| Oracle® Fusion Middleware Oracle Event Processing Oracle CQL言語リファレンス 12c リリース(12.1.3) E57533-04 |
|
![]() 前へ |
![]() 次へ |
この章では、Oracle Continuous Query Language (Oracle CQL)に含まれるColt単一行関数のリファレンスを提供します。Colt単一行関数は、高性能な科学技術計算のためのColtオープン・ソース・ライブラリに基づいています。
詳細は、「関数」を参照してください。
この章の内容は次のとおりです。
表10-1は、Oracle CQLに用意されている組込みの単一行Colt関数を示しています。
|
表10-1 Oracle CQLの組込みの単一行Coltベースの関数
|
注意:
組込み関数名では大文字と小文字が区別されるため、表示されている方(小文字)を使用してください。
注意:
ストリーム入力の例で、hで始まる行(h 3800など)はハートビート入力タプルです。これは、ハートビート値よりも小さいタイムスタンプを持つこれ以上の入力がないことをOracle Event Processingに通知します。
詳細は、次を参照してください。
構文

目的
betaは、cern.jet.stat.Gammaに基づいています。入力引数のベータ関数(図10-1を参照)をdoubleとして返します。
図10-1 cern.jet.stat.Gamma beta

この関数は、次の引数をとります。
double1: xの値。
double2: yの値。
詳細は、https://dst.lbl.gov/ACSSoftware/colt/api/cern/jet/random/Beta.html#Beta(double, double, cern.jet.random.engine.RandomEngine)を参照してください。
例
問合せqColt28について考えてみます。スキーマ(c1 integer, c2 double, c3 bigint)を持つデータ・ストリームSColtFuncの場合、この問合せはリレーションを返します。
<query id="qColt28"><![CDATA[ select beta(c2,c2) from SColtFunc ]]></query>
Timestamp Tuple 10 1,0.5,8 1000 4,0.7,6 1200 3,0.89,12 2000 8,0.4,4
Timestamp Tuple Kind Tuple 10: + 3.1415927 1000: + 1.899038 1200: + 1.251922 2000: + 4.226169
構文

目的
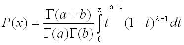
beta1は、cern.jet.stat.Probabilityに基づいています。ベータ密度関数(図10-2を参照)で示す領域P(x)(0からx)をdoubleとして返します。
図10-2 cern.jet.stat.Probability beta1

この関数は、次の引数をとります。
double1: ベータ分布のアルファ・パラメータa。
double2: ベータ分布のベータ・パラメータb。
double3: 積分終了点x。
詳細は、https://dst.lbl.gov/ACSSoftware/colt/api/cern/jet/random/Beta.html#Beta(double, double, cern.jet.random.engine.RandomEngine)を参照してください。
例
問合せqColt35について考えてみます。スキーマ(c1 integer, c2 double, c3 bigint)を持つデータ・ストリームSColtFuncの場合、この問合せはリレーションを返します。
<query id="qColt35"><![CDATA[ select beta1(c2,c2,c2) from SColtFunc ]]></query>
Timestamp Tuple 10 1,0.5,8 1000 4,0.7,6 1200 3,0.89,12 2000 8,0.4,4
Timestamp Tuple Kind Tuple 10: + 0.5 1000: + 0.66235894 1200: + 0.873397 2000: + 0.44519535
構文

目的
betaComplementedは、cern.jet.stat.Probabilityに基づいています。ベータ密度関数(図10-2を参照)の右側の尾(xから無限大)で示す領域をdoubleとして返します。
この関数は、次の引数をとります。
double1: ベータ分布のアルファ・パラメータa。
double2: ベータ分布のベータ・パラメータb。
double3: 積分終了点x。
詳細は、次を参照してください。
例
問合せqColt37について考えてみます。スキーマ(c1 integer, c2 double, c3 bigint)を持つデータ・ストリームSColtFuncの場合、この問合せはリレーションを返します。
<query id="qColt37"><![CDATA[ select betaComplemented(c2,c2,c2) from SColtFunc ]]></query>
Timestamp Tuple 10 1,0.5,8 1000 4,0.7,6 1200 3,0.89,12 2000 8,0.4,4
Timestamp Tuple Kind Tuple 10: + 0.5 1000: + 0.66235894 1200: + 0.873397 2000: + 0.44519535
構文

目的
binomialは、cern.jet.math.Arithmeticに基づいています。kを超える二項係数n(図10-3を参照)をdoubleとして返します。
図10-3 二項係数の定義

この関数は、次の引数をとります。
double1: nの値。
long2: kの値。
表10-2は、様々なkの値に対応するbinomial関数の戻り値を示しています。
表10-2 cern.jet.math.Arithmetic binomialの戻り値
| 引数 | 戻り値 |
|---|---|
|
0 |
|
1 |
|
|
上記以外の |
図10-3で計算される二項係数。 |
詳細は、https://dst.lbl.gov/ACSSoftware/colt/api/cern/jet/math/Arithmetic.html#binomial(double, long)を参照してください。
例
問合せqColt6について考えてみます。スキーマ(c1 integer, c2 double, c3 long)を持つデータ・ストリームSColtFuncの場合、この問合せはリレーションを返します。
<query id="qColt6"><![CDATA[ select binomial(c2,c3) from SColtFunc ]]></query>
Timestamp Tuple 10 1,0.5,8 1000 4,0.7,6 1200 3,0.89,12 2000 8,0.4,4
Timestamp Tuple Kind Tuple 10: + -0.013092041 1000: + -0.012374863 1200: + -0.0010145549 2000: + -0.0416
構文

目的
binomial1は、cern.jet.math.Arithmeticに基づいています。kを超える二項係数n(図10-3を参照)をdoubleとして返します。
この関数は、次の引数をとります。
long1: nの値。
long2: kの値。
表10-3は、様々なkの値に対応するBINOMIAL関数の戻り値を示しています。
表10-3 cern.jet.math.Arithmetic Binomial1の戻り値
| 引数 | 戻り値 |
|---|---|
|
0 |
|
1 |
|
|
上記以外の |
図10-3で計算される二項係数。 |
例
問合せqColt7について考えてみます。スキーマ(c1 integer, c2 float, c3 long)を持つデータ・ストリームSColtFuncの場合、この問合せはリレーションを返します。
<query id="qColt7"><![CDATA[ select binomial1(c3,c3) from SColtFunc ]]></query>
Timestamp Tuple 10 1,0.5,8 1000 4,0.7,6 1200 3,0.89,12 2000 8,0.4,4
Timestamp Tuple Kind Tuple 10: + 1.0 1000: + 1.0 1200: + 1.0 2000: + 1.0
構文

目的
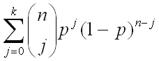
binomial2は、cern.jet.stat.Probabilityに基づいています。二項確率密度(図10-4を参照)の項0からkの合計をdoubleとして返します。
図10-4 cern.jet.stat.Probability binomial2

この関数は次の引数を使用します(すべての引数は正の値であることが必要です)。
integer1: 末項k。
integer2: 試行回数n。
double3: (0.0, 1.0).で成功する確率p。
詳細は、https://dst.lbl.gov/ACSSoftware/colt/api/cern/jet/stat/Probability.html#binomial(int, int, double)を参照してください。
例
問合せqColt34について考えてみます。スキーマ(c1 integer, c2 double, c3 bigint)を持つデータ・ストリームSColtFuncの場合、この問合せはリレーションを返します。
<query id="qColt34"><![CDATA[ select binomial2(c1,c1,c2) from SColtFunc ]]></query>
Timestamp Tuple 10 1,0.5,8 1000 4,0.7,6 1200 3,0.89,12 2000 8,0.4,4
Timestamp Tuple Kind Tuple 10: + 1.0 1000: + 1.0 1200: + 1.0 2000: + 1.0
構文

目的
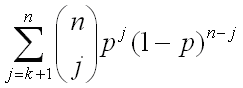
binomialComplementedは、cern.jet.stat.Probabilityに基づいています。二項確率密度(図10-5を参照)の項k+1からnの合計をdoubleとして返します。
図10-5 cern.jet.stat.Probability binomialComplemented

この関数は次の引数を使用します(すべての引数は正の値であることが必要です)。
integer1: 末項k。
integer2: 試行回数n。
double3: (0.0, 1.0).で成功する確率p。
詳細は、https://dst.lbl.gov/ACSSoftware/colt/api/cern/jet/stat/Probability.html#binomialComplemented(int, int, double)を参照してください。
例
問合せqColt38について考えてみます。スキーマ(integer, c2 double, c3 bigint)を持つデータ・ストリームSColtFuncの場合、この問合せはリレーションを返します。
<query id="qColt38"><![CDATA[ select binomialComplemented(c1,c1,c2) from SColtFunc ]]></query>
Timestamp Tuple 10 1,0.5,8 1000 4,0.7,6 1200 3,0.89,12 2000 8,0.4,4
Timestamp Tuple Kind Tuple 10: + 0.0 1000: + 0.0 1200: + 0.0 2000: + 0.0
構文

目的
bitMaskWithBitsSetFromToは、cern.colt.bitvector.QuickBitVectorに基づいています。64ビット幅のビット・マスクを、指定の範囲のビットが1に設定され、その他のすべてのビットが0に設定されたlongとして返します。
この関数は、次の引数をとります。
integer1: fromの値。開始ビット(を含む)の索引です。
integer2: toの値。終了ビット(を含む)の索引です。
必要条件(チェックなし): to - from + 1 >= 0 && to - from + 1 <= 64。
to - from + 1 = 0の場合は、すべてのビットが0に設定されたビット・マスクを返します。
詳細は、次を参照してください。
例
問合せqColt53について考えてみます。スキーマ(c1 integer, c2 float, c3 bigint)を持つデータ・ストリームSColtFuncの場合、この問合せはリレーションを返します。
query id="qColt53"><![CDATA[ select bitMaskWithBitsSetFromTo(c1,c1) from SColtFunc ]]></query>
Timestamp Tuple 10 1,0.5,8 1000 4,0.7,6 1200 3,0.89,12 2000 8,0.4,4
Timestamp Tuple Kind Tuple 10: + 2 1000: + 16 1200: + 8 2000: + 256
構文

目的
ceilは、cern.jet.math.Arithmeticに基づいています。doubleの引数以上の最小のlongを返します。
丸めエラーが発生する可能性があるため、このメソッドは(float) java.lang.Math.ceil(long)を使用する場合よりも安全です。
詳細は、次を参照してください。
例
問合せqColt1について考えてみます。スキーマ(c1 integer, c2 double, c3 bigint)を持つデータ・ストリームSColtFuncの場合、この問合せはリレーションを返します。
<query id="qColt1"><![CDATA[ select ceil(c2) from SColtFunc ]]></query>
Timestamp Tuple 10 1,0.5,8 1000 4,0.7,6 1200 3,0.89,12 2000 8,0.4,4
Timestamp Tuple Kind Tuple 10: + 1 1000: + 1 1200: + 1 2000: + 1
構文

目的
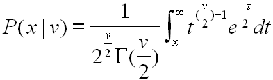
chiSquareは、cern.jet.stat.Probabilityに基づいています。自由度がvのカイ2乗確率密度関数(図10-6を参照)の左側の尾(0からx)で示す領域をdoubleとして返します。
図10-6 cern.jet.stat.Probability chiSquare

この関数は次の引数を使用します(すべての引数は正の値であることが必要です)。
double1: 自由度v。
double2: 積分終了点x。
詳細は、https://dst.lbl.gov/ACSSoftware/colt/api/cern/jet/stat/Probability.html#chiSquare(double, double)を参照してください。
例
問合せqColt39について考えてみます。スキーマ(c1 integer, c2 double, c3 bigint)を持つデータ・ストリームSColtFuncの場合、この問合せはリレーションを返します。
<query id="qColt39"><![CDATA[ select chiSquare(c2,c2) from SColtFunc ]]></query>
Timestamp Tuple 10 1,0.5,8 1000 4,0.7,6 1200 3,0.89,12 2000 8,0.4,4
Timestamp Tuple Kind Tuple 10: + 0.0 1000: + 0.0 1200: + 0.0 2000: + 0.0
構文

目的
chiSquareComplementedは、cern.jet.stat.Probabilityに基づいています。自由度がvのカイ2乗確率密度関数(図10-6を参照)の右側の尾(xから無限大)で示す領域をdoubleとして返します。
この関数は次の引数を使用します(すべての引数は正の値であることが必要です)。
double1: 自由度v。
double2: 積分終了点x。
詳細は、https://dst.lbl.gov/ACSSoftware/colt/api/cern/jet/stat/Probability.html#chiSquareComplemented(double, double)を参照してください。
例
問合せqColt40について考えてみます。スキーマ(c1 integer, c2 double, c3 bigint)を持つデータ・ストリームSColtFuncの場合、この問合せはリレーションを返します。
<query id="qColt40"><![CDATA[ select chiSquareComplemented(c2,c2) from SColtFunc ]]></query>
Timestamp Tuple 10 1,0.5,8 1000 4,0.7,6 1200 3,0.89,12 2000 8,0.4,4
Timestamp Tuple Kind Tuple 10: + 0.0 1000: + 0.0 1200: + 0.0 2000: + 0.0
構文

目的
errorFunctionは、cern.jet.stat.Probabilityに基づいています。図10-7に示す積分を使用して、doubleの引数の正規分布のエラー関数をdoubleとして返します。
図10-7 cern.jet.stat.Probability errorFunction

詳細は、https://dst.lbl.gov/ACSSoftware/colt/api/cern/jet/stat/Probability.html#errorFunction(double)を参照してください。
例
問合せqColt41について考えてみます。スキーマ(c1 integer, c2 double, c3 bigint)を持つデータ・ストリームSColtFuncの場合、この問合せはリレーションを返します。
<query id="qColt41"><![CDATA[ select errorFunction(c2) from SColtFunc ]]></query>
Timestamp Tuple 10 1,0.5,8 1000 4,0.7,6 1200 3,0.89,12 2000 8,0.4,4
Timestamp Tuple Kind Tuple 10: + 0.5204999 1000: + 0.6778012 1200: + 0.79184324 2000: + 0.42839235
構文

目的
errorFunctionComplementedは、cern.jet.stat.Probabilityに基づいています。図10-8に示す積分を使用して、doubleの引数の正規分布の相補エラー関数をdoubleとして返します。
図10-8 cern.jet.stat.Probability errorfunctioncompelemented

詳細は、https://dst.lbl.gov/ACSSoftware/colt/api/cern/jet/stat/Probability.html#errorFunctionComplemented(double)を参照してください。
例
問合せqColt42について考えてみます。スキーマ(c1 integer, c2 double, c3 bigint)を持つデータ・ストリームSColtFuncの場合、この問合せはリレーションを返します。
<query id="qColt42"><![CDATA[ select errorFunctionComplemented(c2) from SColtFunc ]]></query>
Timestamp Tuple 10 1,0.5,8 1000 4,0.7,6 1200 3,0.89,12 2000 8,0.4,4
Timestamp Tuple Kind Tuple 10: + 0.47950011 1000: + 0.3221988 1200: + 0.20815676 2000: + 0.57160765
構文

目的
factorialは、cern.jet.math.Arithmeticに基づいています。integerの正の引数の階乗をdoubleとして返します。
詳細は、https://dst.lbl.gov/ACSSoftware/colt/api/cern/jet/math/Arithmetic.html#factorial(int)を参照してください。
例
問合せqColt8について考えてみます。スキーマ(c1 integer, c2 float, c3 bigint)を持つデータ・ストリームSColtFuncの場合、この問合せはリレーションを返します。
<query id="qColt8"><![CDATA[ select factorial(c1) from SColtFunc ]]></query>
Timestamp Tuple 10 1,0.5,8 1000 4,0.7,6 1200 3,0.89,12 2000 8,0.4,4
Timestamp Tuple Kind Tuple 10: + 1.0 1000: + 24.0 1200: + 6.0 2000: + 40320.0
構文

目的
floorは、cern.jet.math.Arithmeticに基づいています。doubleの引数以下の最大のlongの値を返します。
丸めエラーが発生する可能性があるため、このメソッドは(double) java.lang.Math.floor(double)を使用する場合よりも安全です。
詳細は、次を参照してください。
例
問合せqColt2について考えてみます。スキーマ(c1 integer, c2 double, c3 bigint)を持つデータ・ストリームSColtFuncの場合、この問合せはリレーションを返します。
<query id="qColt2"><![CDATA[ select floor(c2) from SColtFunc ]]></query>
Timestamp Tuple 10 1,0.5,8 1000 4,0.7,6 1200 3,0.89,12 2000 8,0.4,4
Timestamp Tuple Kind Tuple 10: + 0 1000: + 0 1200: + 0 2000: + 0
構文

目的
gammaは、cern.jet.stat.Gammaに基づいています。doubleの引数のガンマ関数をdoubleとして返します。
詳細は、https://dst.lbl.gov/ACSSoftware/colt/api/cern/jet/stat/Probability.html#gamma(double, double, double)を参照してください。
例
問合せqColt29について考えてみます。スキーマ(c1 integer, c2 double, c3 bigint)を持つデータ・ストリームSColtFuncの場合、この問合せはリレーションを返します。
<query id="qColt29"><![CDATA[ select gamma(c2) from SColtFunc ]]></query>
Timestamp Tuple 10 1,0.5,8 1000 4,0.7,6 1200 3,0.89,12 2000 8,0.4,4
Timestamp Tuple Kind Tuple 10: + 1.7724539 1000: + 1.2980554 1200: + 1.0768307 2000: + 2.2181594
構文

目的
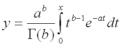
gamma1は、cern.jet.stat.Probabilityに基づいています。ガンマ確率密度関数(図10-9を参照)の積分(0からx)をdoubleとして返します。
図10-9 cern.jet.stat.Probability gamma1

この関数は、次の引数をとります。
double1: ガンマ分布のアルファ値a
double2: ガンマ分布のベータ値またはラムダ値b
double3: 積分終了点x。
詳細は、https://dst.lbl.gov/ACSSoftware/colt/api/cern/jet/random/Gamma.html#Gamma(double, double, cern.jet.random.engine.RandomEngine)を参照してください。
例
問合せqColt36について考えてみます。スキーマ(c1 integer, c2 double, c3 bigint)を持つデータ・ストリームSColtFuncの場合、この問合せはリレーションを返します。
<query id="qColt36"><![CDATA[ select gamma1(c2,c2,c2) from SColtFunc ]]></query>
Timestamp Tuple 10 1,0.5,8 1000 4,0.7,6 1200 3,0.89,12 2000 8,0.4,4
Timestamp Tuple Kind Tuple 10: + 0.5204999 1000: + 0.55171627 1200: + 0.59975785 2000: + 0.51785487
構文

目的
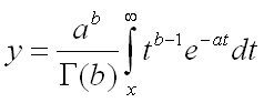
gammaComplementedは、cern.jet.stat.Probabilityに基づいています。ガンマ確率密度関数(図10-10を参照)の積分(xから無限大)をdoubleとして返します。
図10-10 cern.jet.stat.Probability gammaComplemented

この関数は、次の引数をとります。
double1: ガンマ分布のアルファ値a
double2: ガンマ分布のベータ値またはラムダ値b
double3: 積分終了点x。
詳細は、https://dst.lbl.gov/ACSSoftware/colt/api/cern/jet/stat/Probability.html#gammaComplemented(double, double, double)を参照してください。
例
問合せqColt43について考えてみます。スキーマ(c1 integer, c2 double, c3 bigint)を持つデータ・ストリームSColtFuncの場合、この問合せはリレーションを返します。
<query id="qColt43"><![CDATA[ select gammaComplemented(c2,c2,c2) from SColtFunc ]]></query>
Timestamp Tuple 10 1,0.5,8 1000 4,0.7,6 1200 3,0.89,12 2000 8,0.4,4
Timestamp Tuple Kind Tuple 10: + 0.47950011 1000: + 0.44828376 1200: + 0.40024218 2000: + 0.48214513
構文

目的
getSeedAtRowColumnは、cern.jet.random.engine.RandomSeedTableに基づいています。あらかじめ定義されているシードの(外見上は膨大な)マトリックスから決定論的なシードをintegerとして返します。
この関数は、次の引数をとります。
integer1: rowの値。[0,Integer.MAX_VALUE]の形式が望ましいですが、そうでなくてもかまいません。
integer2: columnの値。[0,1]の形式が望ましいですが、そうでなくてもかまいません。
詳細は、https://dst.lbl.gov/ACSSoftware/colt/api/cern/jet/random/engine/RandomSeedTable.html#getSeedAtRowColumn(int, int)を参照してください。
例
問合せqColt27について考えてみます。スキーマ(c1 integer, c2 double, c3 bigint)を持つデータ・ストリームSColtFuncの場合、この問合せはリレーションを返します。
<query id="qColt27"><![CDATA[ select getSeedAtRowColumn(c1,c1) from SColtFunc ]]></query>
Tmestamp Tuple 10 1,0.5,8 1000 4,0.7,6 1200 3,0.89,12 2000 8,0.4,4
Timestamp Tuple Kind Tuple 10: + 253987020 1000: + 1289741558 1200: + 417696270 2000: + 350557787
構文

目的
hashは、cern.colt.map.HashFunctionsに基づいています。指定されたdoubleの値に対してintegerのハッシュコードを返します。
詳細は、https://dst.lbl.gov/ACSSoftware/colt/api/cern/colt/map/HashFunctions.html#hash(double)を参照してください。
例
問合せqColt56について考えてみます。スキーマ(c1 integer, c2 double, c3 bigint)を持つデータ・ストリームSColtFuncの場合、この問合せはリレーションを返します。
<query id="qColt56"><![CDATA[ select hash(c2) from SColtFunc ]]></query>
Timestamp Tuple 10 1,0.5,8 1000 4,0.7,6 1200 3,0.89,12 2000 8,0.4,4
Timestamp Tuple Kind Tuple 10: + 1071644672 1000: + 1608935014 1200: + 2146204385 2000: + -1613129319
構文

目的
hash1は、cern.colt.map.HashFunctionsに基づいています。指定されたfloatの値に対してintegerのハッシュコードを返します。
詳細は、https://dst.lbl.gov/ACSSoftware/colt/api/cern/colt/map/HashFunctions.html#hash(float)を参照してください。
例
問合せqColt57について考えてみます。スキーマ(c1 integer, c2 double, c3 bigint)を持つデータ・ストリームSColtFuncの場合、この問合せはリレーションを返します。
<query id="qColt57"><![CDATA[ select hash1(c2) from SColtFunc ]]></query>
Timestamp Tuple 10 1,0.5,8 1000 4,0.7,6 1200 3,0.89,12 2000 8,0.4,4
Timestamp Tuple Kind Tuple 10: + 1302214522 1000: + 1306362078 1200: + 1309462552 2000: + 1300047248
構文

目的
hash2は、cern.colt.map.HashFunctionsに基づいています。指定されたintegerの値に対してintegerのハッシュコードを返します。
詳細は、https://dst.lbl.gov/ACSSoftware/colt/api/cern/colt/map/HashFunctions.html#hash(int)を参照してください。
例
問合せqColt58について考えてみます。スキーマ(c1 integer, c2 double, c3 bigint)を持つデータ・ストリームSColtFuncの場合、この問合せはリレーションを返します。
<query id="qColt58"><![CDATA[ select hash2(c1) from SColtFunc ]]></query>
Timestamp Tuple 10 1,0.5,8 1000 4,0.7,6 1200 3,0.89,12 2000 8,0.4,4
Timestamp Tuple Kind Tuple 10: + 1 1000: + 4 1200: + 3 2000: + 8
構文

目的
hash3は、cern.colt.map.HashFunctionsに基づいています。指定されたlongの値に対してintegerのハッシュコードを返します。
詳細は、https://dst.lbl.gov/ACSSoftware/colt/api/cern/colt/map/HashFunctions.html#hash(long)を参照してください。
例
問合せqColt59について考えてみます。スキーマ(c1 integer, c2 double, c3 bigint)を持つデータ・ストリームSColtFuncの場合、この問合せはリレーションを返します。
<query id="qColt59"><![CDATA[ select hash3(c3) from SColtFunc ]]></query>
Timestamp Tuple 10 1,0.5,8 1000 4,0.7,6 1200 3,0.89,12 2000 8,0.4,4
Timestamp Tuple Kind Tuple 10: + 8 1000: + 6 1200: + 12 2000: + 4
構文

目的
i0は、cern.jet.math.Besselに基づいています。doubleの引数の階数0の変更済のベッセル関数をdoubleとして返します。
この関数は、i0(x) = j0(ix)と定義されます。
範囲は[0,8]と(8,infinity)の2つの区間に分けられます。
詳細は、次を参照してください。
例
問合せqColt12について考えてみます。スキーマ(c1 integer, c2 double, c3 bigint)を持つデータ・ストリームSColtFuncの場合、この問合せはリレーションを返します。
<query id="qColt12"><![CDATA[ select i0(c2) from SColtFunc ]]></query>
Timestamp Tuple 10 1,0.5,8 1000 4,0.7,6 1200 3,0.89,12 2000 8,0.4,4
Timestamp Tuple Kind Tuple 10: + 1.0634834 1000: + 1.126303 1200: + 1.2080469 2000: + 1.0404018
構文

目的
i0eは、cern.jet.math.Besselに基づいています。doubleの引数の階数0の指数スケールが適用された変更済のベッセル関数をdoubleとして返します。
この関数は、i0e(x) = exp(-|x|) j0(ix)と定義されます。
詳細は、次を参照してください。
例
問合せqColt13について考えてみます。スキーマ(c1 integer, c2 double, c3 bigint)を持つデータ・ストリームSColtFuncの場合、この問合せはリレーションを返します。
<query id="qColt13"><![CDATA[ select i0e(c2) from SColtFunc ]]></query>
Timestamp Tuple 10 1,0.5,8 1000 4,0.7,6 1200 3,0.89,12 2000 8,0.4,4
Timestamp Tuple Kind Tuple 10: + 0.64503527 1000: + 0.55930555 1200: + 0.4960914 2000: + 0.6974022
構文

目的
i1は、cern.jet.math.Besselに基づいています。doubleの引数の階数1の変更済のベッセル関数をdoubleとして返します。
この関数は、i1(x) = -i j1(ix)と定義されます。
範囲は[0,8]と(8,infinity)の2つの区間に分けられます。各区間では、チェビシェフ多項式展開が使用されます。
詳細は、次を参照してください。
例
問合せqColt14について考えてみます。スキーマ(c1 integer, c2 double, c3 bigint)を持つデータ・ストリームSColtFuncの場合、この問合せはリレーションを返します。
<query id="qColt14"><![CDATA[ select i1(c2) from SColtFunc ]]></query>
Timestamp Tuple 10 1,0.5,8 1000 4,0.7,6 1200 3,0.89,12 2000 8,0.4,4
Timestamp Tuple Kind Tuple 10: + 0.2578943 1000: + 0.37187967 1200: + 0.49053898 2000: + 0.20402676
構文

目的
i1eは、cern.jet.math.Besselに基づいています。doubleの引数の階数1の指数スケールが適用された変更済のベッセル関数をdoubleとして返します。
この関数は、i1(x) = -i exp(-|x|) j1(ix)と定義されます。
詳細は、次の章を参照してください。
例
問合せqColt15について考えてみます。スキーマ(c1 integer, c2 double, c3 bigint)を持つデータ・ストリームSColtFuncの場合、この問合せはリレーションを返します。
<query id="qColt15"><![CDATA[ select i1e(c2) from SColtFunc ]]></query>
Timestamp Tuple 10 1,0.5,8 1000 4,0.7,6 1200 3,0.89,12 2000 8,0.4,4
Timestamp Tuple Kind Tuple 10: + 0.1564208 1000: + 0.18466999 1200: + 0.20144266 2000: + 0.13676323
構文

目的
incompleteBetaは、cern.jet.stat.Gammaに基づいています。0からxまで評価される不完全ベータ関数をdoubleとして返します。
この関数は、次の引数をとります。
double1: ベータ分布のアルファ値a
double2: ベータ分布のベータ値b
double3: 積分終了点x。
詳細は、https://dst.lbl.gov/ACSSoftware/colt/api/cern/jet/stat/Gamma.html#incompleteBeta(double, double, double)を参照してください。
例
問合せqColt30について考えてみます。スキーマ(c1 integer, c2 double, c3 bigint)を持つデータ・ストリームSColtFuncの場合、この問合せはリレーションを返します。
<query id="qColt30"><![CDATA[ select incompleteBeta(c2,c2,c2) from SColtFunc ]]></query>
Timestamp Tuple 10 1,0.5,8 1000 4,0.7,6 1200 3,0.89,12 2000 8,0.4,4
Timestamp Tuple Kind Tuple 10: + 0.5 1000: + 0.66235894 1200: + 0.873397 2000: + 0.44519535
構文

目的
incompleteGammaは、cern.jet.stat.Gammaに基づいています。引数の不完全ガンマ関数をdoubleとして返します。
この関数は、次の引数をとります。
double1: ガンマ分布のアルファ値a。
double2: 積分終了点x。
詳細は、https://dst.lbl.gov/ACSSoftware/colt/api/cern/jet/stat/Gamma.html#incompleteGamma(double, double)を参照してください。
例
問合せqColt31について考えてみます。スキーマ(c1 integer, c2 double, c3 bigint)を持つデータ・ストリームSColtFuncの場合、この問合せはリレーションを返します。
<query id="qColt31"><![CDATA[ select incompleteGamma(c2,c2) from SColtFunc ]]></query>
Timestamp Tuple 10 1,0.5,8 1000 4,0.7,6 1200 3,0.89,12 2000 8,0.4,4
Timestamp Tuple Kind Tuple 10: + 0.6826895 1000: + 0.6565891 1200: + 0.6397422 2000: + 0.7014413
構文

目的
incompleteGammaComplementは、cern.jet.stat.Gammaに基づいています。引数の補足の不完全ガンマ関数をdoubleとして返します。
この関数は、次の引数をとります。
double1: ガンマ分布のアルファ値a。
double2: 積分開始点x。
詳細は、https://dst.lbl.gov/ACSSoftware/colt/api/cern/jet/stat/Gamma.html#incompleteGammaComplement(double, double)を参照してください。
例
問合せqColt32について考えてみます。スキーマ(c1 integer, c2 double, c3 bigint)を持つデータ・ストリームSColtFuncの場合、この問合せはリレーションを返します。
<query id="qColt32"><![CDATA[ select incompleteGammaComplement(c2,c2) from SColtFunc ]]></query>
Timestamp Tuple 10 1,0.5,8 1000 4,0.7,6 1200 3,0.89,12 2000 8,0.4,4
Timestamp Tuple Kind Tuple 10: + 0.3173105 1000: + 0.34341094 1200: + 0.3602578 2000: + 0.29855874
構文

目的
j0は、cern.jet.math.Besselに基づいています。doubleの引数の階数0の第1種ベッセル関数をdoubleとして返します。
詳細は、https://dst.lbl.gov/ACSSoftware/colt/api/cern/jet/math/Bessel.html#j0(double)を参照してください。
例
問合せqColt16について考えてみます。スキーマ(c1 integer, c2 double, c3 bigint)を持つデータ・ストリームSColtFuncの場合、この問合せはリレーションを返します。
<query id="qColt16"><![CDATA[ select j0(c2) from SColtFunc ]]></query>
Timestamp Tuple 10 1,0.5,8 1000 4,0.7,6 1200 3,0.89,12 2000 8,0.4,4
Timestamp Tuple Kind Tuple 10: + 0.9384698 1000: + 0.8812009 1200: + 0.8115654 2000: + 0.9603982
構文

目的
j1は、cern.jet.math.Besselに基づいています。doubleの引数の階数1の第1種ベッセル関数をdoubleとして返します。
詳細は、https://dst.lbl.gov/ACSSoftware/colt/api/cern/jet/math/Bessel.html#j1(double)を参照してください。
例
問合せqColt17について考えてみます。スキーマ(c1 integer, c2 double, c3 bigint)を持つデータ・ストリームSColtFuncの場合、この問合せはリレーションを返します。
<query id="qColt17"><![CDATA[ select j1(c2) from SColtFunc ]]></query>
Timestamp Tuple 10 1,0.5,8 1000 4,0.7,6 1200 3,0.89,12 2000 8,0.4,4
Timestamp Tuple Kind Tuple 10: + 0.24226846 1000: + 0.32899573 1200: + 0.40236986 2000: + 0.19602658
構文

目的
jnは、cern.jet.math.Besselに基づいています。引数の階数nの第1種ベッセル関数をdoubleとして返します。
この関数は、次の引数をとります。
integer1: ベッセル関数の階層n。
double2: ベッセル関数を計算する値x。
詳細は、https://dst.lbl.gov/ACSSoftware/colt/api/cern/jet/math/Bessel.html#jn(int, double)を参照してください。
例
問合せqColt18について考えてみます。スキーマ(c1 integer, c2 double, c3 bigint)を持つデータ・ストリームSColtFuncの場合、この問合せはリレーションを返します。
<query id="qColt18"><![CDATA[ select jn(c1,c2) from SColtFunc ]]></query>
Timestamp Tuple 10 1,0.5,8 1000 4,0.7,6 1200 3,0.89,12 2000 8,0.4,4
Timestamp Tuple Kind Tuple 10: + 0.24226846 1000: + 6.1009696E-4 1200: + 0.0139740035 2000: + 6.321045E-11
構文

目的
k0は、cern.jet.math.Besselに基づいています。doubleの引数の階数0の変更済の第3種ベッセル関数をdoubleとして返します。
範囲は[0,8]と(8, infinity)の2つの区間に分けられます。各区間では、チェビシェフ多項式展開が使用されます。
詳細は、https://dst.lbl.gov/ACSSoftware/colt/api/cern/jet/math/Bessel.html#k0(double)を参照してください。
例
問合せqColt19について考えてみます。スキーマ(c1 integer, c2 double, c3 bigint)を持つデータ・ストリームSColtFuncの場合、この問合せはリレーションを返します。
<query id="qColt19"><![CDATA[ select k0(c2) from SColtFunc ]]></query>
Timestamp Tuple 10 1,0.5,8 1000 4,0.7,6 1200 3,0.89,12 2000 8,0.4,4
Timestamp Tuple Kind Tuple 10: + 0.92441905 1000: + 0.6605199 1200: + 0.49396032 2000: + 1.1145291
構文

目的
k0eは、cern.jet.math.Besselに基づいています。doubleの引数の階数0の指数スケールが適用された変更済の第3種ベッセル関数をdoubleとして返します。
詳細は、https://dst.lbl.gov/ACSSoftware/colt/api/cern/jet/math/Bessel.html#k0e(double)を参照してください。
例
問合せqColt20について考えてみます。スキーマ(c1 integer, c2 double, c3 bigint)を持つデータ・ストリームSColtFuncの場合、この問合せはリレーションを返します。
<query id="qColt20"><![CDATA[ select k0e(c2) from SColtFunc ]]></query>
Timestamp Tuple 10 1,0.5,8 1000 4,0.7,6 1200 3,0.89,12 2000 8,0.4,4
Timestamp Tuple Kind Tuple 10: + 1.5241094 1000: + 1.3301237 1200: + 1.2028574 2000: + 1.662682
構文

目的
k1は、cern.jet.math.Besselに基づいています。doubleの引数の階数1の変更済の第3種ベッセル関数をdoubleとして返します。
範囲は[0,2]と(2, infinity)の2つの区間に分けられます。各区間では、チェビシェフ多項式展開が使用されます。
詳細は、https://dst.lbl.gov/ACSSoftware/colt/api/cern/jet/math/Bessel.html#k1(double)を参照してください。
例
問合せqColt21について考えてみます。スキーマ(c1 integer, c2 double, c3 bigint)を持つデータ・ストリームSColtFuncの場合、この問合せはリレーションを返します。
<query id="qColt21"><![CDATA[ select k1(c2) from SColtFunc ]]></query>
Timestamp Tuple 10 1,0.5,8 1000 4,0.7,6 1200 3,0.89,12 2000 8,0.4,4
Timestamp Tuple Kind Tuple 10: + 1.6564411 1000: + 1.0502836 1200: + 0.7295154 2000: + 2.1843543
構文

目的
k1eは、cern.jet.math.Besselに基づいています。doubleの引数の階数1の指数スケールが適用された変更済の第3種ベッセル関数をdoubleとして返します。
この関数は、k1e(x) = exp(x) * k1(x)と定義されます。
詳細は、次を参照してください。
例
問合せqColt22について考えてみます。スキーマ(c1 integer, c2 double, c3 bigint)を持つデータ・ストリームSColtFuncの場合、この問合せはリレーションを返します。
<query id="qColt22"><![CDATA[ select k1e(c2) from SColtFunc ]]></query>
Timestamp Tuple 10 1,0.5,8 1000 4,0.7,6 1200 3,0.89,12 2000 8,0.4,4
Timestamp Tuple Kind Tuple 10: + 2.7310097 1000: + 2.1150115 1200: + 1.7764645 2000: + 3.258674
構文

目的
knは、cern.jet.math.Besselに基づいています。引数の階数nの変更済の第3種ベッセル関数をdoubleとして返します。
この関数は、次の引数をとります。
integer1: ベッセル関数の階層の値n。
double2: ベッセル関数を計算する値x。
範囲は[0,9.55]と(9.55, infinity)の2つの区間に分けられます。低域では昇べき級数が使用され、高域では漸近展開が使用されます。
詳細は、https://dst.lbl.gov/ACSSoftware/colt/api/cern/jet/math/Bessel.html#kn(int, double)を参照してください。
例
問合せqColt23について考えてみます。スキーマ(c1 integer, c2 double, c3 bigint)を持つデータ・ストリームSColtFuncの場合、この問合せはリレーションを返します。
<query id="qColt23"><![CDATA[ select kn(c1,c2) from SColtFunc ]]></query>
Timestamp Tuple 10 1,0.5,8 1000 4,0.7,6 1200 3,0.89,12 2000 8,0.4,4
Timestamp Tuple Kind Tuple 10: + 1.6564411 1000: + 191.99422 1200: + 10.317473 2000: + 9.7876858E8
構文

目的
leastSignificantBitは、cern.colt.bitvector.QuickBitVectorに基づいています。integerの引数の状態がtrueの最下位ビットの索引を(integerとして)返します。状態がtrueのビットがない場合は、32を返します。
詳細は、次を参照してください。
例
問合せqColt54について考えてみます。スキーマ(c1 integer, c2 double, c3 bigint)を持つデータ・ストリームSColtFuncの場合、この問合せはリレーションを返します。
<query id="qColt54"><![CDATA[ select leastSignificantBit(c1) from SColtFunc ]]></query>
Timestamp Tuple 10 1,0.5,8 1000 4,0.7,6 1200 3,0.89,12 2000 8,0.4,4
Timestamp Tuple Kind Tuple 10: + 0 1000: + 2 1200: + 0 2000: + 3
構文

目的
logは、cern.jet.math.Arithmeticに基づいています。図10-11に示す計算の結果をdoubleとして返します。
図10-11 cern.jet.math.Arithmetic log

この関数は、次の引数をとります。
double1: base。
double2: value。
詳細は、https://dst.lbl.gov/ACSSoftware/colt/api/cern/jet/math/Arithmetic.html#log(double, double)を参照してください。
例
問合せqColt3について考えてみます。スキーマ(c1 integer, c2 double, c3 bigint)を持つデータ・ストリームSColtFuncの場合、この問合せはリレーションを返します。
<query id="qColt3"><![CDATA[ select log(c2,c2) from SColtFunc ]]></query>
Timestamp Tuple 10 1,0.5,8 1000 4,0.7,6 1200 3,0.89,12 2000 8,0.4,4
Timestamp Tuple Kind Tuple 10: + 1.0 1000: + 1.0 1200: + 1.0 2000: + 1.0
構文

目的
log10は、cern.jet.math.Arithmeticに基づいています。doubleの値の10を底とする対数をdoubleとして返します。
詳細は、https://dst.lbl.gov/ACSSoftware/colt/api/cern/jet/math/Arithmetic.html#log10(double)を参照してください。
例
問合せqColt4について考えてみます。スキーマ(c1 integer, c2 double, c3 bigint)を持つデータ・ストリームSColtFuncの場合、この問合せはリレーションを返します。
<query id="qColt4"><![CDATA[ select log10(c2) from SColtFunc ]]></query>
Timestamp Tuple 10 1,0.5,8 1000 4,0.7,6 1200 3,0.89,12 2000 8,0.4,4
Timestamp Tuple Kind Tuple 10: + -0.30103 1000: + -0.15490197 1200: + -0.050610002 2000: + -0.39794
構文

目的
log2は、cern.jet.math.Arithmeticに基づいています。doubleの値の2を底とする対数をdoubleとして返します。
詳細は、https://dst.lbl.gov/ACSSoftware/colt/api/cern/jet/math/Arithmetic.html#log2(double)を参照してください。
例
問合せqColt9について考えてみます。スキーマ(c1 integer, c2 double, c3 bigint)を持つデータ・ストリームSColtFuncの場合、この問合せはリレーションを返します。
<query id="qColt9"><![CDATA[ select log2(c2) from SColtFunc ]]></query>
Timestamp Tuple 10 1,0.5,8 1000 4,0.7,6 1200 3,0.89,12 2000 8,0.4,4
Timestamp Tuple Kind Tuple 10: + -1.0 1000: + -0.5145732 1200: + -0.16812278 2000: + -1.321928
構文

目的
logFactorialは、cern.jet.math.Arithmeticに基づいています。integerの引数の階乗の自然対数(底はe)をdoubleとして返します。
引数の値がk<30の場合、この関数はO(1)の表内の結果をルックアップします。引数の値がk>=30の場合、この関数はスターリングの近似を使用します。
詳細は、https://dst.lbl.gov/ACSSoftware/colt/api/cern/jet/math/Arithmetic.html#logFactorial(int)を参照してください。
例
問合せqColt10について考えてみます。スキーマ(c1 integer, c2 double, c3 bigint)を持つデータ・ストリームSColtFuncの場合、この問合せはリレーションを返します。
<query id="qColt10"><![CDATA[ select logFactorial(c1) from SColtFunc ]]></query>
Timestamp Tuple 10 1,0.5,8 1000 4,0.7,6 1200 3,0.89,12 2000 8,0.4,4
Timestamp Tuple Kind Tuple 10: + 0.0 1000: + 3.1780539 1200: + 1.7917595 2000: + 10.604603
構文

目的
logGammaは、cern.jet.stat.Gammaに基づいています。doubleの引数のガンマ関数の自然対数(底はe)をdoubleとして返します。
詳細は、https://dst.lbl.gov/ACSSoftware/colt/api/cern/jet/stat/Gamma.html#logGamma(double)を参照してください。
例
問合せqColt33について考えてみます。スキーマ(c1 integer, c2 double, c3 bigint)を持つデータ・ストリームSColtFuncの場合、この問合せはリレーションを返します。
<query id="qColt33"><![CDATA[ select logGamma(c2) from SColtFunc ]]></query>
Timestamp Tuple 10 1,0.5,8 1000 4,0.7,6 1200 3,0.89,12 2000 8,0.4,4
Timestamp Tuple Kind Tuple 10: + 0.5723649 1000: + 0.26086727 1200: + 0.07402218 2000: + 0.7966778
構文

目的
longFactorialは、cern.jet.math.Arithmeticに基づいています。integerの引数(範囲はk >= 0 && k < 21)の階乗をlongとして返します。
詳細は、https://dst.lbl.gov/ACSSoftware/colt/api/cern/jet/math/Arithmetic.html#longFactorial(int)を参照してください。
例
問合せqColt11について考えてみます。スキーマ(c1 integer, c2 double, c3 bigint)を持つデータ・ストリームSColtFuncの場合、この問合せはリレーションを返します。
<query id="qColt11"><![CDATA[ select longFactorial(c1) from SColtFunc ]]></query>
Timestamp Tuple 10 1,0.5,8 1000 4,0.7,6 1200 3,0.89,12 2000 8,0.4,4
Timestamp Tuple Kind Tuple 10: + 1 1000: + 24 1200: + 6 2000: + 40320
構文

目的
mostSignificantBitは、cern.colt.bitvector.QuickBitVectorに基づいています。integerの引数の状態がtrueの最上位ビットの索引を(integerとして)返します。状態がtrueのビットがない場合は、-1を返します。
詳細は、次を参照してください。
例
問合せqColt55について考えてみます。スキーマ(c1 integer, c2 double, c3 bigint)を持つデータ・ストリームSColtFuncの場合、この問合せはリレーションを返します。
<query id="qColt55"><![CDATA[ select mostSignificantBit(c1) from SColtFunc ]]></view>
Timestamp Tuple 10 1,0.5,8 1000 4,0.7,6 1200 3,0.89,12 2000 8,0.4,4
Timestamp Tuple Kind Tuple 10: + 0 1000: + 2 1200: + 1 2000: + 3
構文

目的
negativeBinomialは、cern.jet.stat.Probabilityに基づいています。負の二項分布の項0からkの合計(図10-12を参照)をdoubleとして返します。
図10-12 cern.jet.stat.Probability negativeBinomial

この関数は、次の引数をとります。
integer1: 末項k。
integer2: 試行回数n。
double3: (0.0,1.0)で成功する確率p。
詳細は、https://dst.lbl.gov/ACSSoftware/colt/api/cern/jet/stat/Probability.html#negativeBinomial(int, int, double)を参照してください。
例
問合せqColt44について考えてみます。スキーマ(c1 integer, c2 double, c3 bigint)を持つデータ・ストリームSColtFuncの場合、この問合せはリレーションを返します。
<query id="qColt44"><![CDATA[ select negativeBinomial(c1,c1,c2) from SColtFunc ]]></query>
Timestamp Tuple 10 1,0.5,8 1000 4,0.7,6 1200 3,0.89,12 2000 8,0.4,4
Timestamp Tuple Kind Tuple 10: + 0.75 1000: + 0.94203234 1200: + 0.99817264 2000: + 0.28393665
構文

目的
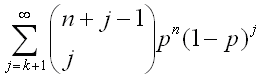
negativeBinomialComplementedは、cern.jet.stat.Probabilityに基づいています。負の二項分布の項k+1から無限大までの合計(図10-13を参照)をdoubleとして返します。
図10-13 cern.jet.stat.Probability negativeBinomialComplemented

この関数は、次の引数をとります。
integer1: 末項k。
integer2: 試行回数n。
double3: (0.0,1.0)で成功する確率p。
詳細は、https://dst.lbl.gov/ACSSoftware/colt/api/cern/jet/stat/Probability.html#negativeBinomialComplemented(int, int, double)を参照してください。
例
問合せqColt45について考えてみます。スキーマ(c1 integer, c2 double, c3 bigint)を持つデータ・ストリームSColtFuncの場合、この問合せはリレーションを返します。
<query id="qColt45"><![CDATA[ select negativeBinomialComplemented(c1,c1,c2) from SColtFunc ]]></query>
Timestamp Tuple 10 1,0.5,8 1000 4,0.7,6 1200 3,0.89,12 2000 8,0.4,4
Timestamp Tuple Kind Tuple 10: + 0.25 1000: + 0.05796766 1200: + 0.0018273441 2000: + 0.7160633
構文

目的
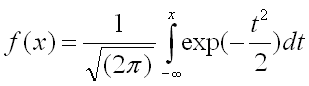
normalは、cern.jet.stat.Probabilityに基づいています。負の無限大からdoubleの引数xに積分される、正規(ガウス)確率密度関数(図10-14を参照)で示す領域をdoubleとして返します。
図10-14 cern.jet.stat.Probability normal

詳細は、https://dst.lbl.gov/ACSSoftware/colt/api/cern/jet/stat/Probability.html#normal(double)を参照してください。
例
問合せqColt46について考えてみます。スキーマ(c1 integer, c2 double, c3 bigint)を持つデータ・ストリームSColtFuncの場合、この問合せはリレーションを返します。
<query id="qColt46"><![CDATA[ select normal(c2) from SColtFunc ]]></query>
Timestamp Tuple 10 1,0.5,8 1000 4,0.7,6 1200 3,0.89,12 2000 8,0.4,4
Timestamp Tuple Kind Tuple 10: + 0.69146246 1000: + 0.7580363 1200: + 0.81326705 2000: + 0.65542173
構文

目的
normal1は、cern.jet.stat.Probabilityに基づいています。負の無限大からxに積分される、正規(ガウス)確率密度関数(図10-15を参照)で示す領域をdoubleとして返します。
図10-15 cern.jet.stat.Probability normal1

この関数は、次の引数をとります。
double1: 正規分布のmean。
double2: 正規分布の分散v。
double3: 積分の限界x。
詳細は、https://dst.lbl.gov/ACSSoftware/colt/api/cern/jet/stat/Probability.html#normal(double, double, double)を参照してください。
例
問合せqColt47について考えてみます。スキーマ(c1 integer, c2 double, c3 bigint)を持つデータ・ストリームSColtFuncの場合、この問合せはリレーションを返します。
<query id="qColt47"><![CDATA[ select normal1(c2,c2,c2) from SColtFunc ]]></query>
Timestamp Tuple 10 1,0.5,8 1000 4,0.7,6 1200 3,0.89,12 2000 8,0.4,4
Timestamp Tuple Kind Tuple 10: + 0.5 1000: + 0.5 1200: + 0.5 2000: + 0.5
構文

目的
normalInverseはcern.jet.stat.Probabilityに基づいています。負の無限大からxに積分される、正規(ガウス)確率密度関数で示す領域がdoubleの引数yに等しい場合のdoubleの値xを返します(平均が0、分散が1であることを前提としています)。
詳細は、https://dst.lbl.gov/ACSSoftware/colt/api/cern/jet/stat/Probability.html#normalInverse(double)を参照してください。
例
問合せqColt48について考えてみます。スキーマ(c1 integer, c2 double, c3 bigint)を持つデータ・ストリームSColtFuncの場合、この問合せはリレーションを返します。
<query id="qColt48"><![CDATA[ select normalInverse(c2) from SColtFunc ]]></view>
Timestamp Tuple 10 1,0.5,8 1000 4,0.7,6 1200 3,0.89,12 2000 8,0.4,4
Timestamp Tuple Kind Tuple 10: + 0.0 1000: + 0.5244005 1200: + 1.226528 2000: + 0.2533471
構文

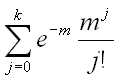
目的
poissonは、cern.jet.stat.Probabilityに基づいています。ポアソン分布の初項kの合計(図10-16を参照)をdoubleとして返します。
図10-16 cern.jet.stat.Probability poisson

この関数は、次の引数をとります。
integer1: 項数k。
double2: ポアソン分布の平均m。
詳細は、https://dst.lbl.gov/ACSSoftware/colt/api/cern/jet/stat/Probability.html#poisson(int, double)を参照してください。
例
問合せqColt49について考えてみます。スキーマ(c1 integer, c2 double, c3 bigint)を持つデータ・ストリームSColtFuncの場合、この問合せはリレーションを返します。
<query id="qColt49"><![CDATA[ select poisson(c1,c2) from SColtFunc ]]></query>
Timestamp Tuple 10 1,0.5,8 1000 4,0.7,6 1200 3,0.89,12 2000 8,0.4,4
Timestamp Tuple Kind Tuple 10: + 0.909796 1000: + 0.9992145 1200: + 0.9870295 2000: + 1.0
構文

目的
poissonComplementedは、cern.jet.stat.Probabilityに基づいています。ポアソン分布の項k+1から無限大までの合計(図10-17を参照)をdoubleとして返します。
図10-17 cern.jet.stat.Probability poissonComplemented

この関数は、次の引数をとります。
integer1: 初項k。
double2: ポアソン分布の平均m。
詳細は、https://dst.lbl.gov/ACSSoftware/colt/api/cern/jet/stat/Probability.html#poissonComplemented(int, double)を参照してください。
例
問合せqColt50について考えてみます。スキーマ(c1 integer, c2 double, c3 bigint)を持つデータ・ストリームSColtFuncの場合、この問合せはリレーションを返します。
<query id="qColt50"><![CDATA[ select poissonComplemented(c1,c2) from SColtFunc ]]></query>
Timestamp Tuple 10 1,0.5,8 1000 4,0.7,6 1200 3,0.89,12 2000 8,0.4,4
Timestamp Tuple Kind Tuple 10: + 0.09020401 1000: + 7.855354E-4 1200: + 0.012970487 2000: + 5.043364E-10
構文

目的
stirlingCorrectionは、cern.jet.math.Arithmeticに基づいています。integerの引数の階乗の自然対数(底はe)のスターリングの近似の補正項(図10-18を参照)をdoubleとして返します。
図10-18 cern.jet.math.Arithmetic stirlingCorrection

詳細は、https://dst.lbl.gov/ACSSoftware/colt/api/cern/jet/math/Arithmetic.html#stirlingCorrection(int)を参照してください。
例
問合せqColt5について考えてみます。スキーマ(c1 integer, c2 double, c3 bigint)を持つデータ・ストリームSColtFuncの場合、この問合せはリレーションを返します。
<query id="qColt5"><![CDATA[ select stirlingCorrection(c1) from SColtFunc ]]></query>
Timestamp Tuple 10 1,0.5,8 1000 4,0.7,6 1200 3,0.89,12 2000 8,0.4,4
Timestamp Tuple Kind Tuple 10: + 0.08106147 1000: + 0.020790672 1200: + 0.027677925 2000: + 0.010411265
構文

目的
studentTは、cern.jet.stat.Probabilityに基づいています。自由度がk > 0のスチューデントのt分布の負の無限大からtへの積分(図10-19を参照)をdoubleとして返します。
図10-19 cern.jet.stat.Probability studentT

この関数は、次の引数をとります。
double1: 自由度k。
double2: 積分終了点t。
詳細は、https://dst.lbl.gov/ACSSoftware/colt/api/cern/jet/stat/Probability.html#studentT(double, double)を参照してください。
例
問合せqColt51について考えてみます。スキーマ(c1 integer, c2 double, c3 bigint)を持つデータ・ストリームSColtFuncの場合、この問合せはリレーションを返します。
<query id="qColt51"><![CDATA[ select studentT(c2,c2) from SColtFunc ]]></query>
Timestamp Tuple 10 1,0.5,8 1000 4,0.7,6 1200 3,0.89,12 2000 8,0.4,4
Timestamp Tuple Kind Tuple 10: + 0.621341 1000: + 0.67624015 1200: + 0.7243568 2000: + 0.5930112
構文

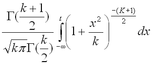
目的
studentTInverseはcern.jet.stat.Probabilityに基づいています。負の無限大からtに積分される、スチューデントのt確率密度関数で示す領域が1-alpha/2に等しい場合のdoubleの値tを返します。返される値は、talpha[size]の通常のスチューデントのt分布のルックアップ表に相当します。この関数では、studentt関数を使用して、繰り返し戻り値を確認します。
この関数は、次の引数をとります。
double1: 確率alpha。
integer2: データ・セット・サイズ。
詳細は、次を参照してください。
例
問合せqColt52について考えてみます。スキーマ(c1 integer, c2 double, c3 bigint)を持つデータ・ストリームSColtFuncの場合、この問合せはリレーションを返します。
<query id="qColt52"><![CDATA[ select studentTInverse(c2,c1) from SColtFunc ]]></query>
Timestamp Tuple 10 1,0.5,8 1000 4,0.7,6 1200 3,0.89,12 2000 8,0.4,4
Timestamp Tuple Kind Tuple 10: + 1.0 1000: + 0.4141633 1200: + 0.15038916 2000: + 0.8888911
構文

目的
y0は、cern.jet.math.Besselに基づいています。doubleの引数の階数0の第2種ベッセル関数をdoubleとして返します。
詳細は、https://dst.lbl.gov/ACSSoftware/colt/api/cern/jet/math/Bessel.html#y0(double)を参照してください。
例
問合せqColt24について考えてみます。スキーマ(c1 integer, c2 double, c3 bigint)を持つデータ・ストリームSColtFuncの場合、この問合せはリレーションを返します。
<query id="qColt24"><![CDATA[ select y0(c2) from SColtFunc ]]></query>
Timestamp Tuple 10 1,0.5,8 1000 4,0.7,6 1200 3,0.89,12 2000 8,0.4,4
Timestamp Tuple Kind Tuple 10: + -0.44451874 1000: + -0.19066493 1200: + -0.0031519707 2000: + -0.60602456
構文

目的
y1は、cern.jet.math.Besselに基づいています。floatの引数の階数1の第2種ベッセル関数をdoubleとして返します。
詳細は、https://dst.lbl.gov/ACSSoftware/colt/api/cern/jet/math/Bessel.html#y1(double)を参照してください。
例
問合せqColt25について考えてみます。スキーマ(c1 integer, c2 double, c3 bigint)を持つデータ・ストリームSColtFuncの場合、この問合せはリレーションを返します。
<query id="qColt25"><![CDATA[ select y1(c2) from SColtFunc ]]></query>
Timestamp Tuple 10 1,0.5,8 1000 4,0.7,6 1200 3,0.89,12 2000 8,0.4,4
Timestamp Tuple Kind Tuple 10: + -1.4714724 1000: + -1.1032499 1200: + -0.88294965 2000: + -1.780872
構文

目的
ynは、cern.jet.math.Besselに基づいています。doubleの引数の階数nの第2種ベッセル関数をdoubleとして返します。
この関数は、次の引数をとります。
integer1: ベッセル関数の階層の値n。
double2: ベッセル関数を計算する値x。
詳細は、https://dst.lbl.gov/ACSSoftware/colt/api/cern/jet/math/Bessel.html#yn(int, double)を参照してください。
例
問合せqColt26について考えてみます。スキーマ(c1 integer, c2 double, c3 bigint)を持つデータ・ストリームSColtFuncの場合、この問合せはリレーションを返します。
<query id="qColt26"><![CDATA[ select yn(c1,c2) from SColtFunc ]]></query>
Timestamp Tuple 10 1,0.5,8 1000 4,0.7,6 1200 3,0.89,12 2000 8,0.4,4
Timestamp Tuple Kind Tuple 10: + -1.4714724 1000: + -132.63406 1200: + -8.020442 2000: + -6.3026547E8