Siebel Automotive Guide > Managing End of Lease and Remarketing Activities > Workflow Process Reference for Vehicle Remarketing >

Auto Generate Charges Workflow Process


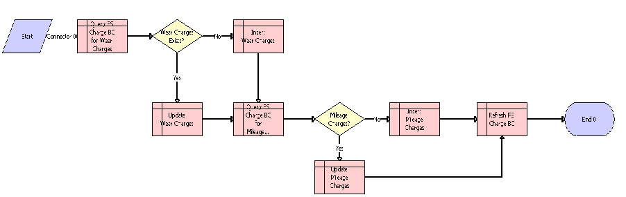
This workflow process generates the inspection charges for the inspected vehicle.

This workflow process is shown in Figure 8.

Figure 8. Auto Generate Charges Workflow Process

Workflow Process Description. This workflow process performs the following actions:

  1. Query FS Charge BC for Wear Charges. This step queries the FS Charge table for the records whose type is Wear Charges.
  2. Wear Charges Exists? This step checks whether any record with Wear Charges type exists. If so, the next step is Update Wear Charges; if not, the next step is Insert Wear Charges.
  3. Update Wear Charges. This step updates the Wear Charges record of the vehicle with the total wear charge.
  4. Insert Wear Charges. This step inserts the Wear Charges record for the inspected vehicle.
  5. Query FS Charge BC for Mileage Charges. This step queries the FS Charge table for the records whose type is Mileage Charges.
  6. Mileage Charges? This step checks whether any record with Mileage Charges type exists. If so, the next step is Update Mileage Charges; if not, the next step is Insert Mileage Charges.
  7. Update Mileage Charges. This step updates the Mileage Charges record of the vehicle with the Total Mileage charge.
  8. Insert Mileage Charges. This step inserts the Mileage Charges record for the inspected vehicle.
  9. Refresh FS Charge BC. This step refreshes the Charges records.
Siebel Automotive Guide Copyright © 2017, Oracle and/or its affiliates. All rights reserved. Legal Notices.