This chapter describes how Oracle Transfer Pricing translates interest rates from their initial formats into formats that can be used by the application.
This chapter covers the following topics:
Interest rates are available in a variety of formats. In Oracle Transfer Pricing, interest rates are used for multiple purposes, each requiring a specific rate format. The application must apply transformation formulas to translate the interest rates from their initial formats into formats that can be used by Oracle Transfer Pricing.
Related Topics
Interest Rate Codes, Oracle Transfer Pricing User Guide
The following characteristics define an interest rate code:
Accrual basis
Compound basis
Rate format
The accrual basis can be:
30/365
30/Actual
Actual/Actual
Actual/365
Actual/360
The compound basis can be:
Monthly
Semiannual
Annual
Simple
The rate format can be:
Zero-coupon yield
Yield-to-maturity
Discount factor
Discount factor is used only internally and cannot be specified as an input rate format in Oracle Transfer Pricing. It is well known that for bonds issued at par with payment frequency equal to the compound basis, the yield-to-maturity at origination or par yield is equal to the coupon.
There are several definitions of yield-to-maturity. Oracle Transfer Pricing does not use the unconventional true yield definition of Stigum but prefers instead the Wall Street convention.
Related Topics
A few typical instances of rate format usage in Oracle Transfer Pricing are as follows:
Related Topics
The Monte Carlo Rate Path Generation process requires annually compounded Actual/Actual zero-coupon yield as the input. If the input IRC format is anything other than zero-coupon annual yield, a conversion process is applied.
Stochastic rates output from Monte Carlo are also annually compounded Actual/Actual zero-coupon yields.
Related Topics
The Rate Index rule formulas are applied to the yields forecasted from the valuation curve in the Monte Carlo process. A formula for each additional IRC must exist in the Rate Index rule. The formulas are applied during processing when one of the additional IRCs is required for repricing individual instrument records.
Related Topics
A description of rate format usage in cash-flow based and noncash flow transfer pricing methods is given below.
The noncash flow based transfer pricing methods use historical IRC data pulled directly from the historical rates tables. For these methods, the format of the IRC used as the transfer pricing yield curve is assumed to be a yield-to-maturity.
There are three cash flow methods:
Weighted Average Term: This method calculates the cash flows over the funding period, treating the next repricing date as a maturity date. The cash flows are discounted by the current net rate. The discounted cash flow at each payment/maturity is used as the weighting factor together with a time weight for the rate from the transfer pricing yield curve. The term from the origination to the cash flow date is used as the term for lookup to the transfer pricing yield curve.
For this method, the transfer pricing yield curve is assumed to be the proper rate format. No adjustments are made to the current net rate or the transfer pricing yield curve.
Duration: This method calculates the duration by taking the cash flows over the funding period and calculating duration for the series of cash flows. The current net rate is used as the discount rate. The duration of the cash flows is used as the term for lookup to the transfer pricing yield curve.
For this method, the transfer pricing yield curve is assumed to be the proper format. No adjustments are made to the current net rate.
Zero Coupon: This method must calculate discount factors for the transfer pricing yield curve. If the transfer pricing yield curve is stored as yield-to-maturity rates, the rates must first be translated into zero coupon yields so that the discount factor can be calculated from them. If the transfer pricing yield curve is already in yield format, then discount factors can be calculated directly from the rates.
Related Topics
Accrual basis or compounding basis conversions are quite straightforward. However, rate format conversions from zero-coupon yield to yield-to-maturity and vice versa, are difficult.
The following table describes terminology used in rate conversion algorithms used by Oracle Transfer Pricing.
| Symbol | Name | Notes |
|---|---|---|
| AI(Ti) | Accrued interest for the i-th security | |
| C(Ti) | Coupon value of the i-th security | This is the true dollar value of the cash flow (not annualized) |
| m | Compounding frequency (per year) | Possible values are:
|
| ni | Number of full compounding periods from Calendar Period End Date up to term Ti | |
| P(T) | Discount factor with term Ti | Value of a zero-coupon bond Ti and par = $1 |
| r | Total number of securities | |
| Ti | Term in Act/Act years of the i-th security | Sorted in ascending order |
| L(i,k) | Time in Act/Act years of the start of the k-th (k=0... ni) compounding period for security i | |
| wi | Residual number of compounding periods between the current date and the next compounding date for i-th security | |
| yTM(Ti) | Yield-to-maturity of the i-th security | |
| yzc(Ti) | Zero-coupon yield of the i-th security |
The yield curve is composed of r par bonds with different terms. Par value is equal to $1.
The zero-coupon yield is the vector of r values yzc(Ti) that solves the following equations:
If compounding is simple,Equation A.
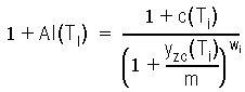
If compounding is otherwise,Equation B.


The yield-to maturity for the i-th security is the value yTM(Ti) that solves the following equations:
If compounding is simple,Equation C.
If compounding is otherwise,Equation D.


Related Topics
The system first calculates the values c(Ti) and AI(Ti) based on the following equations:
Then the system bootstraps the yield curve using the BFGS algorithm to solve the following equations:
Related Topics
The system first calculates the values c(Ti) and AI(Ti) based on the following equations:
Then, the system solves these equations following the Newton-Raphson algorithm.
Related Topics