Siebel Public Sector Guide > Public Sector Workflows > Workflows for Applications >

PUB OPA Intake Workflow


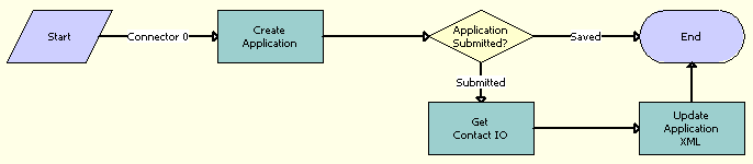
This workflow updates and processes an application record on a self-service Web site. Figure 4 shows this workflow.

The PUB OPA Create Session workflow invokes this workflow as a subprocess.

Figure 4. PUB OPA Intake Workflow

Workflow Description. This workflow performs the following actions:

  1. Create Application. This step updates an application record.

    The Application integration component and its child integration components (Benefit Plan, Benefit Item, and Payment) are extracted from the SiebelMessage input argument. (This input argument is an instance of the integration object that Oracle Policy Automation returns.) This data is used to update the application record if the citizen submits the application. The User ID input argument for this step indicates the citizen who saves or submits the application. An additional input argument for this step is MappingName. The Application Id and Application Status output arguments for this step indicate the Siebel row ID of the application and the status of the application.

  2. Application Submitted? This step determines whether the application is submitted to Siebel Public Sector for further processing. If the application is saved, and not submitted to Siebel Public Sector, then the workflow terminates.
  3. Get Contact IO. If the application is submitted to Siebel Public Sector, then this step gets the Contact integration object for the application.

    The Application integration component and its child integration components are removed from the instance of the integration object that Oracle Policy Automation returns. An instance of the integration object without the Application integration component and its child integration components is returned and stored in the ContactIntegrationObject output argument for this step. Input arguments for this step include MappingName, OutputIntObjectName, and SiebelMessage.

  4. Update Application XML. This step updates the Data XML fields in the Application object with the contents of the Contact integration object.

    Input arguments for this step include Application Id and ContactIntegrationObject.

Siebel Public Sector Guide Copyright © 2016, Oracle and/or its affiliates. All rights reserved. Legal Notices.