek/colt/api/cern/colt/map/HashFunctions.html#hash(long)を参照してください。
例
例10-67は問合せqColt59を示しています。例10-68はスキーマ(c1 integer, c2 double, c3 bigint)を持つデータ・ストリームSColtFuncを示しており、この問合せは例10-69に示すリレーションを返します。
構文

目的
i0は、cern.jet.math.Besselに基づいています。doubleの引数の階数0の変更済のベッセル関数をdoubleとして返します。
この関数は、i0(x) = j0(ix)と定義されます。
範囲は[0,8]と(8,infinity)の2つの区間に分けられます。
詳細は、以下を参照してください。
例
例10-70は問合せqColt12を示しています。例10-71はスキーマ(c1 integer, c2 double, c3 bigint)を持つデータ・ストリームSColtFuncを示しており、この問合せは例10-72に示すリレーションを返します。
構文

目的
i0eは、cern.jet.math.Besselに基づいています。doubleの引数の階数0の指数スケールが適用された変更済のベッセル関数をdoubleとして返します。
この関数は、i0e(x) = exp(-|x|) j0(ix)と定義されます。
詳細は、以下を参照してください。
例
例10-73は問合せqColt13を示しています。例10-74はスキーマ(c1 integer, c2 double, c3 bigint)を持つデータ・ストリームSColtFuncを示しており、この問合せは例10-75に示すリレーションを返します。
構文

目的
i1は、cern.jet.math.Besselに基づいています。doubleの引数の階数1の変更済のベッセル関数をdoubleとして返します。
この関数は、i1(x) = -i j1(ix)と定義されます。
範囲は[0,8]と(8,infinity)の2つの区間に分けられます。各区間では、チェビシェフ多項式展開が使用されます。
詳細は、以下を参照してください。
例
例10-76は問合せqColt14を示しています。例10-77はスキーマ(c1 integer, c2 double, c3 bigint)を持つデータ・ストリームSColtFuncを示しており、この問合せは例10-78に示すリレーションを返します。
構文

目的
i1eは、cern.jet.math.Besselに基づいています。doubleの引数の階数1の指数スケールが適用された変更済のベッセル関数をdoubleとして返します。
この関数は、i1(x) = -i exp(-|x|) j1(ix)と定義されます。
詳細は、以下を参照してください。
例
例10-79は問合せqColt15を示しています。例10-80はスキーマ(c1 integer, c2 double, c3 bigint)を持つデータ・ストリームSColtFuncを示しており、この問合せは例10-81に示すリレーションを返します。
構文

目的
incompleteBetaは、cern.jet.stat.Gammaに基づいています。0からxまで評価される不完全ベータ関数をdoubleとして返します。
この関数は次の引数を使用します。
double1: ベータ分布のアルファ値a
double2: ベータ分布のベータ値b
double3: 積分終了点x
詳細は、http://dsd.lbl.gov/~hoschek/colt/api/cern/jet/stat/Gamma.html#incompleteBeta(double,%20double,%20double)を参照してください。
例
例10-82は問合せqColt30を示しています。例10-83はスキーマ(c1 integer, c2 double, c3 bigint)を持つデータ・ストリームSColtFuncを示しており、この問合せは例10-84に示すリレーションを返します。
構文

目的
incompleteGammaは、cern.jet.stat.Gammaに基づいています。引数の不完全ガンマ関数をdoubleとして返します。
この関数は次の引数を使用します。
double1: ガンマ分布のアルファ値a。
double2: 積分終了点x。
詳細は、http://dsd.lbl.gov/~hoschek/colt/api/cern/jet/stat/Gamma.html#incompleteGamma(double,%20double)を参照してください。
例
例10-85は問合せqColt31を示しています。例10-86はスキーマ(c1 integer, c2 double, c3 bigint)を持つデータ・ストリームSColtFuncを示しており、この問合せは例10-87に示すリレーションを返します。
例10-85 incompleteGamma関数の問合せ
<query id="qColt31"><![CDATA[
select incompleteGamma(c2,c2) from SColtFunc
]]></query>
構文

目的
incompleteGammaComplementは、cern.jet.stat.Gammaに基づいています。引数の補足の不完全ガンマ関数をdoubleとして返します。
この関数は次の引数を使用します。
double1: ガンマ分布のアルファ値a。
double2: 積分開始点x。
詳細は、http://dsd.lbl.gov/~hoschek/colt/api/cern/jet/stat/Gamma.html#incompleteGammaComplement(double,%20double)を参照してください。
例
例10-88は問合せqColt32を示しています。例10-89はスキーマ(c1 integer, c2 double, c3 bigint)を持つデータ・ストリームSColtFuncを示しており、この問合せは例10-90に示すリレーションを返します。
例10-88 incompleteGammaComplement関数の問合せ
<query id="qColt32"><![CDATA[
select incompleteGammaComplement(c2,c2) from SColtFunc
]]></query>
構文

目的
j0は、cern.jet.math.Besselに基づいています。doubleの引数の階数0の第1種ベッセル関数をdoubleとして返します。
詳細は、http://dsd.lbl.gov/~hoschek/colt/api/cern/jet/math/Bessel.html#j0(double)を参照してください。
例
例10-91は問合せqColt16を示しています。例10-92はスキーマ(c1 integer, c2 double, c3 bigint)を持つデータ・ストリームSColtFuncを示しており、この問合せは例10-93に示すリレーションを返します。
構文

目的
j1は、cern.jet.math.Besselに基づいています。doubleの引数の階数1の第1種ベッセル関数をdoubleとして返します。
詳細は、http://dsd.lbl.gov/~hoschek/colt/api/cern/jet/math/Bessel.html#j1(double)を参照してください。
例
例10-94は問合せqColt17を示しています。例10-95はスキーマ(c1 integer, c2 double, c3 bigint)を持つデータ・ストリームSColtFuncを示しており、この問合せは例10-96に示すリレーションを返します。
構文

目的
jnは、cern.jet.math.Besselに基づいています。引数の階数nの第1種ベッセル関数をdoubleとして返します。
この関数は次の引数を使用します。
integer1: ベッセル関数の階層n。
double2: ベッセル関数を計算する値x。
詳細は、http://dsd.lbl.gov/~hoschek/colt/api/cern/jet/math/Bessel.html#jn(int,%20double)を参照してください。
例
例10-97は問合せqColt18を示しています。例10-98はスキーマ(c1 integer, c2 double, c3 bigint)を持つデータ・ストリームSColtFuncを示しており、この問合せは例10-99に示すリレーションを返します。
構文

目的
k0は、cern.jet.math.Besselに基づいています。doubleの引数の階数0の変更済の第3種ベッセル関数をdoubleとして返します。
範囲は[0,8]と(8, infinity)の2つの区間に分けられます。各区間では、チェビシェフ多項式展開が使用されます。
詳細は、http://dsd.lbl.gov/~hoschek/colt/api/cern/jet/math/Bessel.html#k0(double)を参照してください。
例
例10-100は問合せqColt19を示しています。例10-101はスキーマ(c1 integer, c2 double, c3 bigint)を持つデータ・ストリームSColtFuncを示しており、この問合せは例10-102に示すリレーションを返します。
構文

目的
k0eは、cern.jet.math.Besselに基づいていますdoubleの引数の階数0の指数スケールが適用された変更済の第3種ベッセル関数をdoubleとして返します。
詳細は、http://dsd.lbl.gov/~hoschek/colt/api/cern/jet/math/Bessel.html#k0e(double)を参照してください。
例
例10-103は問合せqColt20を示しています。例10-104はスキーマ(c1 integer, c2 double, c3 bigint)を持つデータ・ストリームSColtFuncを示しており、この問合せは例10-105に示すリレーションを返します。
構文

目的
k1は、cern.jet.math.Besselに基づいています。doubleの引数の階数1の変更済の第3種ベッセル関数をdoubleとして返します。
範囲は[0,2]と(2, infinity)の2つの区間に分けられます。各区間では、チェビシェフ多項式展開が使用されます。
詳細は、http://dsd.lbl.gov/~hoschek/colt/api/cern/jet/math/Bessel.html#k1(double)を参照してください。
例
例10-106は問合せqColt21を示しています。例10-107はスキーマ(c1 integer, c2 double, c3 bigint)を持つデータ・ストリームSColtFuncを示しており、この問合せは例10-108に示すリレーションを返します。
構文

目的
k1eは、cern.jet.math.Besselに基づいています。doubleの引数の階数1の指数スケールが適用された変更済の第3種ベッセル関数をdoubleとして返します。
この関数は、k1e(x) = exp(x) * k1(x)と定義されます。
詳細は、以下を参照してください。
例
例10-109は問合せqColt22を示しています。例10-110はスキーマ(c1 integer, c2 double, c3 bigint)を持つデータ・ストリームSColtFuncを示しており、この問合せは例10-111に示すリレーションを返します。
構文

目的
knは、cern.jet.math.Besselに基づいています。引数の階数nの変更済の第3種ベッセル関数をdoubleとして返します。
この関数は次の引数を使用します。
integer1: ベッセル関数の階層の値n。
double2: ベッセル関数を計算する値x。
範囲は[0,9.55]と(9.55, infinity)の2つの区間に分けられます。低域では昇べき級数が使用され、高域では漸近展開が使用されます。
詳細は、http://dsd.lbl.gov/~hoschek/colt/api/cern/jet/math/Bessel.html#kn(int,%20double)を参照してください。
例
例10-112は問合せqColt23を示しています。例10-113はスキーマ(c1 integer, c2 double, c3 bigint)を持つデータ・ストリームSColtFuncを示しており、この問合せは例10-114に示すリレーションを返します。
構文

目的
leastSignificantBitは、cern.colt.bitvector.QuickBitVectorに基づいています。integerの引数の状態がtrueの最下位ビットの索引を(integerとして)返します。状態がtrueのビットがない場合は、32を返します。
詳細は、以下を参照してください。
例
例10-115問合せqColt54を示しています。例10-116はスキーマ(c1 integer, c2 double, c3 bigint)を持つデータ・ストリームSColtFuncを示しており、この問合せは例10-117に示すリレーションを返します。
例10-115 leastSignificantBit関数の問合せ
<query id="qColt54"><![CDATA[
select leastSignificantBit(c1) from SColtFunc
]]></query>
構文

目的
logは、cern.jet.math.Arithmeticに基づいています。図10-1に示す計算の結果をdoubleとして返します。
この関数は次の引数を使用します。
double1: base。
double2: value。
詳細は、http://dsd.lbl.gov/~hoschek/colt/api/cern/jet/math/Arithmetic.html#log(double,%20double)を参照してください。
例
例10-118は問合せqColt3を示しています。例10-119はスキーマ(c1 integer, c2 double, c3 bigint)を持つデータ・ストリームSColtFuncを示しており、この問合せは例10-120に示すリレーションを返します。
構文

目的
log10は、cern.jet.math.Arithmeticに基づいています。doubleの値の10を底とする対数をdoubleとして返します。
詳細は、http://dsd.lbl.gov/~hoschek/colt/api/cern/jet/math/Arithmetic.html#log10(double)を参照してください。
例
例10-121は問合せqColt4を示しています。例10-122はスキーマ(c1 integer, c2 double, c3 bigint)を持つデータ・ストリームSColtFuncを示しており、この問合せは例10-123に示すリレーションを返します。
構文

目的
log2は、cern.jet.math.Arithmeticに基づいています。doubleの値の2を底とする対数をdoubleとして返します。
詳細は、http://dsd.lbl.gov/~hoschek/colt/api/cern/jet/math/Arithmetic.html#log2(double)を参照してください。
例
例10-124は問合せqColt9を示しています。例10-125はスキーマ(c1 integer, c2 double, c3 bigint)を持つデータ・ストリームSColtFuncを示しており、この問合せは例10-126に示すリレーションを返します。
構文

目的
logFactorialは、cern.jet.math.Arithmeticに基づいています。integerの引数の階乗の自然対数(底はe)をdoubleとして返します。
引数の値がk<30の場合、この関数はO(1)の表内の結果をルックアップします。引数の値がk>=30の場合、この関数はスターリングの近似を使用します。
詳細は、http://dsd.lbl.gov/~hoschek/colt/api/cern/jet/math/Arithmetic.html#logFactorial(int)を参照してください。
例
例10-127は問合せqColt10を示しています。例10-128はスキーマ(c1 integer, c2 double, c3 bigint)を持つデータ・ストリームSColtFuncを示しており、この問合せは例10-129に示すリレーションを返します。
構文

目的
logGammaは、cern.jet.stat.Gammaに基づいています。doubleの引数のガンマ関数の自然対数(底はe)をdoubleとして返します。
詳細は、http://dsd.lbl.gov/~hoschek/colt/api/cern/jet/stat/Gamma.html#logGamma(double)を参照してください。
例
例10-130は問合せqColt33を示しています。例10-131はスキーマ(c1 integer, c2 double, c3 bigint)を持つデータ・ストリームSColtFuncを示しており、この問合せは例10-132に示すリレーションを返します。
構文

目的
longFactorialは、cern.jet.math.Arithmeticに基づいています。integerの引数(範囲はk >= 0 && k < 21)の階乗をlongとして返します。
詳細は、http://dsd.lbl.gov/~hoschek/colt/api/cern/jet/math/Arithmetic.html#longFactorial(int)を参照してください。
例
例10-133は問合せqColt11を示しています。例10-134はスキーマ(c1 integer, c2 double, c3 bigint)を持つデータ・ストリームSColtFuncを示しており、この問合せは例10-135に示すリレーションを返します。
構文

目的
mostSignificantBitは、cern.colt.bitvector.QuickBitVectorに基づいています。integerの引数の状態がtrueの最上位ビットの索引を(integerとして)返します。状態がtrueのビットがない場合は、-1を返します。
詳細は、以下を参照してください。
http://dsd.lbl.gov/~hoschek/colt/api/cern/colt/bitvector/QuickBitVector.html#mostSignificantBit(int)
例
例10-136は問合せqColt55を示しています。例10-137はスキーマ(c1 integer, c2 double, c3 bigint)を持つデータ・ストリームSColtFuncを示しており、この問合せは例10-138に示すリレーションを返します。
例10-136 mostSignificantBit関数の問合せ
<query id="qColt55"><![CDATA[
select mostSignificantBit(c1) from SColtFunc
]]></view>
構文

目的
negativeBinomialは、cern.jet.stat.Probabilityに基づいています。負の二項分布の項0からkの合計(図10-12を参照)をdoubleとして返します。
この関数は次の引数を使用します。
integer1: 末項k。
integer2: 試行回数n。
double3: (0.0,1.0)で成功する確率p。
詳細は、http://dsd.lbl.gov/~hoschek/colt/api/cern/jet/stat/Probability.html#negativeBinomial(int,%20int,%20double)を参照してください。
例
例10-139は問合せqColt44を示しています。例10-140はスキーマ(c1 integer, c2 double, c3 bigint)を持つデータ・ストリームSColtFuncを示しており、この問合せは例10-141に示すリレーションを返します。
例10-139 negativeBinomial関数の問合せ
<query id="qColt44"><![CDATA[
select negativeBinomial(c1,c1,c2) from SColtFunc
]]></query>
構文

目的
negativeBinomialComplementedは、cern.jet.stat.Probabilityに基づいています。負の二項分布の項k+1から無限大までの合計(図10-13を参照)をdoubleとして返します。
この関数は次の引数を使用します。
integer1: 末項k。
integer2: 試行回数n。
double3: (0.0,1.0)で成功する確率p。
詳細は、http://dsd.lbl.gov/~hoschek/colt/api/cern/jet/stat/Probability.html#negativeBinomialComplemented(int,%20int,%20double)を参照してください。
例
例10-142は問合せqColt45を示しています。例10-143はスキーマ(c1 integer, c2 double, c3 bigint)を持つデータ・ストリームSColtFuncを示しており、この問合せは例10-144に示すリレーションを返します。
例10-142 negativeBinomialComplemented関数の問合せ
<query id="qColt45"><![CDATA[
select negativeBinomialComplemented(c1,c1,c2) from SColtFunc
]]></query>
構文

目的
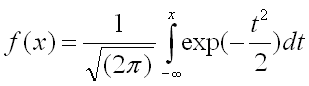
normalは、cern.jet.stat.Probabilityに基づいています。負の無限大からdoubleの引数xに積分される、正規(ガウス)確率密度関数(図10-14を参照)で示す領域をdoubleとして返します。
詳細は、http://dsd.lbl.gov/~hoschek/colt/api/cern/jet/stat/Probability.html#normal(double)を参照してください。
例
例10-145は問合せqColt46を示しています。例10-146はスキーマ(c1 integer, c2 double, c3 bigint)を持つデータ・ストリームSColtFuncを示しており、この問合せは例10-147に示すリレーションを返します。
構文

目的
normal1は、cern.jet.stat.Probabilityに基づいています。負の無限大からxに積分される、正規(ガウス)確率密度関数(図10-15を参照)で示す領域をdoubleとして返します。
この関数は次の引数を使用します。
double1: 正規分布のmean。
double2: 正規分布の分散v。
double3: 積分の限界x。
詳細は、http://dsd.lbl.gov/~hoschek/colt/api/cern/jet/stat/Probability.html#normal(double,%20double,%20double)を参照してください。
例
例10-148は問合せqColt47を示しています。例10-149はスキーマ(c1 integer, c2 double, c3 bigint)を持つデータ・ストリームSColtFuncを示しており、この問合せは例10-150に示すリレーションを返します。
構文

目的
normalInverseはcern.jet.stat.Probabilityに基づいています。負の無限大からxに積分される、正規(ガウス)確率密度関数で示す領域がdoubleの引数yに等しい場合のdoubleの値xを返します(平均が0、分散が1であることを前提としています)。
詳細は、http://dsd.lbl.gov/~hoschek/colt/api/cern/jet/stat/Probability.html#normalInverse(double)を参照してください。
例
例10-151は問合せqColt48を示しています。例10-152はスキーマ(c1 integer, c2 double, c3 bigint)を持つデータ・ストリームSColtFuncを示しており、この問合せは例10-153に示すリレーションを返します。
構文

目的
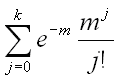
poissonは、cern.jet.stat.Probabilityに基づいています。ポアソン分布の初項kの合計(図10-16を参照)をdoubleとして返します。
この関数は次の引数を使用します。
integer1: 項数k。
double2: ポアソン分布の平均m。
詳細は、http://dsd.lbl.gov/~hoschek/colt/api/cern/jet/stat/Probability.html#poisson(int,%20double)を参照してください。
例
例10-154は問合せqColt49を示しています。例10-155はスキーマ(c1 integer, c2 double, c3 bigint)を持つデータ・ストリームSColtFuncを示しており、この問合せは例10-156に示すリレーションを返します。
構文

目的
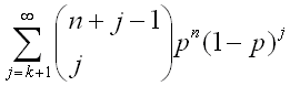
poissonComplementedは、cern.jet.stat.Probabilityに基づいています。ポアソン分布の項k+1から無限大までの合計(図10-17を参照)をdoubleとして返します。
この関数は次の引数を使用します。
integer1: 初項k。
double2: ポアソン分布の平均m。
詳細は、http://dsd.lbl.gov/~hoschek/colt/api/cern/jet/stat/Probability.html#poissonComplemented(int,%20double)を参照してください。
例
例10-157は問合せqColt50を示しています。例10-158はスキーマ(c1 integer, c2 double, c3 bigint)を持つデータ・ストリームSColtFuncを示しており、この問合せは例10-159に示すリレーションを返します。
例10-157 poissonComplemented関数の問合せ
<query id="qColt50"><![CDATA[
select poissonComplemented(c1,c2) from SColtFunc
]]></query>
構文

目的
stirlingCorrectionは、cern.jet.math.Arithmeticに基づいています。integerの引数の階乗の自然対数(底はe)のスターリングの近似の補正項(図10-18を参照)をdoubleとして返します。
詳細は、http://dsd.lbl.gov/~hoschek/colt/api/cern/jet/math/Arithmetic.html#stirlingCorrection(int)を参照してください。
例
例10-160は問合せqColt5を示しています。例10-161はスキーマ(c1 integer, c2 double, c3 bigint)を持つデータ・ストリームSColtFuncを示しており、この問合せは例10-162に示すリレーションを返します。
例10-160 stirlingCorrection関数の問合せ
<query id="qColt5"><![CDATA[
select stirlingCorrection(c1) from SColtFunc
]]></query>
構文

目的
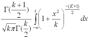
studentTは、cern.jet.stat.Probabilityに基づいています。自由度がk > 0のスチューデントのt分布の負の無限大からtへの積分(図10-19を参照)をdoubleとして返します。
この関数は次の引数を使用します。
double1: 自由度k。
double2: 積分終了点t。
詳細は、http://dsd.lbl.gov/~hoschek/colt/api/cern/jet/stat/Probability.html#studentT(double,%20double)を参照してください。
例
例10-163は問合せqColt51を示しています。例10-164はスキーマ(c1 integer, c2 double, c3 bigint)を持つデータ・ストリームSColtFuncを示しており、この問合せは例10-165に示すリレーションを返します。
構文

目的
studentTInverseはcern.jet.stat.Probabilityに基づいています。負の無限大からtに積分される、スチューデントのt確率密度関数で示す領域が1-alpha/2に等しい場合のdoubleの値tを返します。返される値は、talpha[size]の通常のスチューデントのt分布のルックアップ表に相当します。この関数では、studentt関数を使用して、繰り返し戻り値を確認します。
この関数は次の引数を使用します。
double1: 確率alpha。
integer2: データ・セット・サイズ。
詳細は、以下を参照してください。
例
例10-166は問合せqColt55を示しています。例10-167はスキーマ(c1 integer, c2 double, c3 bigint)を持つデータ・ストリームSColtFuncを示しており、この問合せは例10-168に示すリレーションを返します。
例10-166 studentTInverse関数の問合せ
<query id="qColt52"><![CDATA[
select studentTInverse(c2,c1) from SColtFunc
]]></query>
構文

目的
y0は、cern.jet.math.Besselに基づいています。doubleの引数の階数0の第2種ベッセル関数をdoubleとして返します。
詳細は、http://dsd.lbl.gov/~hoschek/colt/api/cern/jet/math/Bessel.html#y0(double)を参照してください。
例
例10-169は問合せqColt24を示しています。例10-170はスキーマ(c1 integer, c2 double, c3 bigint)を持つデータ・ストリームSColtFuncを示しており、この問合せは例10-171に示すリレーションを返します。
構文

目的
y1は、cern.jet.math.Besselに基づいています。floatの引数の階数1の第2種ベッセル関数をdoubleとして返します。
詳細は、http://dsd.lbl.gov/~hoschek/colt/api/cern/jet/math/Bessel.html#y1(double)を参照してください。
例
例10-172は問合せqColt25を示しています。例10-173はスキーマ(c1 integer, c2 double, c3 bigint)を持つデータ・ストリームSColtFuncを示しており、この問合せは例10-174に示すリレーションを返します。
構文

目的
ynは、cern.jet.math.Besselに基づいています。doubleの引数の階数nの第2種ベッセル関数をdoubleとして返します。
この関数は次の引数を使用します。
integer1: ベッセル関数の階層の値n。
double2: ベッセル関数を計算する値x。
詳細は、http://dsd.lbl.gov/~hoschek/colt/api/cern/jet/math/Bessel.html#yn(int,%20double)を参照してください。
例
例10-175は問合せqColt26を示しています。例10-176はスキーマ(c1 integer, c2 double, c3 bigint)を持つデータ・ストリームSColtFuncを示しており、この問合せは例10-177に示すリレーションを返します。