The Oracle Commerce Guided Search distribution includes two tools that help you create and edit your instance configuration, and maintain your Oracle Commerce Guided Search implementation: Developer Studio and Workbench. This section provides a brief introduction to these tools.
Developer Studio is a Windows application that you use to define all aspects of your instance configuration.
With Developer Studio, you can define:
Pipeline components for tasks such as loading, standardizing, joining, mapping, and exporting data.
Guided Search properties and property attributes such as sort and rollup.
Dimensions and dimension values, including dimension hierarchy.
Precedence rules among dimensions that provide better control over your implementation’s navigation flow.
Search configurations, including which properties and dimensions are available for search.
Dynamic business rules that allow you to promote certain records on your Web site using data-driven business logic. Dynamic business rules are used to implement merchandising and content spotlighting.
User profiles that tailor the content returned to an end-user based upon preconfigured rules.
Developer Studio uses a project file, with an .esp extension, that contains pointers to the XML files that support an instance configuration. Editing a project in Developer Studio edits these underlying files.
Workbench is a Web-based application that provides access to reports that describe how end-users are using a Guided Search implementation.
The two primary audiences for Workbench are:
Business users who define business logic such as merchandising/content-spotlighting rules and thesaurus entries.
Workbench lets business users make changes to parts of an Guided Search implementation after the implementation’s core functionality has been developed. For example, a developer uses Developer Studio to specify which Guided Search properties and dimensions are available for search, then a business user uses Workbench to specify thesaurus entries that support search functionality.
System administrators who maintain and manage a Guided Search implementation.
Workbench lets system administrators provision applications, components and scripts to the Endeca Application Controller, monitor the status of a Guided Search implementation, and start and stop system processes.
Workbench can report the most popular search terms, the most popular navigation locations, search terms that are most often misspelled, and so forth.
System provisioning enables you to assign resources to a new application in Workbench and modify the resources in an existing application. You can provision more than one application to the EAC, using the EAC Admin Console page of Workbench.
Typically, you provision resources to the Guided Search configuration in the following order:
System operations enable you to run Guided Search components by using Workbench to call underlying EAC processes.
On the EAC Admin Console page of Workbench, you can do the following:
Start and stop the Guided Search applications and components you provision.
Typically, each provisioned application can have its own set of components, such as Forge, the Indexer, the MDEX Engine, the Log Server and the Report Generator. You can then start and stop these components.
Start and stop the EAC scripts you provision. These could include the scripts that perform a baseline update and report generation for the application.
While not part of the Guided Search ITL development per se, before you can begin building and running pipelines, you must put into place a mechanism for controlling the resources in your Oracle Commerce Guided Search implementation. This mechanism provides process execution and job management facilities.
The Endeca Application Controller is the interface you use to control, manage, and monitor your Oracle Commerce Guided Search implementations.
The use of open standards, such as the Web Services Descriptive Language (WSDL), makes the Application Controller platform and language agnostic. As a result, the Application Controller supports a wide variety of applications in production. In addition, the Application Controller allows you to handle complex operating environments that support features such as partial updates, delta updates, phased Dgraph updates and more.
Most implementations that use the Application Controller will follow the general setup outlined below.
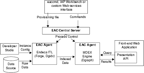
The following illustration shows the architecture of a typical implementation that uses the Application Controller.
In this architecture diagram, the following happens:
The developer creates an instance configuration, using Developer Studio, that determines what data and features will be incorporated into the index.
The developer creates a provisioning document in XML format that defines all the hosts and components in the implementation.
The developer sends the provisioning files to the EAC Central Server machine. The developer can use three methods for the provisioning tasks:
Once the Agent machines in the implementation are provisioned, the developer sends commands (again using either eaccmd, Workbench, or a custom interface) to the EAC Central Server. The EAC Central Server communicates these tasks to its Agents, which reside on each machine that is running Guided Search components.
The Application Controller manages the entire data update process, according to the instructions it receives. This includes running Forge and the Indexer (Dgidx) to create indexed data, and starting the MDEX Engine (Dgraph) based on that indexed data.
For detailed information about configuring and using the Endeca Application Controller, see the Oracle Commerce Endeca Application Controller Guide.
You have three ways in which you can communicate with the EAC Central Server:
Workbench lets you provision the resources in your environment, such as applications, components and logging, and start and stop these resources as needed. Workbench communicates this information to the EAC Central Server to coordinate and execute the processes that result in a running Guided Search implementation.
Workbench is one of the ways of communicating with the EAC Central Server (the other two are the eaccmd utility and a custom Web services interface).
The primary benefit of using Workbench as a means of communication with the EAC Central Server is that it relieves you of the burden of using the command line utility eaccmd, or of creating a custom Web services interface.
Workbench allows multiple users to edit the same implementation while avoiding conflicting changes. Only one Workbench user can edit a particular implementation module at any given time, locking out all other users from that module.


